Suppr超能文献

建立夺取氢原子的含氮自由基阳离子的热力学图及其在光氧化还原反应中的应用

Establishing Thermodynamic Graphs of Nitrogenous Radical Cations Abstracting Hydrogen Atoms and Their Applications in Photoredox Reactions.

作者信息

Zhao Xia, Hou Yi-Lin, Yang Jun, Wang Xin-Hua, Hu Chong-Shan, Zhu Xiao-Qing, Shen Guang-Bin

机构信息

College of Medical Engineering, Jining Medical University, Jining 272000, China.

Department of Chemistry, Nankai University, Tianjin 300071, China.

出版信息

Molecules. 2025 Jan 21;30(3):435. doi: 10.3390/molecules30030435.

Abstract

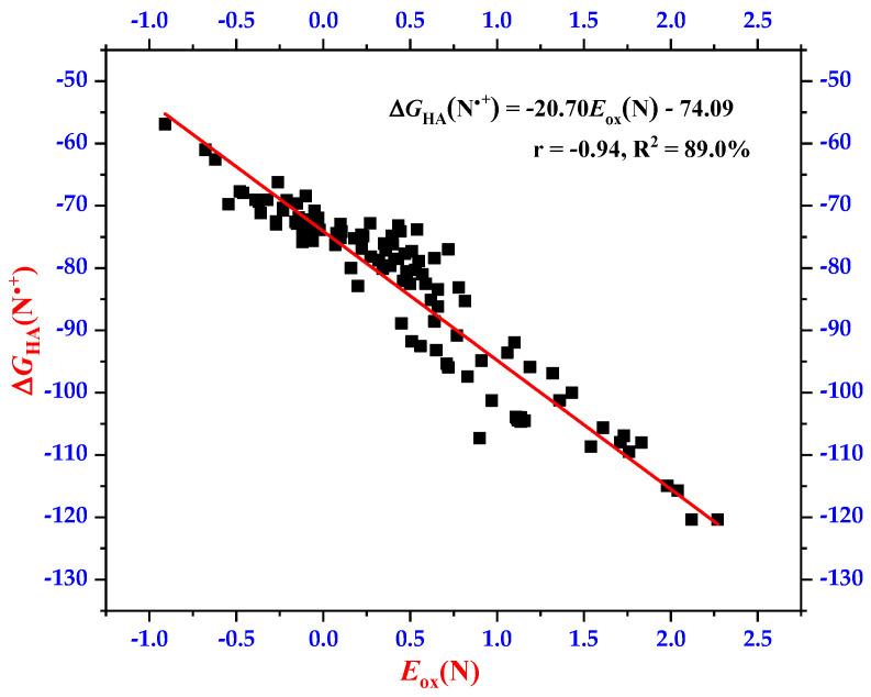
Nitrogenous compounds have been extensively utilized as hydrogen atom transfer (HAT) catalysts in photoredox reactions, with nitrogenous radical cations being the actual hydrogen atom abstractors. Building upon our previous work, 120 thermodynamic graphs of nitrogenous radical cations abstracting hydrogen atoms, which encompass seven vital thermodynamic parameters, are designed and established to elucidate their redox characteristics. Furthermore, the applications of thermodynamic graphs to select appropriate photocatalysts, assess the feasibility of the HAT process, and diagnose the possible activation mechanism were discussed, which would enable the utilities of nitrogenous compounds as HAT catalysts or nitrogenous radical cations as hydrogen atom abstractors in photoredox reactions.

摘要

含氮化合物已被广泛用作光氧化还原反应中的氢原子转移(HAT)催化剂,其中含氮自由基阳离子是实际的氢原子提取剂。基于我们之前的工作,设计并建立了120个含氮自由基阳离子提取氢原子的热力学图,这些图包含七个重要的热力学参数,以阐明它们的氧化还原特性。此外,还讨论了热力学图在选择合适的光催化剂、评估HAT过程的可行性以及诊断可能的活化机制方面的应用,这将使含氮化合物在光氧化还原反应中作为HAT催化剂或含氮自由基阳离子作为氢原子提取剂得以应用。

https://cdn.ncbi.nlm.nih.gov/pmc/blobs/bceb/11819841/353c5bf08d5e/molecules-30-00435-sch001.jpg

文献AI研究员

20分钟写一篇综述,助力文献阅读效率提升50倍。

立即体验

用中文搜PubMed

大模型驱动的PubMed中文搜索引擎

马上搜索

文档翻译

学术文献翻译模型,支持多种主流文档格式。

立即体验