Suppr超能文献

氟苯尼考与强力霉素联合应用对鸭疫里默氏菌的体内药代动力学/药效学关系及对耐药性产生的影响

In vivo Pharmacokinetic/pharmacodynamic relationship of florfenicol in combination with doxycycline against Riemerella anatipestifer in ducks and the effect upon resistance development.

作者信息

Li Fa-Lei, He Chao-Yue, Chen Hui-Yang, Cheng Shi-Mei, Liu Yong, Ding Huan-Zhong, Zhang Hui-Lin

机构信息

School of Biological and Food Engineering, Fuyang Normal University, 236037 Fuyang, PR China.

Guangdong Key Laboratory for Veterinary Drug Development and Safety evaluation, College of Veterinary Medicine, South China Agricultural University, 510642 Guangzhou, PR China.

出版信息

Poult Sci. 2025 Apr;104(4):104922. doi: 10.1016/j.psj.2025.104922. Epub 2025 Feb 17.

Abstract

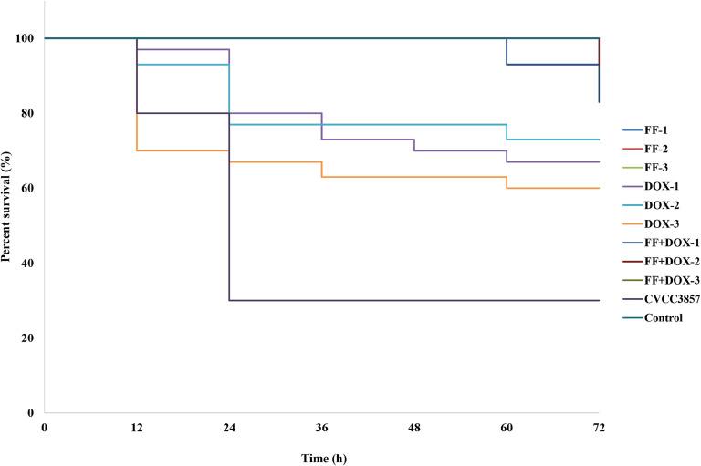
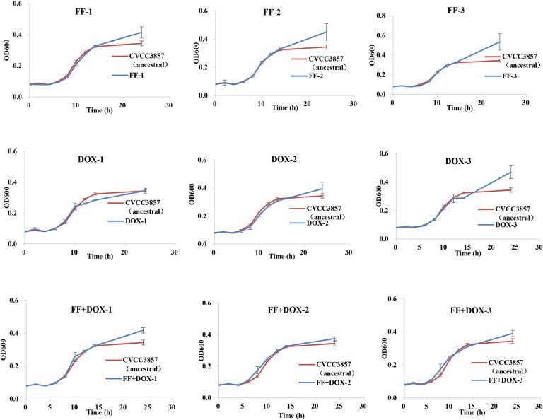
Antimicrobial chemotherapy is necessary to control Riemerella anatipestifer (RA), among which florfenicol (FF) is regarded as one of the preferred options. Based on the consideration of drug combination to improve efficacy, the pharmacokinetics and pharmacodynamics of FF combined with doxycycline (DOX) against RA were studied. FF was administered at doses of 20 or 40 mg/kg in combination with DOX (1, 2.5, 5, 10, or 20 mg/kg) via a single intramuscular injection (i.m.). DOX showed slow elimination in ducks with elimination half-life (T) in plasma, lung, and liver of 11.21, 11.53, and 13.01 h, respectively. A single dose of DOX (≥10 mg/kg) combined with FF (20 mg/kg) could exert a bactericidal effect on some tissues (heart, liver, spleen, lungs) in a model of RA strain CVCC3857 (minimum inhibitory concentration (MIC) of FF = 1 µg/mL, MIC of DOX = 2 µg/mL) infection within 24 h, and bactericidal effects (3.01-4.36 log CFU/mL) were achieved in various tissues at a FF dose of 40 mg/kg. The AUC/MIC of DOX combined with FF at 20 mg/kg required to produce a drop of 3 LogCFU/mL was 39.19 h (predicted dose of 25.03 mg/kg) and the value was 19.98 h (predicted dose of 12.76 mg/kg) when the dose of FF was 40 mg/kg. Combination of these two drugs could be used against insensitive strains (RA38 infection model with MIC of FF = 4 µg/mL, MIC of DOX = 2 µg/mL) by administering them twice for 24 h. Continuous passage under antibiotic pressure for 30 days suggested that resistance to FF was delayed in the presence of DOX. Genome resequencing and analyses of single-nucleotide polymorphisms revealed seven mutated genes (fahA, pfam, TonB-dependent receptor gene, proS, porU, RpiB). TonB-dependent receptor genes play a role in bacterial susceptibility. Additionally, both TonB-dependent receptor genes and fahA are involved in bacterial virulence and biofilm formation capabilities. Antimicrobial-treated strains were different from ancestor strains in terms of growth and virulence. Our study provides a data basis for the clinical use of FF and DOX against RA.

摘要

抗菌化疗对于控制鸭疫里默氏菌(RA)是必要的,其中氟苯尼考(FF)被视为首选药物之一。基于联合用药以提高疗效的考虑,研究了FF与多西环素(DOX)联合对RA的药代动力学和药效学。通过单次肌肉注射(i.m.),以20或40mg/kg的剂量给予FF,并与DOX(1、2.5、5、10或20mg/kg)联合使用。DOX在鸭体内消除缓慢,其在血浆、肺和肝脏中的消除半衰期(T)分别为11.21、11.53和13.01小时。在RA菌株CVCC3857(FF的最低抑菌浓度(MIC)=1μg/mL,DOX的MIC=2μg/mL)感染模型中,单剂量的DOX(≥10mg/kg)与FF(20mg/kg)联合在24小时内可对某些组织(心脏、肝脏、脾脏、肺)发挥杀菌作用,当FF剂量为40mg/kg时,在各组织中均实现了杀菌效果(3.01 - 4.36 log CFU/mL)。在20mg/kg的FF联合使用时,DOX产生3 LogCFU/mL下降所需的AUC/MIC为39.19小时(预测剂量为25.03mg/kg),当FF剂量为40mg/kg时,该值为19.98小时(预测剂量为12.76mg/kg)。这两种药物联合使用,通过24小时给药两次,可用于对抗不敏感菌株(FF的MIC = 4μg/mL,DOX的MIC = 2μg/mL的RA38感染模型)。在抗生素压力下连续传代30天表明,在DOX存在的情况下,对FF的耐药性延迟出现。基因组重测序和单核苷酸多态性分析揭示了7个突变基因(fahA、pfam、TonB依赖性受体基因、proS、porU、RpiB)。TonB依赖性受体基因在细菌易感性中起作用。此外,TonB依赖性受体基因和fahA均参与细菌毒力和生物膜形成能力。抗菌处理后的菌株在生长和毒力方面与祖先菌株不同。我们的研究为FF和DOX临床用于治疗RA提供了数据依据。

https://cdn.ncbi.nlm.nih.gov/pmc/blobs/c7dc/11904534/42ea883147e9/gr1.jpg

文献AI研究员

20分钟写一篇综述,助力文献阅读效率提升50倍。

立即体验

用中文搜PubMed

大模型驱动的PubMed中文搜索引擎

马上搜索

文档翻译

学术文献翻译模型,支持多种主流文档格式。

立即体验