Bertheloot Damien, Nessler Vincent B, Assaf Elio, Amerschläger Cosmea F, Ali Kani, Ossendorff Robert, Jaenisch Max, Strauss Andreas C, Burger Christof, Walmsley Phillip J, Hischebeth Gunnar T, Wirtz Dieter C, Hammond Robert J H, Schildberg Frank A
Department of Orthopedics and Trauma Surgery, University Hospital Bonn, 53127 Bonn, Germany.
School of Medicine, University of St Andrews, St Andrews KY16 9TF, UK.
Int J Mol Sci. 2025 Feb 12;26(4):1553. doi: 10.3390/ijms26041553.
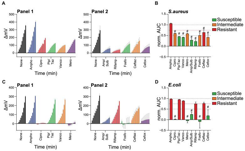
Bacterial antibiotic resistance is an important challenge that the healthcare system is continually battling and a major problem in the treatment of musculoskeletal infections such as periprosthetic joint infections. Current methods to identify infectious microbes and define susceptibility to antibiotics require two to ten days from isolation to the establishment of an antibiogram. This slow process limits advances in antimicrobial drug discovery and, in the clinical context, delays the delivery of targeted treatments, with potentially devastating outcomes for patients. With this in mind, we strived to establish a quicker and more sensitive method to deliver antibiotic susceptibility profiles of clinically relevant microbes using Scattered Light Integrated Collector (SLIC) technology. We established antibiotic panels to obtain an approximate identification of a wide variety of microbes linked to periprosthetic joint infections and determine their susceptibility to antibiotics. We challenged microbes isolated from patients with our tailored antibiotic panels and found that SLIC detects perturbations in bacterial growth accurately and reproducibly within minutes of culture. Indeed, we could show that SLIC can be used to measure the dose-dependent inhibitory or bacteriolytic activity of broad classes of antibiotics. Our panel design enabled us to establish a profile similar to an antibiogram for the tested bacteria within 90 min. Our method can provide information on the class of bacteria tested and potential treatment avenues in parallel. Our proof-of-principle experiments using isolated clinical strains of bacteria demonstrate that SLIC, together with our specifically designed antibiotic panels, could be used to rapidly provide information on the identity of an infecting microbe, such as those associated with periprosthetic joint infections, and guide physicians to prescribe targeted antibiotic treatment early-on. The constant emergence of resistant strains of bacteria pushes the pharmaceutical industry to develop further effective drugs. Our optimized method could significantly accelerate this work by characterizing the efficacy of new classes of compounds against bacterial viability within minutes, a timeframe far shorter than the current standards.
细菌对抗生素的耐药性是医疗系统持续应对的一项重大挑战,也是治疗肌肉骨骼感染(如人工关节周围感染)的一个主要问题。目前识别感染性微生物并确定其对抗生素敏感性的方法,从分离到建立抗菌谱需要两到十天时间。这个缓慢的过程限制了抗菌药物研发的进展,在临床环境中,还会延迟靶向治疗的实施,对患者可能产生毁灭性后果。考虑到这一点,我们努力建立一种更快、更灵敏的方法,利用散射光集成收集器(SLIC)技术提供临床相关微生物的抗生素敏感性概况。我们建立了抗生素检测组,以大致鉴定与人工关节周围感染相关的多种微生物,并确定它们对抗生素的敏感性。我们用定制的抗生素检测组对从患者身上分离出的微生物进行测试,发现SLIC能在培养几分钟内准确且可重复地检测出细菌生长的扰动。事实上,我们能够证明SLIC可用于测量各类抗生素的剂量依赖性抑制或溶菌活性。我们的检测组设计使我们能够在90分钟内为测试细菌建立一个类似于抗菌谱的概况。我们的方法可以并行提供有关测试细菌种类和潜在治疗途径的信息。我们使用分离出的临床细菌菌株进行的原理验证实验表明,SLIC与我们专门设计的抗生素检测组一起,可用于快速提供有关感染微生物身份的信息,例如与人工关节周围感染相关的微生物,并指导医生尽早开出靶向抗生素治疗处方。耐药细菌菌株的不断出现促使制药行业进一步研发有效的药物。我们优化后的方法可以通过在几分钟内表征新型化合物对细菌活力的功效,显著加速这项工作,这一时间框架比当前标准短得多。