Suppr超能文献

含波斯胶(刺梧桐树胶)的涂层对牛肉在冷藏温度下储存期间品质参数的影响

The Coating Effect of Persian Gum (Zedo Gum) Containing on the Beef Quality Parameters During Storage at Refrigerator Temperature.

作者信息

Nemati Mohammad Hasan, Alian Samakkhah Shohreh, Partovi Razieh, Isvand Abbas

机构信息

Department of Food Hygiene, Faculty of Veterinary Medicine Amol University of Special Modern Technologies (AUSMT) Amol Iran.

Department of Food Hygiene and Quality Control, Faculty of Veterinary Medicine Shahrekord University Shahrekord Iran.

出版信息

Food Sci Nutr. 2025 Feb 6;13(2):e70024. doi: 10.1002/fsn3.70024. eCollection 2025 Feb.

Abstract

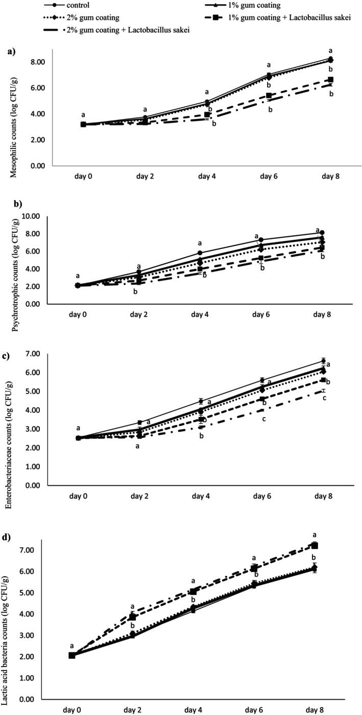
Coatings with antibacterial properties, integrated with biological agents, offer a novel and promising strategy for preserving meat products. This study investigates the effect of Persian gum (PG) coating containing bacteria on beef quality during refrigerated storage. Beef loin pieces were divided into five groups (control, 1% PG, 2% PG, and 1% and 2% PG with bacteria). The groups were evaluated for microbial, chemical, and sensory tests at specific periods (days 0, 2, 4, 6, and 8). The results of the microbial analysis (the mean LAB count) revealed that the quality of meat significantly ( < 0.05) improved in the presence of coatings, ranging from 6.08 to 7.31 log CFU/g in different treatment groups at the end of the experiment. Additionally, coatings containing significantly ( < 0.05) reduced the microbial counts of mesophilic, psychrophilic, and Enterobacteriaceae bacteria, resulting in an extended shelf life of at least 8 days. The chemical findings indicated that increases in pH values (ranging from 5.98 to 6.57), total volatile basic nitrogen (TVB-N) levels (from 18.30 to 32.33 mg N/g), thiobarbituric acid reactive substances (TBARs) (from 2.16 to 4.12 mg MDA/kg), and protein carbonyl (PC) concentrations (from 1.33 to 2.05 nmol/mg protein) during storage at 4°C were ranked as follows: PG 2% +  < PG 1% +  < PG 2% < PG 1% < control. Additionally, overall acceptability, texture, odor, and color were significantly higher in the groups coated with than in other groups. Based on the results, the groups covered with PG and indicated that the quality and safety of beef increased and extended the shelf life of meat. In conclusion, PG solution containing bacteria can be recommended as a new method for beef packaging.

摘要

与生物制剂相结合的具有抗菌特性的涂层,为保存肉制品提供了一种新颖且有前景的策略。本研究调查了含有细菌的波斯胶(PG)涂层在冷藏储存期间对牛肉品质的影响。牛里脊块被分为五组(对照组、1% PG组、2% PG组以及含细菌的1%和2% PG组)。在特定时间段(第0、2、4、6和8天)对这些组进行微生物、化学和感官测试。微生物分析结果(乳酸菌平均计数)显示,在有涂层存在的情况下,肉的品质显著(P < 0.05)改善,在实验结束时不同处理组的乳酸菌计数范围为6.08至7.31 log CFU/g。此外,含细菌的涂层显著(P < 0.05)降低了嗜温菌、嗜冷菌和肠杆菌科细菌的数量,使货架期延长至少8天。化学分析结果表明,在4°C储存期间,pH值(范围为5.98至6.57)、总挥发性碱性氮(TVB - N)水平(从18.30至32.33 mg N/g)、硫代巴比妥酸反应性物质(TBARs)(从2.16至4.12 mg MDA/kg)以及蛋白质羰基(PC)浓度(从1.33至2.05 nmol/mg蛋白质)的增加情况排序如下:PG 2% + 细菌 < PG 1% + 细菌 < PG 2% < PG 1% < 对照组。此外,涂有细菌的组的总体可接受性、质地、气味和颜色显著高于其他组。基于这些结果,覆盖有PG和细菌的组表明牛肉的品质和安全性提高,并且延长了肉的货架期。总之,含有细菌的PG溶液可被推荐为牛肉包装的一种新方法。

https://cdn.ncbi.nlm.nih.gov/pmc/blobs/6825/11802240/b0c66a6c7b46/FSN3-13-e70024-g006.jpg

文献AI研究员

20分钟写一篇综述,助力文献阅读效率提升50倍。

立即体验

用中文搜PubMed

大模型驱动的PubMed中文搜索引擎

马上搜索

文档翻译

学术文献翻译模型,支持多种主流文档格式。

立即体验