Suppr超能文献

老年中风患者口腔衰弱风险预测模型的开发与验证

Development and validation of risk-predicting model for oral frailty in older adults patients with stroke.

作者信息

Ma Ruirui, Fan Xiaoli, Tao Xiubin, Zhang Wei, Li Zibao

机构信息

Department of Neurology, The First Affiliated Hospital of Wannan Medical College, Wuhu, China.

出版信息

BMC Oral Health. 2025 Feb 19;25(1):263. doi: 10.1186/s12903-025-05428-1.

Abstract

OBJECTIVE

This study aimed to construct a nomogram predicting oral frailty risk in Older adults patients with stroke.

DESIGN

A cross-sectional study.

METHODS

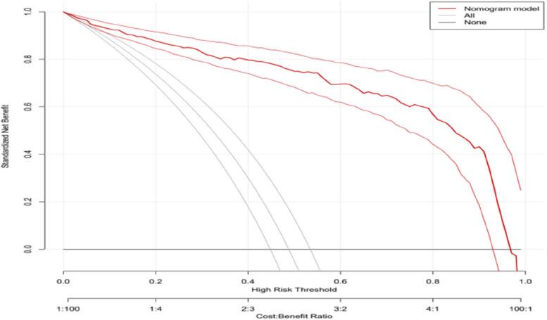
We selected 664 hospitalised older adults patients with stroke in a tertiary hospital from January 2023 to March 2024. Among them, 451 cases from January to December 2023 formed the modelling group, and 213 cases from January to March 2024 served as the validation group. Univariate and multivariate logistic regression analyses identified independent risk factors for oral frailty. A nomogram was developed and visualised using columnar charts. The model's predictive performance was assessed using the receiver operating characteristic curve and the Hosmer-Lemeshow test.

FINDINGS

The prevalence of oral frailty was 47.7% in the modelling group and 47.9% in the validation groups, respectively. Age (OR = 10.351), frailty (OR = 9.171), number of comorbidities (OR = 11.301), nutritional risk (OR = 17.419), NIHSS (OR = 13.234), oral health evaluation index (OR = 0.316), Barthel index (OR = 0.247) were identified as significant independent risk factors. The areas under the receiver operating characteristic curve for the modelling and validation groups were 0.945 and 0.915, respectively.

CONCLUSION

A high prevalence of oral frailty was observed among Older adults patients with stroke with diverse risk factors. The nomogram provides an effective screening tool for identifying patients at high risk of oral frailty early in their hospital stay. The risk-prediction model showed good predictive efficacy and clinical utility.This study introduces a nomogram to predict oral frailty and identify associated risk factors in Older adults patients with stroke early on. It supports personalised care and precision medicine approaches in clinical practice.

摘要

目的

本研究旨在构建一种列线图,以预测老年中风患者的口腔衰弱风险。

设计

一项横断面研究。

方法

我们选取了2023年1月至2024年3月在一家三级医院住院的664例老年中风患者。其中,2023年1月至12月的451例患者组成建模组,2024年1月至3月的213例患者作为验证组。单因素和多因素逻辑回归分析确定了口腔衰弱的独立危险因素。使用柱状图开发并可视化列线图。使用受试者工作特征曲线和Hosmer-Lemeshow检验评估模型的预测性能。

结果

建模组和验证组的口腔衰弱患病率分别为47.7%和47.9%。年龄(OR = 10.351)、衰弱(OR = 9.171)、合并症数量(OR = 11.301)、营养风险(OR = 17.419)、美国国立卫生研究院卒中量表(NIHSS)(OR = 13.234)、口腔健康评估指数(OR = 0.316)、巴氏指数(OR = 0.247)被确定为显著的独立危险因素。建模组和验证组受试者工作特征曲线下面积分别为0.945和0.915。

结论

在具有多种危险因素的老年中风患者中观察到口腔衰弱的高患病率。列线图为在患者住院早期识别口腔衰弱高危患者提供了一种有效的筛查工具。风险预测模型显示出良好的预测效能和临床实用性。本研究引入了一种列线图,用于预测老年中风患者的口腔衰弱并早期识别相关危险因素。它支持临床实践中的个性化护理和精准医学方法。

https://cdn.ncbi.nlm.nih.gov/pmc/blobs/1a6b/11841317/6d1e3ef0c2aa/12903_2025_5428_Fig1_HTML.jpg

文献AI研究员

20分钟写一篇综述,助力文献阅读效率提升50倍。

立即体验

用中文搜PubMed

大模型驱动的PubMed中文搜索引擎

马上搜索

文档翻译

学术文献翻译模型,支持多种主流文档格式。

立即体验