Suppr超能文献

用于高性能丙酮和乙醇气体传感器的SnO/多壁碳纳米管纳米结构材料

SnO/MWCNTs Nanostructured Material for High-Performance Acetone and Ethanol Gas Sensors.

作者信息

Aleksanyan Mikayel, Sayunts Artak, Shahkhatuni Gevorg, Simonyan Zarine, Kananov Davit, Khachaturyan Emma, Papovyan Rima, Michalcová Alena, Kopecký Dušan

机构信息

Center of Semiconductor Devices and Nanotechnologies, Yerevan State University, 1 Alex Manoogian, 0025 Yerevan, Armenia.

Department of Metals and Corrosion Engineering, University of Chemistry and Technology Prague, Technická 5, Prague 6, Prague 166 28, Czech Republic.

出版信息

ACS Omega. 2025 Feb 12;10(7):7283-7294. doi: 10.1021/acsomega.4c10981. eCollection 2025 Feb 25.

Abstract

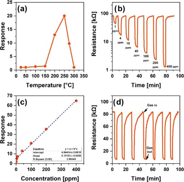
This work presents a novel nanostructured material SnO/multiwalled carbon nanotubes (MWCNTs) as a sensing film for the detection of acetone and ethanol vapors. The fabrication of SnO/MWCNT chemoresistive sensors demonstrates a cost-effective hydrothermal method using a centrifugation technique. The material investigation of the synthesized SnO/MWCNTs nanocomposite represents various techniques, such as scanning electron microscopy (SEM), transmission electron microscopy (TEM), energy-dispersive X-ray (EDX) elementary analysis, EDX mapping, and X-ray diffraction (XRD) analysis. The SnO/MWCNTs sensor exhibits rapid response/recovery behavior toward acetone (53/5 s) and ethanol (86/3 s) while showing satisfactory values of responsiveness ( = 90.5 and = 21, = 100 ppm). The low detection limit of these vapors is assigned a concentration of 1 ppm, where discernible responses are elicited. Thus, the SnO/MWCNTs sensor production efforts have yielded a high-end volatile organic compound (VOC) detector, highly suitable for human technological and engineering activity.

摘要

这项工作展示了一种新型纳米结构材料SnO/多壁碳纳米管(MWCNTs)作为用于检测丙酮和乙醇蒸汽的传感薄膜。SnO/MWCNT化学电阻传感器的制造展示了一种使用离心技术的经济高效的水热法。对合成的SnO/MWCNTs纳米复合材料的材料研究采用了多种技术,如扫描电子显微镜(SEM)、透射电子显微镜(TEM)、能量色散X射线(EDX)元素分析、EDX映射和X射线衍射(XRD)分析。SnO/MWCNTs传感器对丙酮(53/5秒)和乙醇(86/3秒)表现出快速响应/恢复行为,同时在响应度方面显示出令人满意的值( = 90.5和 = 21, = 100 ppm)。这些蒸汽的低检测限设定为1 ppm,在此浓度下可引发可辨别的响应。因此,SnO/MWCNTs传感器的生产成果产生了一种高端挥发性有机化合物(VOC)探测器,非常适合人类的技术和工程活动。

https://cdn.ncbi.nlm.nih.gov/pmc/blobs/fb29/11865970/4ab9dd61a5b6/ao4c10981_0001.jpg

文献AI研究员

20分钟写一篇综述,助力文献阅读效率提升50倍。

立即体验

用中文搜PubMed

大模型驱动的PubMed中文搜索引擎

马上搜索

文档翻译

学术文献翻译模型,支持多种主流文档格式。

立即体验