• 文献检索
  • 文档翻译
  • 深度研究
  • 学术资讯
  • Suppr Zotero 插件Zotero 插件
  • 邀请有礼
  • 套餐&价格
  • 历史记录
应用&插件
Suppr Zotero 插件Zotero 插件浏览器插件Mac 客户端Windows 客户端微信小程序
定价
高级版会员购买积分包购买API积分包
服务
文献检索文档翻译深度研究API 文档MCP 服务
关于我们
关于 Suppr公司介绍联系我们用户协议隐私条款
关注我们

Suppr 超能文献

核心技术专利:CN118964589B侵权必究
粤ICP备2023148730 号-1Suppr @ 2026

文献检索

告别复杂PubMed语法,用中文像聊天一样搜索,搜遍4000万医学文献。AI智能推荐,让科研检索更轻松。

立即免费搜索

文件翻译

保留排版,准确专业,支持PDF/Word/PPT等文件格式,支持 12+语言互译。

免费翻译文档

深度研究

AI帮你快速写综述,25分钟生成高质量综述,智能提取关键信息,辅助科研写作。

立即免费体验

胸壁尤因肉瘤治疗方法的综合分析:肿瘤体积对肿瘤学结局的影响

Comprehensive Analysis of Treatment Approaches in Chest Wall Ewing Sarcoma: The Impact of Tumor Volume on Oncologic Outcomes.

作者信息

Laughlin Brady S, Bogan Aaron, Allen-Rhoades Wendy A, Rose Peter S, Polites Stephanie F, Ashman Jonathan B, Petersen Ivy, Haddock Michael G, Mahajan Anita, Laack Nadia N, Ahmed Safia K

机构信息

Department of Radiation Oncology, Mayo Clinic, Phoenix, Arizona.

Department of Quantitative Health Sciences, Mayo Clinic, Scottsdale, Arizona.

出版信息

Adv Radiat Oncol. 2025 Feb 28;10(4):101729. doi: 10.1016/j.adro.2025.101729. eCollection 2025 Apr.

DOI:10.1016/j.adro.2025.101729
PMID:40103664
原文链接:https://pmc.ncbi.nlm.nih.gov/articles/PMC11919283/
Abstract

PURPOSE

Local treatment with surgery (S) and radiation therapy (RT) for chest wall Ewing sarcoma (cwES) is often challenging given the extent of the tumor and the aggressiveness of local treatments needed for cure. We report tumor and treatment characteristics, oncologic outcomes, and toxicities of patients with cwES at 2 centers of a single institution.

METHODS AND MATERIALS

Consecutive patients with cwES treated from 1997 to 2022 were retrospectively reviewed. All patients were treated with standard 5-drug chemotherapy (vincristine, doxorubicin, cyclophosphamide, alternating with ifosfamide and etoposide) before initiation of local therapy. Local treatment was S, RT, or both. The decision on modality and timing was determined by a multidisciplinary sarcoma group or by consensus between sarcoma experts regarding patient preferences.

RESULTS

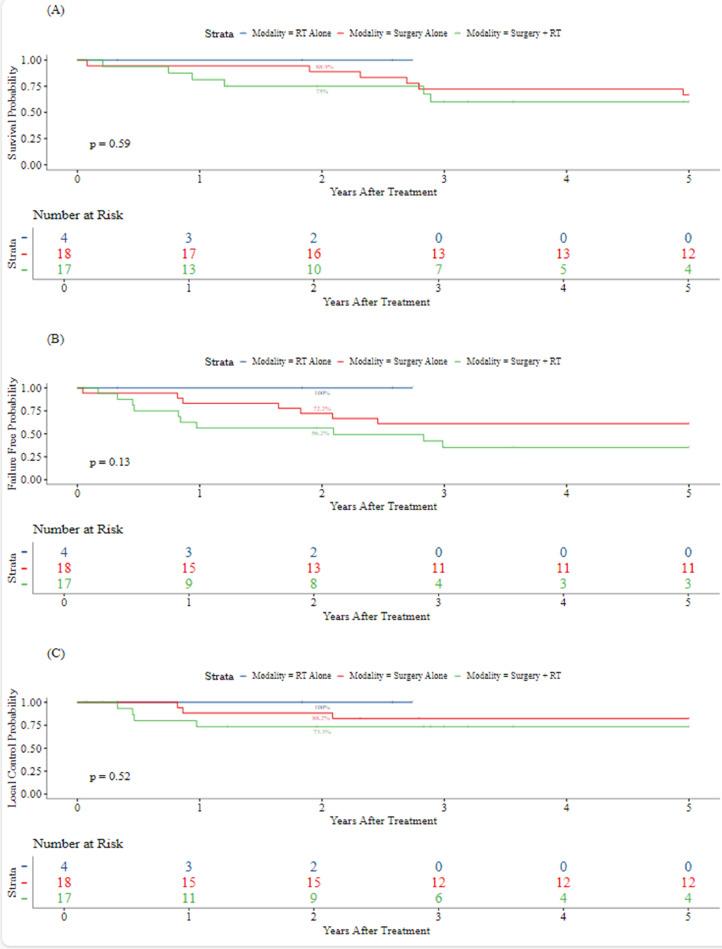
The cohort consisted of 39 patients. The median age at diagnosis was 19.2 years (range, 3.5-53.6 years). Median tumor volume (TV) was 235.5 mL (range, 5.3-6761.9 mL). The local control (LC) modality was S in 18 patients (46%), RT in 4 (10%), and S + RT in 17 (44%). Four (10%) patients treated with S + RT had R1 margins. The median follow-up was 3.2 years (range, 0.1-21.6 years). Grade 3 radiation-associated toxicity relative to the RT modality was 16.7% and 7.1% for photons (n = 6) and protons (n = 14), respectively. The 2-year LC by modality was 100% for RT (95% CI, 100%-100%), 88.2% (95% CI, 74.2%-100%) for S, and 73.3% (95% CI, 54.0%-99.5%) for S + RT. The 5-year LC, failure-free survival, and overall survival for all patients were 79.7% (95% CI, 67.3%-94.4%), 52.3% (95% CI, 38.1%-71.9%), and 64.2% (95% CI, 49.6%-83.1%), respectively. In univariate and multivariate analysis, TV ≥ 130 mL was associated with a significantly worse 5-year failure-free survival (31.8% TV ≥ 130 mL vs 80.8% TV < 130 mL; hazard ratio, 4.94, = .013 and adjusted hazard ratio, 5.43; 95% CI, 1.28-22.98; = .022). The multivariate model was adjusted for age, metastatic disease at diagnosis, and S.

CONCLUSIONS

Outcomes for cwES tumors are highly dependent on tumor size, even with the use of combined modality local therapy. With early follow-up, smaller tumors may be well controlled with either S or RT.

摘要

目的

鉴于胸壁尤文肉瘤(cwES)的肿瘤范围以及治愈所需局部治疗的侵袭性,采用手术(S)和放射治疗(RT)进行局部治疗往往具有挑战性。我们报告了单一机构2个中心cwES患者的肿瘤和治疗特征、肿瘤学结局及毒性反应。

方法和材料

对1997年至2022年期间连续治疗的cwES患者进行回顾性分析。所有患者在开始局部治疗前均接受标准的五药联合化疗(长春新碱、阿霉素、环磷酰胺,与异环磷酰胺和依托泊苷交替使用)。局部治疗方式为手术、放疗或两者联合。治疗方式和时机的决定由多学科肉瘤小组或肉瘤专家根据患者偏好达成共识后做出。

结果

该队列包括39例患者。诊断时的中位年龄为19.2岁(范围3.5 - 53.6岁)。中位肿瘤体积(TV)为235.5 mL(范围5.3 - 6761.9 mL)。局部控制(LC)方式为手术的有18例患者(46%),放疗的有4例(10%),手术 + 放疗的有17例(44%)。接受手术 + 放疗的4例(10%)患者切缘为R1。中位随访时间为3.2年(范围0.1 - 21.6年)。相对于放疗方式,光子放疗和质子放疗3级放疗相关毒性反应分别为16.7%和7.1%(光子放疗n = 6,质子放疗n = 14)。按治疗方式计算的2年局部控制率,放疗为100%(95% CI,100% - 100%),手术为88.2%(95% CI,74.2% - 100%),手术 + 放疗为73.3%(95% CI,54.0% - 99.5%)。所有患者的5年局部控制率、无失败生存率和总生存率分别为79.7%(95% CI,67.3% - 94.4%)、52.3%(95% CI,38.1% - 71.9%)和64.2%(95% CI,49.6% - 83.1%)。在单因素和多因素分析中,肿瘤体积≥130 mL与5年无失败生存率显著降低相关(肿瘤体积≥130 mL组为31.8%,肿瘤体积<130 mL组为80.8%;风险比,4.94,P = .013,调整后风险比,5.43;95% CI,1.28 - 22.98;P = .022)。多因素模型对年龄、诊断时的转移性疾病和手术进行了校正。

结论

cwES肿瘤的结局高度依赖于肿瘤大小,即使采用联合局部治疗也是如此。早期随访显示,较小的肿瘤采用手术或放疗均可得到良好控制。

https://cdn.ncbi.nlm.nih.gov/pmc/blobs/9637/11919283/af33395aa737/gr5.jpg
https://cdn.ncbi.nlm.nih.gov/pmc/blobs/9637/11919283/95b01a7fd0bf/gr1.jpg
https://cdn.ncbi.nlm.nih.gov/pmc/blobs/9637/11919283/080a0c382cc1/gr2.jpg
https://cdn.ncbi.nlm.nih.gov/pmc/blobs/9637/11919283/2d378bf46cbf/gr3.jpg
https://cdn.ncbi.nlm.nih.gov/pmc/blobs/9637/11919283/76b70aaa4c59/gr4.jpg
https://cdn.ncbi.nlm.nih.gov/pmc/blobs/9637/11919283/af33395aa737/gr5.jpg
https://cdn.ncbi.nlm.nih.gov/pmc/blobs/9637/11919283/95b01a7fd0bf/gr1.jpg
https://cdn.ncbi.nlm.nih.gov/pmc/blobs/9637/11919283/080a0c382cc1/gr2.jpg
https://cdn.ncbi.nlm.nih.gov/pmc/blobs/9637/11919283/2d378bf46cbf/gr3.jpg
https://cdn.ncbi.nlm.nih.gov/pmc/blobs/9637/11919283/76b70aaa4c59/gr4.jpg
https://cdn.ncbi.nlm.nih.gov/pmc/blobs/9637/11919283/af33395aa737/gr5.jpg

相似文献

1
Comprehensive Analysis of Treatment Approaches in Chest Wall Ewing Sarcoma: The Impact of Tumor Volume on Oncologic Outcomes.胸壁尤因肉瘤治疗方法的综合分析:肿瘤体积对肿瘤学结局的影响
Adv Radiat Oncol. 2025 Feb 28;10(4):101729. doi: 10.1016/j.adro.2025.101729. eCollection 2025 Apr.
2
Local control in pelvic Ewing sarcoma: analysis from INT-0091--a report from the Children's Oncology Group.盆腔尤文肉瘤的局部控制:来自儿童肿瘤学组INT-0091的分析报告
J Clin Oncol. 2006 Aug 20;24(24):3838-43. doi: 10.1200/JCO.2006.05.9188.
3
Chest wall Ewing sarcoma family of tumors: long-term outcomes.胸壁尤文氏肉瘤家族肿瘤:长期结果。
Int J Radiat Oncol Biol Phys. 2011 Sep 1;81(1):158-66. doi: 10.1016/j.ijrobp.2010.04.066. Epub 2010 Aug 21.
4
Radiation Therapy Dose Escalation in Unresectable Ewing Sarcoma: Final Results of a Phase 3 Randomized Controlled Trial.不可切除尤文肉瘤的放疗剂量递增:一项 3 期随机对照试验的最终结果。
Int J Radiat Oncol Biol Phys. 2022 Aug 1;113(5):996-1002. doi: 10.1016/j.ijrobp.2022.04.024. Epub 2022 May 11.
5
Comparison of two chemotherapy regimens in patients with newly diagnosed Ewing sarcoma (EE2012): an open-label, randomised, phase 3 trial.两种化疗方案在初诊尤文肉瘤患者中的比较(EE2012):一项开放标签、随机、III 期临床试验。
Lancet. 2022 Oct 29;400(10362):1513-1521. doi: 10.1016/S0140-6736(22)01790-1.
6
Dose response and local control using radiotherapy in non-metastatic Ewing sarcoma.非转移性尤因肉瘤放疗的剂量反应与局部控制
Pediatr Blood Cancer. 2007 Aug;49(2):145-8. doi: 10.1002/pbc.20904.
7
Which Factors Are Associated with Local Control and Survival of Patients with Localized Pelvic Ewing's Sarcoma? A Retrospective Analysis of Data from the Euro-EWING99 Trial.哪些因素与局限性骨盆尤文肉瘤患者的局部控制和生存相关?来自 Euro-EWING99 试验的数据的回顾性分析。
Clin Orthop Relat Res. 2020 Feb;478(2):290-302. doi: 10.1097/CORR.0000000000000962.
8
Late toxicity comparison of alkylating-based maintenance regimen with cyclophosphamide (VAC) vs ifosfamide (VAI) in Ewing sarcoma survivors treated in the randomized clinical trial Euro-EWING99-R1 in France.法国 Euro-EWING99-R1 随机临床试验中接受烷化剂维持治疗方案(VAC,环磷酰胺)与异环磷酰胺(VAI)的尤文肉瘤幸存者的晚期毒性比较。
Int J Cancer. 2023 Apr 15;152(8):1659-1667. doi: 10.1002/ijc.34326. Epub 2022 Oct 31.
9
Localized Adult Ewing Sarcoma: Favorable Outcomes with Alternating Vincristine, Doxorubicin, Cyclophosphamide, and Ifosfamide, Etoposide (VDC/IE)-Based Multimodality Therapy.局限性成人尤文肉瘤:依托泊苷(VDC/IE)为基础的多模态治疗方案中的交替应用长春新碱、多柔比星、环磷酰胺和异环磷酰胺具有良好的疗效。
Oncologist. 2017 Oct;22(10):1265-1270. doi: 10.1634/theoncologist.2016-0463. Epub 2017 May 26.
10
Feasibility of Treating Adults with Ewing or Ewing-Like Sarcoma with Interval-Compressed Vincristine, Doxorubicin, and Cyclophosphamide Alternating with Ifosfamide and Etoposide.采用间隔压缩长春新碱、多柔比星和环磷酰胺与异环磷酰胺和依托泊苷交替治疗尤文或尤文样肉瘤成人患者的可行性。
Oncologist. 2020 Feb;25(2):150-155. doi: 10.1634/theoncologist.2019-0532. Epub 2019 Oct 2.

本文引用的文献

1
Radiation therapy dose escalation achieves high rates of local control with tolerable toxicity profile in pediatric and young adult patients with Ewing sarcoma.在儿科和年轻成年尤文肉瘤患者中,放射治疗剂量递增可实现高局部控制率和可耐受的毒性特征。
Cancer. 2024 May 15;130(10):1836-1843. doi: 10.1002/cncr.35196. Epub 2024 Jan 25.
2
Randomized Phase III Trial of Ganitumab With Interval-Compressed Chemotherapy for Patients With Newly Diagnosed Metastatic Ewing Sarcoma: A Report From the Children's Oncology Group.随机 III 期临床试验:甘替单抗联合间歇性化疗治疗新诊断转移性尤文肉瘤患者:来自儿童肿瘤协作组的报告。
J Clin Oncol. 2023 Apr 10;41(11):2098-2107. doi: 10.1200/JCO.22.01815. Epub 2023 Jan 20.
3
Analysis of Local Control Outcomes and Clinical Prognostic Factors in Localized Pelvic Ewing Sarcoma Patients Treated With Radiation Therapy: A Report From the Children's Oncology Group.
分析放疗治疗局限性骨盆尤文肉瘤患者的局部控制结果和临床预后因素:来自儿童肿瘤学组的报告。
Int J Radiat Oncol Biol Phys. 2023 Feb 1;115(2):337-346. doi: 10.1016/j.ijrobp.2022.07.1840. Epub 2022 Oct 24.
4
Radiation Therapy Dose Escalation in Unresectable Ewing Sarcoma: Final Results of a Phase 3 Randomized Controlled Trial.不可切除尤文肉瘤的放疗剂量递增:一项 3 期随机对照试验的最终结果。
Int J Radiat Oncol Biol Phys. 2022 Aug 1;113(5):996-1002. doi: 10.1016/j.ijrobp.2022.04.024. Epub 2022 May 11.
5
Modern Therapy for Chest Wall Ewing Sarcoma: An Update of the University of Florida Experience.胸壁尤文肉瘤的现代治疗:佛罗里达大学经验的最新进展
Int J Radiat Oncol Biol Phys. 2022 Jun 1;113(2):345-354. doi: 10.1016/j.ijrobp.2022.02.011. Epub 2022 Feb 15.
6
Phase III Trial Adding Vincristine-Topotecan-Cyclophosphamide to the Initial Treatment of Patients With Nonmetastatic Ewing Sarcoma: A Children's Oncology Group Report.III 期临床试验:在非转移性尤文肉瘤患者的初始治疗中添加长春新碱-拓扑替康-环磷酰胺:儿童肿瘤学组报告。
J Clin Oncol. 2021 Dec 20;39(36):4029-4038. doi: 10.1200/JCO.21.00358. Epub 2021 Oct 15.
7
Survival and Scoliosis Following Resection of Chest Wall Tumors in Children and Adolescents: A Single-center Retrospective Analysis.儿童和青少年胸腔壁肿瘤切除术后的生存和脊柱侧弯:单中心回顾性分析。
Ann Surg. 2021 Aug 1;274(2):e167-e173. doi: 10.1097/SLA.0000000000003495.
8
Ewing Sarcoma of the Chest Wall: Prognostic Factors of Multimodal Therapy Including En Bloc Resection.胸壁尤因肉瘤:包括整块切除术的多模式治疗的预后因素。
Ann Thorac Surg. 2018 Jul;106(1):207-213. doi: 10.1016/j.athoracsur.2018.02.031. Epub 2018 Mar 15.
9
Identification of Patients With Localized Ewing Sarcoma at Higher Risk for Local Failure: A Report From the Children's Oncology Group.儿童肿瘤协作组报告:局部尤因肉瘤局部复发高风险患者的识别
Int J Radiat Oncol Biol Phys. 2017 Dec 1;99(5):1286-1294. doi: 10.1016/j.ijrobp.2017.08.020. Epub 2017 Aug 24.
10
Pelvis Ewing sarcoma: Local control and survival in the modern era.骨盆尤因肉瘤:现代的局部控制与生存情况
Pediatr Blood Cancer. 2017 Sep;64(9). doi: 10.1002/pbc.26504. Epub 2017 Feb 28.