Suppr超能文献

磺胺二甲嘧啶/安息香基席夫碱配体的金属配合物:合成、表征、密度泛函理论计算及抗菌活性

Metal complexes of sulfamethazine/benzoin-based Schiff base ligand: synthesis, characterization, DFT calculations, and antimicrobial activities.

作者信息

Buran Kerem

机构信息

Department of Pharmaceutical Chemistry, Hamidiye Faculty of Pharmacy, University of Health Sciences, İstanbul, Turkiye.

出版信息

Turk J Biol. 2024 Dec 24;49(1):118-126. doi: 10.55730/1300-0152.2729. eCollection 2025.

Abstract

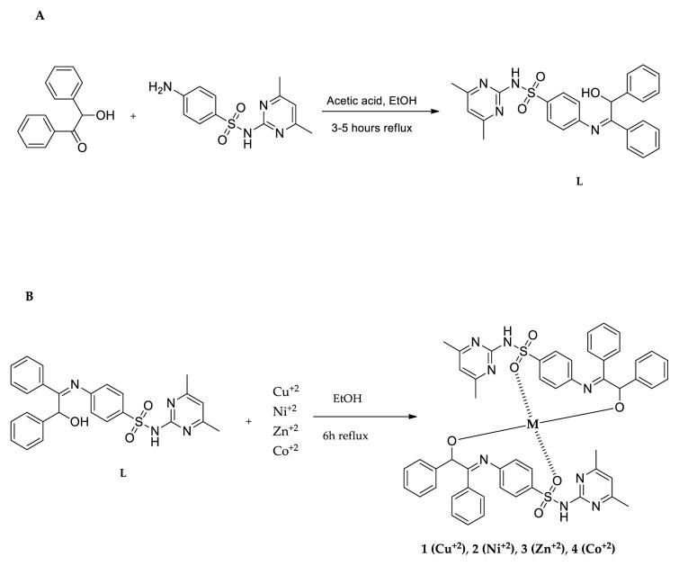
BACKGROUND/AIM: The global rise in bacterial resistance poses a significant challenge, exacerbated by the overuse of antibacterial agents. Schiff base-metal complexes have gained attention for their potential antimicrobial properties, attributed to their unique three-dimensional structures and modes of action, such as cell wall inhibition and membrane disruption. The aim of this study was to synthesize and characterize a novel Schiff base (L) derived from sulfamethazine and benzoin, and to develop metal complexes of it with Cu, Co, Ni, and Cd. This research sought to evaluate the antibacterial and antifungal activities of the synthesized Schiff base and its metal complexes to explore their potential as effective antimicrobial agents.

MATERIALS AND METHODS

The compound L and its metal complexes were synthesized. The compounds were characterized with H NMR, C NMR, mass spectrometry, UV-vis spectroscopy, and FTIR. Antimicrobial activities were tested on ATCC 8739, ATCC 6538, ATCC 9027, and ATCC 10231. To investigate the molecular properties of compound L, density functional theory calculations were also performed.

RESULTS

The synthesized compounds (L, 1, 2, 3, 4) were tested for antibacterial and antifungal activities. Copper-based compound 1 showed the best overall antifungal activity, while zinc-based compound 3 demonstrated notable antibacterial efficacy against . Although all compounds outperformed L in antifungal tests, none surpassed ciprofloxacin, the reference drug, in antibacterial assays. These results highlight the potential of Schiff base-metal complexes as promising antimicrobial agents.

CONCLUSION

This study highlights the potential of Schiff base-metal complexes as effective antimicrobial agents in response to the growing challenge of bacterial resistance. The synthesized Schiff base (L) and metal complexes of it with Cu, Co, Ni, and Cd exhibited promising antibacterial and antifungal activities, with copper-based compound 1 showing the most potent antifungal action and zinc-based compound 3 demonstrating significant antibacterial efficacy against . Although none of the compounds outperformed ciprofloxacin in antibacterial assays, all were more effective than the parent Schiff base in antifungal tests. These findings suggest that Schiff base-metal complexes, particularly copper and zinc derivatives, hold considerable promise for developing new antimicrobial agents. Further optimization and testing could enhance their clinical application in combating resistant infections.

摘要

背景/目的:全球范围内细菌耐药性的上升构成了重大挑战,抗菌药物的过度使用使这一问题更加严重。席夫碱金属配合物因其潜在的抗菌特性而受到关注,这归因于它们独特的三维结构和作用方式,如抑制细胞壁和破坏细胞膜。本研究的目的是合成并表征一种由磺胺二甲嘧啶和苯偶姻衍生的新型席夫碱(L),并开发其与铜、钴、镍和镉的金属配合物。本研究旨在评估合成的席夫碱及其金属配合物的抗菌和抗真菌活性,以探索它们作为有效抗菌剂的潜力。

材料与方法

合成了化合物L及其金属配合物。用1H NMR、13C NMR、质谱、紫外可见光谱和傅里叶变换红外光谱对化合物进行了表征。在ATCC 8739、ATCC 6538、ATCC 9027和ATCC 10231上测试了抗菌活性。为了研究化合物L的分子性质,还进行了密度泛函理论计算。

结果

对合成的化合物(L、1、2、3、4)进行了抗菌和抗真菌活性测试。铜基化合物1显示出最佳的总体抗真菌活性,而锌基化合物3对……表现出显著的抗菌效果。尽管所有化合物在抗真菌测试中的表现均优于L,但在抗菌试验中,没有一种化合物超过参考药物环丙沙星。这些结果突出了席夫碱金属配合物作为有前景的抗菌剂的潜力。

结论

本研究突出了席夫碱金属配合物作为应对细菌耐药性日益增长挑战的有效抗菌剂的潜力。合成的席夫碱(L)及其与铜、钴、镍和镉的金属配合物表现出有前景的抗菌和抗真菌活性,铜基化合物1显示出最有效的抗真菌作用,锌基化合物3对……表现出显著的抗菌效果。尽管在抗菌试验中没有一种化合物超过环丙沙星,但在抗真菌测试中,所有化合物都比母体席夫碱更有效。这些发现表明,席夫碱金属配合物,特别是铜和锌衍生物,在开发新型抗菌剂方面具有很大的前景。进一步的优化和测试可以增强它们在对抗耐药感染中的临床应用。

https://cdn.ncbi.nlm.nih.gov/pmc/blobs/6131/11913352/277175f3bacd/tjb-49-01-118f1.jpg

文献检索

告别复杂PubMed语法,用中文像聊天一样搜索,搜遍4000万医学文献。AI智能推荐,让科研检索更轻松。

立即免费搜索

文件翻译

保留排版,准确专业,支持PDF/Word/PPT等文件格式,支持 12+语言互译。

免费翻译文档

深度研究

AI帮你快速写综述,25分钟生成高质量综述,智能提取关键信息,辅助科研写作。

立即免费体验