Sajkowska Sylwia, Moskwa Justyna, Socha Katarzyna, Leśniewska Barbara
Doctoral School of the University of Bialystok, Ciołkowskiego 1K, Bialystok 15-245, Poland.
Department of Analytical and Inorganic Chemistry, Faculty of Chemistry, University of Bialystok, Ciołkowskiego 1K, Bialystok 15-245, Poland.
J Agric Food Chem. 2025 Mar 12;73(10):6189-6204. doi: 10.1021/acs.jafc.4c10940. Epub 2025 Feb 28.
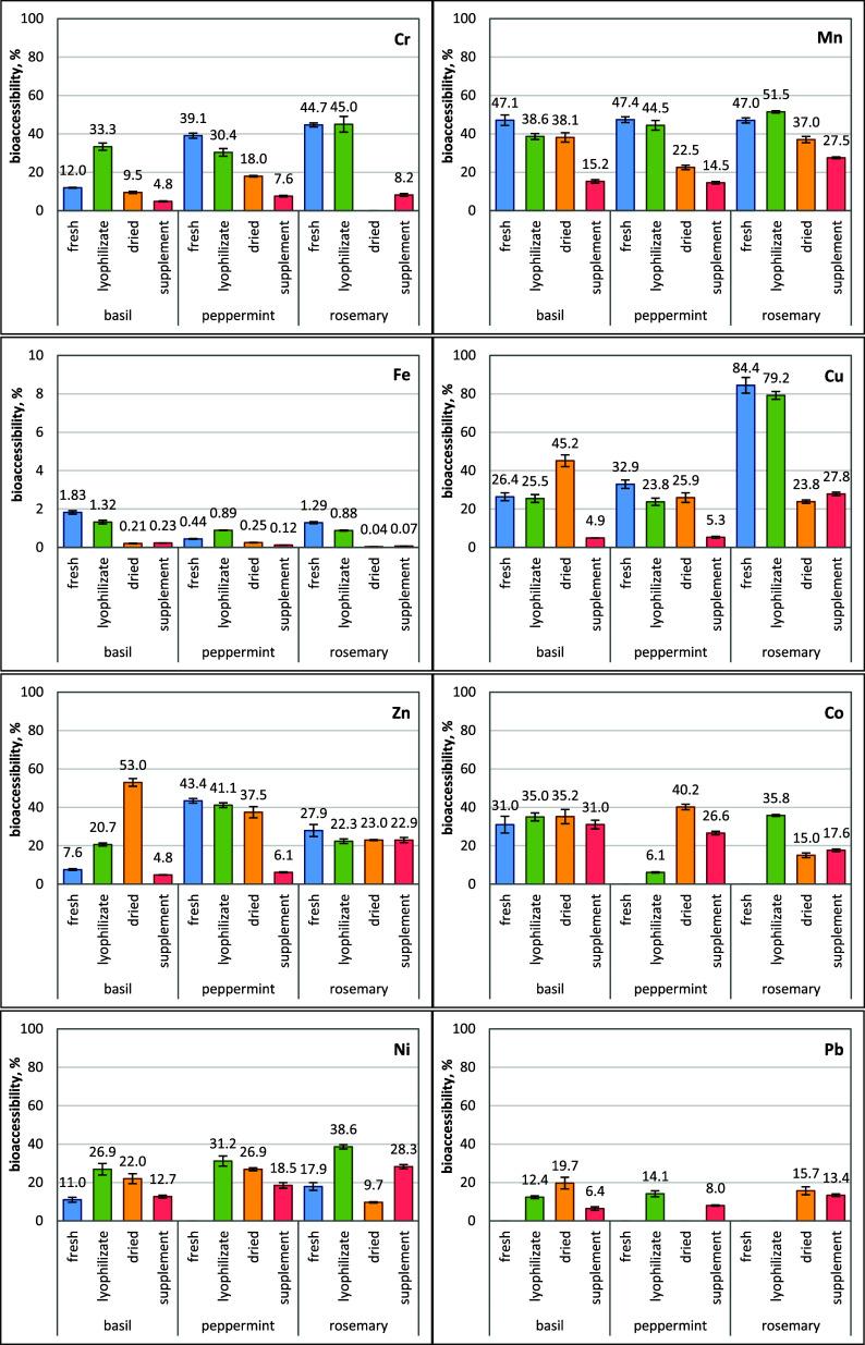
Herbs, well-known for their antioxidant properties, are a common component of the human diet. In this work, for the first time, the bioaccessibility of essential (Mn, Fe, Cu, Zn, Co, Cr, and Se) and toxic trace elements (Ni, Cd, As, Pb, and Hg) in spice plants: basil, peppermint, and rosemary was studied using an in vitro gastrointestinal digestion process and artificial dialysis membranes. The different forms of plants, fresh, lyophilized, and dried (as spice and dietary supplements), were analyzed. The results show that the bioaccessibility of elements depends on the type of plants, their form, and origin. Relatively high bioaccessibility of Cu (24-84%), Mn (39-52%), and Zn (8-43%) was observed in fresh and lyophilized herbs. The lowest value was obtained for Fe (<2%) in all herbs. The lyophilization process did not affect the trace elements' bioaccessibility in herbs. The total phenolic content was positively correlated with the total content of elements in all tested spice plants.
草药以其抗氧化特性而闻名,是人类饮食中的常见成分。在这项研究中,首次使用体外胃肠道消化过程和人工透析膜,对香料植物罗勒、薄荷和迷迭香中必需微量元素(锰、铁、铜、锌、钴、铬和硒)和有毒微量元素(镍、镉、砷、铅和汞)的生物可及性进行了研究。分析了植物的不同形态,即新鲜的、冻干的和干燥的(作为香料和膳食补充剂)。结果表明,元素的生物可及性取决于植物的种类、形态和产地。在新鲜和冻干的草药中,观察到铜(24 - 84%)、锰(39 - 52%)和锌(8 - 43%)具有相对较高的生物可及性。所有草药中铁的生物可及性最低(<2%)。冻干过程不影响草药中微量元素的生物可及性。在所有测试的香料植物中,总酚含量与元素总含量呈正相关。