Suppr超能文献

微血管超声血管指数作为一种快速简便的评估工具,用于鉴别格雷夫斯病与破坏性甲状腺炎并管理甲状腺毒症。

Microvascular Ultrasonography Vascularity Index as a Rapid and Simplified Assessment Tool for Differentiating Graves' Disease from Destructive Thyroiditis and Managing Thyrotoxicosis.

作者信息

Baek Han-Sang, Jeong Chaiho, Ha Jeonghoon, Lim Dong-Jun

机构信息

Division of Endocrinology and Metabolism, Department of Internal Medicine, Uijeongbu St. Mary's Hospital, College of Medicine, The Catholic University of Korea, Uijeongbu, Korea.

Division of Endocrinology and Metabolism, Department of Internal Medicine, Seoul St. Mary's Hospital, College of Medicine, The Catholic University of Korea, Seoul, Korea.

出版信息

Endocrinol Metab (Seoul). 2025 Jun;40(3):394-404. doi: 10.3803/EnM.2024.2206. Epub 2025 Feb 25.

Abstract

BACKGRUOUND

Thyrotoxicosis presents significant diagnostic challenges in distinguishing Graves' disease (GD) from destruction-induced thyrotoxicosis (DT) using ultrasound imaging. We evaluated a new technology, microvascular ultrasonography (MVUS) to effectively differentiate between GD and DT, and observe the MVUS changes during follow-up.

METHODS

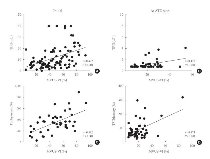
A total of 264 consecutive patients were prospectively enrolled into two cohorts from August 2022 to March 2024 at one tertiary referral hospital: cohort 1 comprised patients initially presenting with thyrotoxicosis (n=185; 98 with GD and 87 with DT). Cohort 2 included patients either with GD considering antithyroid drug discontinuation or with DT in the follow-up phase after treatment (n=77). Ultrasound imaging was conducted using the MVUS technique, and the vascularity index (MVUS-VI) was automatically calculated as the percentage ratio of color pixels to total grayscale pixels within a specified region of interest.

RESULTS

Diagnostic accuracy highlighted MVUS-VI as the most accurate diagnostic tool, achieving a sensitivity of 79.6%, specificity of 84.3%, with an area under the curve of 0.856 (95% confidence interval, 0.800 to 0.911). Presence of thyroid peroxidase antibody or thyroglobulin antibody affected MVUS-VI's performance, requiring a higher cut-off value for specificity in this subgroup. Follow-up in cohort 2 (n=77) demonstrated significant normalization in thyroid function and reductions in MVUS-VI from an initial 32.6%±23.4% to 20.8%±13.5% at follow-up (P<0.001).

CONCLUSION

MVUS-VI provides a rapid, non-invasive diagnostic alternative to traditional methods in differentiating GD from DT, thus aiding in the management of patients with thyrotoxicosis.

摘要

背景

甲状腺毒症在利用超声成像区分格雷夫斯病(GD)和破坏诱导性甲状腺毒症(DT)方面存在重大诊断挑战。我们评估了一种新技术,即微血管超声检查(MVUS),以有效区分GD和DT,并观察随访期间MVUS的变化。

方法

2022年8月至2024年3月,一家三级转诊医院前瞻性纳入了连续的264例患者,分为两个队列:队列1包括最初表现为甲状腺毒症的患者(n = 185;98例GD患者和87例DT患者)。队列2包括考虑停用抗甲状腺药物的GD患者或治疗后随访阶段的DT患者(n = 77)。使用MVUS技术进行超声成像,并自动计算血管指数(MVUS-VI),即指定感兴趣区域内彩色像素与总灰度像素的百分比。

结果

诊断准确性突出显示MVUS-VI是最准确的诊断工具,灵敏度为79.6%,特异性为84.3%,曲线下面积为0.856(95%置信区间,0.800至0.911)。甲状腺过氧化物酶抗体或甲状腺球蛋白抗体的存在影响MVUS-VI的性能,该亚组需要更高的特异性临界值。队列2(n = 77)的随访显示甲状腺功能显著恢复正常,MVUS-VI从初始的32.6%±23.4%降至随访时的20.8%±13.5%(P<0.001)。

结论

MVUS-VI为区分GD和DT提供了一种快速、非侵入性的诊断方法,可替代传统方法,从而有助于甲状腺毒症患者的管理。

https://cdn.ncbi.nlm.nih.gov/pmc/blobs/d532/12230262/8883d3e4d3ac/enm-2024-2206f1.jpg

文献AI研究员

20分钟写一篇综述,助力文献阅读效率提升50倍。

立即体验

用中文搜PubMed

大模型驱动的PubMed中文搜索引擎

马上搜索

文档翻译

学术文献翻译模型,支持多种主流文档格式。

立即体验