• 文献检索
  • 文档翻译
  • 深度研究
  • 学术资讯
  • Suppr Zotero 插件Zotero 插件
  • 邀请有礼
  • 套餐&价格
  • 历史记录
应用&插件
Suppr Zotero 插件Zotero 插件浏览器插件Mac 客户端Windows 客户端微信小程序
定价
高级版会员购买积分包购买API积分包
服务
文献检索文档翻译深度研究API 文档MCP 服务
关于我们
关于 Suppr公司介绍联系我们用户协议隐私条款
关注我们

Suppr 超能文献

核心技术专利:CN118964589B侵权必究
粤ICP备2023148730 号-1Suppr @ 2026

文献检索

告别复杂PubMed语法,用中文像聊天一样搜索,搜遍4000万医学文献。AI智能推荐,让科研检索更轻松。

立即免费搜索

文件翻译

保留排版,准确专业,支持PDF/Word/PPT等文件格式,支持 12+语言互译。

免费翻译文档

深度研究

AI帮你快速写综述,25分钟生成高质量综述,智能提取关键信息,辅助科研写作。

立即免费体验

重复经颅磁刺激对血管性认知障碍大鼠学习记忆认知功能的影响及其神经诱导机制

Effects of repetitive transcranial magnetic stimulation on learning and memory cognitive function in rats with vascular cognitive impairment and its neural induction mechanism.

作者信息

Wang Jiati, Gao Huan

机构信息

Department of Neurology, Yan'an University Xianyang Hospital, Xianyang, 712000, Shaanxi, China.

出版信息

BMC Neurosci. 2025 Mar 18;26(1):24. doi: 10.1186/s12868-025-00933-z.

DOI:10.1186/s12868-025-00933-z
PMID:40102718
原文链接:https://pmc.ncbi.nlm.nih.gov/articles/PMC11916909/
Abstract

BACKGROUND

The treatment of vascular cognitive impairment (VCI) is challenging, and its neurological mechanisms are not yet fully understood. Repetitive transcranial magnetic stimulation (rTMS) offers a new non-invasive treatment approach.

METHODS

One hundred male SD rats were grouped: intervention group (IG), model group (MG), sham group (SG), and control group (CG), to prepare the rat model of VCI. The Morris water maze (MWM) test was conducted, and oxidative stress (OS) markers, neurotrophic factors, apoptosis factors, and the amplitude of postsynaptic potential (PSP) in the hippocampus of rats were measured.

RESULTS

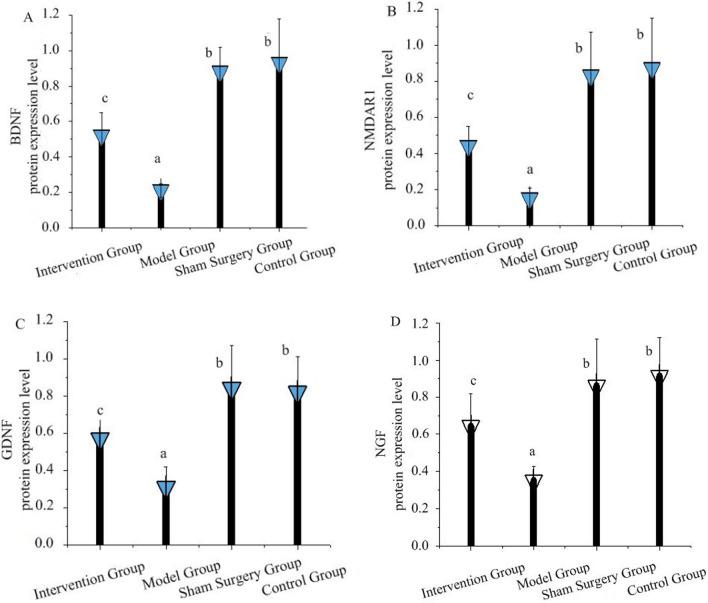
Post-intervention, IG's escape latency was lower than MG but higher than SG and CG. IG's hippocampal malondialdehyde (MDA) content, Bax, and Caspase-3 (Cas-3) were lower than MG but higher than SG and CG, while the tendency was opposite for Bcl-2 expression and the content of glutathione (GSH) and superoxide dismutase (SOD). IG's brain-derived neurotrophic factor (BDNF), glial cell line-derived neurotrophic factor (GDNF), and N-methyl-D-aspartate receptor 1 (NMDAR1) in the hippocampus were higher than MG but lower than SG and CG; The changes in the amplitude of PSP in the hippocampal region of IG at 10, 30, and 60 min were all higher than those in MG but lower than those in SG and CG (P < 0.05).

CONCLUSION

Low-frequency rTMS visibly improved the learning and memory abilities of VCI rats and reduced OS levels.

摘要

背景

血管性认知障碍(VCI)的治疗具有挑战性,其神经机制尚未完全明确。重复经颅磁刺激(rTMS)提供了一种新的非侵入性治疗方法。

方法

将100只雄性SD大鼠分组:干预组(IG)、模型组(MG)、假手术组(SG)和对照组(CG),制备VCI大鼠模型。进行莫里斯水迷宫(MWM)试验,并检测大鼠海马中的氧化应激(OS)标志物、神经营养因子、凋亡因子以及突触后电位(PSP)的幅度。

结果

干预后,IG的逃避潜伏期低于MG,但高于SG和CG。IG的海马丙二醛(MDA)含量、Bax和半胱天冬酶-3(Cas-3)低于MG,但高于SG和CG,而Bcl-2表达以及谷胱甘肽(GSH)和超氧化物歧化酶(SOD)含量的趋势则相反。IG海马中的脑源性神经营养因子(BDNF)、胶质细胞源性神经营养因子(GDNF)和N-甲基-D-天冬氨酸受体1(NMDAR1)高于MG,但低于SG和CG;IG在10、30和60分钟时海马区PSP幅度的变化均高于MG,但低于SG和CG(P<0.05)。

结论

低频rTMS明显改善了VCI大鼠的学习和记忆能力,并降低了OS水平。

https://cdn.ncbi.nlm.nih.gov/pmc/blobs/2be7/11916909/e2ba0798c61a/12868_2025_933_Fig6_HTML.jpg
https://cdn.ncbi.nlm.nih.gov/pmc/blobs/2be7/11916909/d9c2da15206c/12868_2025_933_Fig1_HTML.jpg
https://cdn.ncbi.nlm.nih.gov/pmc/blobs/2be7/11916909/2cc58ff31140/12868_2025_933_Fig2_HTML.jpg
https://cdn.ncbi.nlm.nih.gov/pmc/blobs/2be7/11916909/9e32e5a3adc5/12868_2025_933_Fig3_HTML.jpg
https://cdn.ncbi.nlm.nih.gov/pmc/blobs/2be7/11916909/6d593688dbdd/12868_2025_933_Fig4_HTML.jpg
https://cdn.ncbi.nlm.nih.gov/pmc/blobs/2be7/11916909/6128b2f1cc32/12868_2025_933_Fig5_HTML.jpg
https://cdn.ncbi.nlm.nih.gov/pmc/blobs/2be7/11916909/e2ba0798c61a/12868_2025_933_Fig6_HTML.jpg
https://cdn.ncbi.nlm.nih.gov/pmc/blobs/2be7/11916909/d9c2da15206c/12868_2025_933_Fig1_HTML.jpg
https://cdn.ncbi.nlm.nih.gov/pmc/blobs/2be7/11916909/2cc58ff31140/12868_2025_933_Fig2_HTML.jpg
https://cdn.ncbi.nlm.nih.gov/pmc/blobs/2be7/11916909/9e32e5a3adc5/12868_2025_933_Fig3_HTML.jpg
https://cdn.ncbi.nlm.nih.gov/pmc/blobs/2be7/11916909/6d593688dbdd/12868_2025_933_Fig4_HTML.jpg
https://cdn.ncbi.nlm.nih.gov/pmc/blobs/2be7/11916909/6128b2f1cc32/12868_2025_933_Fig5_HTML.jpg
https://cdn.ncbi.nlm.nih.gov/pmc/blobs/2be7/11916909/e2ba0798c61a/12868_2025_933_Fig6_HTML.jpg

相似文献

1
Effects of repetitive transcranial magnetic stimulation on learning and memory cognitive function in rats with vascular cognitive impairment and its neural induction mechanism.重复经颅磁刺激对血管性认知障碍大鼠学习记忆认知功能的影响及其神经诱导机制
BMC Neurosci. 2025 Mar 18;26(1):24. doi: 10.1186/s12868-025-00933-z.
2
Repetitive transcranial magnetic stimulation enhances spatial learning and synaptic plasticity via the VEGF and BDNF-NMDAR pathways in a rat model of vascular dementia.在血管性痴呆大鼠模型中,重复经颅磁刺激通过血管内皮生长因子(VEGF)和脑源性神经营养因子- N-甲基-D-天冬氨酸受体(BDNF-NMDAR)通路增强空间学习和突触可塑性。
Neuroscience. 2015 Dec 17;311:284-91. doi: 10.1016/j.neuroscience.2015.10.038. Epub 2015 Oct 27.
3
The restoration after repetitive transcranial magnetic stimulation treatment on cognitive ability of vascular dementia rats and its impacts on synaptic plasticity in hippocampal CA1 area.重复经颅磁刺激治疗对血管性痴呆大鼠认知能力的恢复及其对海马 CA1 区突触可塑性的影响。
J Mol Neurosci. 2010 May;41(1):145-55. doi: 10.1007/s12031-009-9311-7. Epub 2009 Dec 2.
4
Effects of repetitive transcranial magnetic stimulation on synaptic plasticity and apoptosis in vascular dementia rats.重复经颅磁刺激对血管性痴呆大鼠突触可塑性及细胞凋亡的影响
Behav Brain Res. 2015 Mar 15;281:149-55. doi: 10.1016/j.bbr.2014.12.037. Epub 2014 Dec 22.
5
High-frequency rTMS alleviates cognitive impairment and regulates synaptic plasticity in the hippocampus of rats with cerebral ischemia.高频 rTMS 可减轻脑缺血大鼠认知障碍并调节海马突触可塑性。
Behav Brain Res. 2024 Jun 5;467:115018. doi: 10.1016/j.bbr.2024.115018. Epub 2024 Apr 27.
6
Repetitive transcranial magnetic stimulation effectively facilitates spatial cognition and synaptic plasticity associated with increasing the levels of BDNF and synaptic proteins in Wistar rats.重复经颅磁刺激有效地促进了与增加Wistar大鼠脑源性神经营养因子(BDNF)水平和突触蛋白相关的空间认知和突触可塑性。
Neurobiol Learn Mem. 2016 Oct;134 Pt B:369-78. doi: 10.1016/j.nlm.2016.08.016. Epub 2016 Aug 21.
7
rTMS Ameliorates Prenatal Stress-Induced Cognitive Deficits in Male-Offspring Rats Associated With BDNF/TrkB Signaling Pathway.rTMS 可改善孕鼠应激引起的雄性子代认知缺陷,与 BDNF/TrkB 信号通路有关。
Neurorehabil Neural Repair. 2019 Apr;33(4):271-283. doi: 10.1177/1545968319834898.
8
High-frequency repetitive transcranial magnetic stimulation ameliorates memory impairment by inhibiting neuroinflammation in the chronic cerebral hypoperfusion mice.高频重复经颅磁刺激通过抑制慢性脑低灌注小鼠的神经炎症改善记忆障碍。
Brain Behav. 2024 Jul;14(7):e3618. doi: 10.1002/brb3.3618.
9
Repetitive transcranial magnetic stimulation (rTMS) influences spatial cognition and modulates hippocampal structural synaptic plasticity in aging mice.重复经颅磁刺激(rTMS)影响衰老小鼠的空间认知并调节海马结构突触可塑性。
Exp Gerontol. 2014 Oct;58:256-68. doi: 10.1016/j.exger.2014.08.011. Epub 2014 Aug 27.
10
Melatonin ameliorates cognitive impairment induced by sleep deprivation in rats: role of oxidative stress, BDNF and CaMKII.褪黑素改善睡眠剥夺诱导的大鼠认知障碍:氧化应激、脑源性神经营养因子和钙/钙调蛋白依赖性蛋白激酶II的作用
Behav Brain Res. 2013 Nov 1;256:72-81. doi: 10.1016/j.bbr.2013.07.051. Epub 2013 Aug 6.

本文引用的文献

1
Vascular cognitive impairment and dementia: Mechanisms, treatment, and future directions.血管性认知障碍与痴呆:机制、治疗及未来方向
Int J Stroke. 2024 Oct;19(8):838-856. doi: 10.1177/17474930241279888.
2
CircMYBL1 suppressed acquired resistance to osimertinib in non-small-cell lung cancer.环状 RNA MYBL1 抑制非小细胞肺癌对奥希替尼的获得性耐药。
Cancer Genet. 2024 Jun;284-285:34-42. doi: 10.1016/j.cancergen.2024.04.001. Epub 2024 Apr 15.
3
Cerebral Small Vessel Disease, Hypertension, and Vascular Contributions to Cognitive Impairment and Dementia.
脑小血管病、高血压与血管因素对认知障碍和痴呆的影响。
Hypertension. 2024 Jan;81(1):75-86. doi: 10.1161/HYPERTENSIONAHA.123.19943. Epub 2023 Nov 29.
4
1Hz right orbitofrontal TMS benefits depressed patients unresponsive to dorsolateral prefrontal cortex TMS.1赫兹右侧眶额皮质重复经颅磁刺激对背外侧前额叶皮质重复经颅磁刺激无反应的抑郁症患者有益。
Brain Stimul. 2023 Nov-Dec;16(6):1572-1575. doi: 10.1016/j.brs.2023.10.005. Epub 2023 Oct 13.
5
Vascular cognitive impairment - Past, present, and future challenges.血管性认知障碍——过去、现在和未来的挑战。
Ageing Res Rev. 2023 Sep;90:102042. doi: 10.1016/j.arr.2023.102042. Epub 2023 Aug 25.
6
Unfolded protein response signature unveils novel insights into breast cancer prognosis and tumor microenvironment.未折叠蛋白反应特征揭示了乳腺癌预后和肿瘤微环境的新见解。
Cancer Genet. 2023 Aug;276-277:17-29. doi: 10.1016/j.cancergen.2023.06.001. Epub 2023 Jun 14.
7
Association between sleep duration and depression: A Mendelian randomization analysis.睡眠时间与抑郁症之间的关联:孟德尔随机化分析
J Affect Disord. 2023 Aug 15;335:152-154. doi: 10.1016/j.jad.2023.05.020. Epub 2023 May 11.
8
Cerebral small vessel disease: Recent advances and future directions.脑小血管病:最新进展与未来方向。
Int J Stroke. 2023 Jan;18(1):4-14. doi: 10.1177/17474930221144911.
9
Vascular and Nonvascular Mechanisms of Cognitive Impairment and Dementia.认知障碍和痴呆的血管及非血管机制
Clin Geriatr Med. 2023 Feb;39(1):109-122. doi: 10.1016/j.cger.2022.07.006. Epub 2022 Oct 18.
10
Cognitive Impairment in Older Adults: Epidemiology, Diagnosis, and Treatment.老年人认知障碍:流行病学、诊断与治疗。
Psychiatr Clin North Am. 2022 Dec;45(4):639-661. doi: 10.1016/j.psc.2022.07.010. Epub 2022 Oct 14.