Suppr超能文献

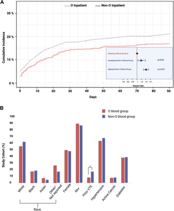
Non-O Blood Groups and Cardiovascular Outcomes in COVID-19: Findings From a Large Multicenter Study.

作者信息

Leyva Hannah, Hamade Nada, Krishnathasan Darsiya, Goldhaber Samuel Z, Welker James, Carroll Brett, Bonaca Marc, Lan Zhou, Bikdeli Behnood, Piazza Gregory

机构信息

Division of Cardiovascular Medicine, Brigham and Women's Hospital, Harvard Medical School, Boston, Massachusetts, USA; Thrombosis Research Group, Brigham and Women's Hospital, Harvard Medical School, Boston, Massachusetts, USA.

Anne Arundel Research Institute, Annapolis, Mississippi, USA.

出版信息

JACC Adv. 2025 Apr;4(4):101641. doi: 10.1016/j.jacadv.2025.101641. Epub 2025 Mar 12.

Abstract
摘要
https://cdn.ncbi.nlm.nih.gov/pmc/blobs/1e2c/11953960/3ad41af21710/ga1.jpg

文献检索

告别复杂PubMed语法,用中文像聊天一样搜索,搜遍4000万医学文献。AI智能推荐,让科研检索更轻松。

立即免费搜索

文件翻译

保留排版,准确专业,支持PDF/Word/PPT等文件格式,支持 12+语言互译。

免费翻译文档

深度研究

AI帮你快速写综述,25分钟生成高质量综述,智能提取关键信息,辅助科研写作。

立即免费体验