Ferraz Ana, Faria Susana, Jerónimo Mónica, Pereira M Graça
Psychology Research Centre (CIPsi), School of Psychology, Applied Psychology Department, University of Minho, 4710-057 Braga, Portugal.
Centre of Mathematics (CMAT), Department of Mathematics, University of Minho, 4800-058 Guimarães, Portugal.
Cancers (Basel). 2025 Jan 21;17(3):338. doi: 10.3390/cancers17030338.
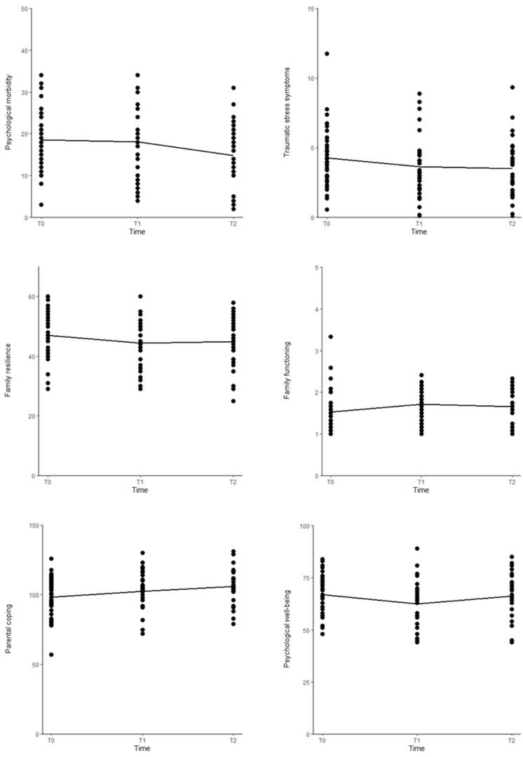
Acute lymphoblastic leukemia (ALL) is the most common pediatric cancer, with intense treatments affecting both children and their families. Limited information is available on parental distress and psychological well-being during the first treatment year, with most studies focusing on individuals rather than the family system. This study explores longitudinal changes in parental distress (psychological morbidity and traumatic stress symptoms), coping strategies, family resilience and functioning, and psychological well-being. The study also examines the mediating roles of family resilience, family functioning, and coping strategies in the relationships between parental distress and psychological well-being. : A prospective study was conducted with 46 parents of children newly diagnosed with ALL, assessing parental distress, family functioning and resilience, coping, and psychological well-being across three treatment phases: consolidation (T0), delayed intensification (T1), and maintenance (T2). : Parental distress and family resilience significantly decreased from T0 to T2, while parental coping improved over time. Family functioning deteriorated from T0 to T1, stabilizing thereafter. Psychological well-being followed a non-linear trajectory, initially declining from T0 to T1 and improving from T1 to T2. Mediation analyses revealed that family resilience and family functioning partially mediated the relationships between parental distress and psychological well-being. Parental coping did not emerge as a mediator. : Parental psychological adjustment in the context of ALL is dynamic and influenced by individual and family factors. Interventions that strengthen family functioning and resilience are crucial for supporting parental psychological well-being during treatment. A family-centered approach in healthcare delivery is essential to address individual and systemic challenges.
急性淋巴细胞白血病(ALL)是最常见的儿童癌症,强化治疗会对儿童及其家庭产生影响。关于父母在首个治疗年中的痛苦及心理健康状况的信息有限,大多数研究关注的是个体而非家庭系统。本研究探讨了父母痛苦(心理疾病和创伤应激症状)、应对策略、家庭恢复力和功能以及心理健康的纵向变化。该研究还考察了家庭恢复力、家庭功能和应对策略在父母痛苦与心理健康之间关系中的中介作用。:对46名新诊断为ALL的儿童的父母进行了一项前瞻性研究,评估了三个治疗阶段(巩固期(T0)、延迟强化期(T1)和维持期(T2))的父母痛苦、家庭功能和恢复力、应对方式以及心理健康状况。:从T0到T2,父母痛苦和家庭恢复力显著下降,而父母的应对方式随时间有所改善。家庭功能从T0到T1恶化,此后趋于稳定。心理健康呈非线性轨迹,最初从T0到T1下降,从T1到T2改善。中介分析表明,家庭恢复力和家庭功能部分中介了父母痛苦与心理健康之间的关系。父母的应对方式并未成为中介因素。:在ALL背景下,父母的心理调适是动态的,受个体和家庭因素影响。加强家庭功能和恢复力的干预措施对于在治疗期间支持父母的心理健康至关重要。以家庭为中心的医疗服务方法对于应对个体和系统挑战至关重要。