Suppr超能文献

新型冠状病毒肺炎患者的情绪症状、认知功能及脑血流动力学变化:一项功能近红外光谱研究

Mood symptoms, cognitive function, and changes of brain hemodynamics in patients with COVID-19: A functional near-infrared spectroscopy study.

作者信息

Ma Wen-Jin, Yuan Ruo-Chao, Peng Zi-Yu, Wu Qian, Al-Matary Manal, Yang Hui-Shu, Cheng Peng, Zhao Guang-Ju, Lu Chao-Chao, Zhang Yue-Xin, Hong Jia-Kun, Li Wei-Hui

机构信息

Department of Psychiatry, National Clinical Research Center for Mental Disorders, National Center for Mental Disorders, The Second Xiangya Hospital of Central South University, Changsha 410011, Hunan Province, China.

Research Center of Educational Neuroscience, School of Educational Science, Huazhong University of Science and Technology, Wuhan 430074, Hubei Province, China.

出版信息

World J Psychiatry. 2025 Mar 19;15(3):100112. doi: 10.5498/wjp.v15.i3.100112.

Abstract

BACKGROUND

Many patients with coronavirus disease 2019 (COVID-19) may experience emotional issues and cognitive impairment. However, it remains unclear whether the brain mediates the impact of COVID-19 on the emergence of psychopathological symptoms. It remains unclear whether anxiety and depression are caused by stressors or viral infection.

AIM

To use functional near-infrared spectroscopy (fNIRS) to detect cortical hemodynamic changes in patients with COVID-19 and their relationship with mental symptoms (mainly depression and anxiety), to investigate whether COVID-19 causes these changes by affecting brain function.

METHODS

A total of 58 subjects, comprising 29 patients with first acute COVID-19 infection and 29 healthy controls without COVID-19 infection and without anxiety or depression were recruited. Then cortical activation during the performance of the verbal fluency test (VFT) and brain connectivity during the resting state (rs) were evaluated by 53-channel fNIRS. For the COVID-19-infected group, Patient Health Questionnaire-9 (PHQ-9) and General Anxiety Disorder-7 (GAD-7) were used to assess the emotional state before fNIRS measures.

RESULTS

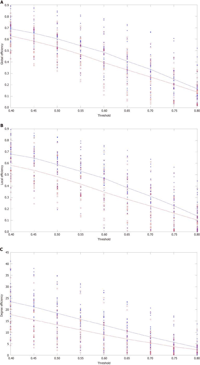
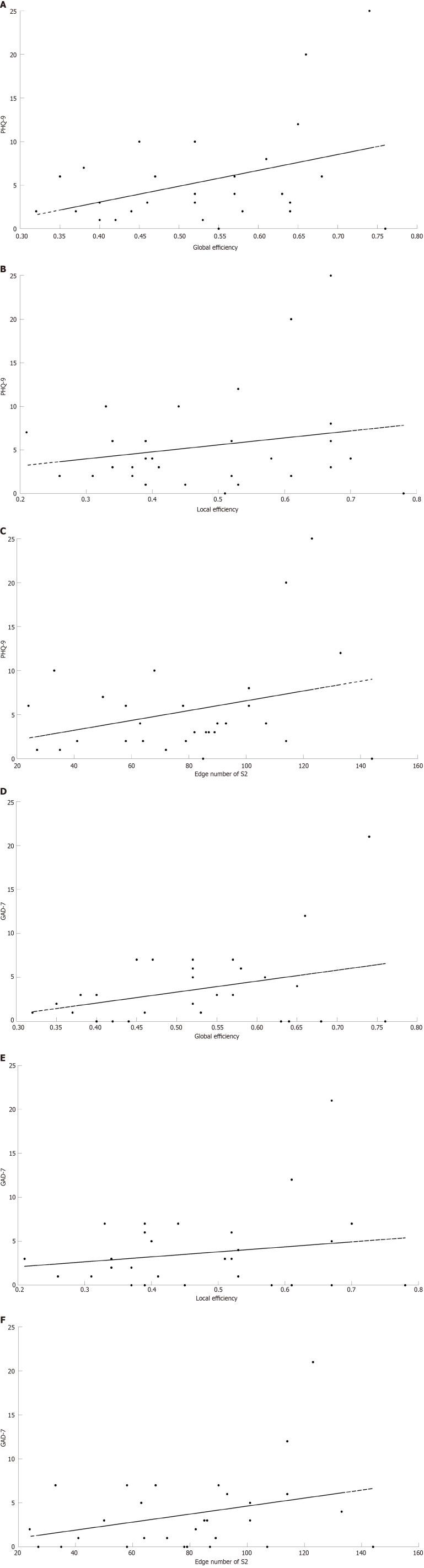
For the rs, compared to the uninfected group, the infected group exhibited lower rs functional connectivity (FC) in the dorsolateral prefrontal cortex (DLPFC), which was correlated with both the PHQ score and GAD score. During the VFT, the infected group exhibited significantly lower cortical activation than the uninfected group in both Broca-left and Broca-right. Besides, the integral value in the DLPFC-L showed a significant negative correlation with the PHQ-9 score during the VFT in the infected group.

CONCLUSION

There were significant differences in the bilateral Broca area and DLPFC between the COVID-19-infected and uninfected groups, which may be the reason why COVID-19 infection impairs cognitive function and language function and leads to psychiatric symptoms. In addition, the rsFC in patients with COVID-19 was positively correlated with the severity of depression and anxiety, which may be related to the fact that the mental symptoms of patients with COVID-19 are characterized by depression and anxiety, rather than depression or anxiety alone. Our study provides evidence that the psychological and emotional issues caused by COVID-19 are not only due to external social factors but also involve more direct brain neural mechanisms and abnormal neural circuits, which also provide insights into the future treatment and prognosis of individuals with COVID-19.

摘要

背景

许多2019冠状病毒病(COVID-19)患者可能会出现情绪问题和认知障碍。然而,尚不清楚大脑是否介导了COVID-19对精神病理症状出现的影响。焦虑和抑郁是由应激源还是病毒感染引起的仍不清楚。

目的

使用功能近红外光谱(fNIRS)检测COVID-19患者的皮质血流动力学变化及其与精神症状(主要是抑郁和焦虑)的关系,以研究COVID-19是否通过影响脑功能导致这些变化。

方法

共招募了58名受试者,包括29例首次急性COVID-19感染患者和29名未感染COVID-19且无焦虑或抑郁的健康对照者。然后通过53通道fNIRS评估言语流畅性测试(VFT)过程中的皮质激活以及静息状态(rs)下的脑连接性。对于COVID-19感染组,在进行fNIRS测量之前,使用患者健康问卷-9(PHQ-9)和广泛性焦虑障碍量表-7(GAD-7)评估情绪状态。

结果

在静息状态下,与未感染组相比,感染组在背外侧前额叶皮质(DLPFC)的静息态功能连接(FC)较低,这与PHQ评分和GAD评分均相关。在VFT期间,感染组在左侧布洛卡区和右侧布洛卡区的皮质激活均显著低于未感染组。此外,在感染组的VFT期间,DLPFC-L的积分值与PHQ-9评分呈显著负相关。

结论

COVID-19感染组和未感染组在双侧布洛卡区和DLPFC存在显著差异,这可能是COVID-19感染损害认知功能和语言功能并导致精神症状的原因。此外,COVID-19患者的静息态功能连接与抑郁和焦虑的严重程度呈正相关,这可能与COVID-19患者的精神症状以抑郁和焦虑为特征而非单独的抑郁或焦虑有关。我们的研究提供了证据,表明COVID-19引起的心理和情绪问题不仅归因于外部社会因素,还涉及更直接的脑神经机制和异常神经回路,这也为COVID-19患者的未来治疗和预后提供了见解。

https://cdn.ncbi.nlm.nih.gov/pmc/blobs/c0de/11886312/8de5b4128381/100112-g001.jpg

文献检索

告别复杂PubMed语法,用中文像聊天一样搜索,搜遍4000万医学文献。AI智能推荐,让科研检索更轻松。

立即免费搜索

文件翻译

保留排版,准确专业,支持PDF/Word/PPT等文件格式,支持 12+语言互译。

免费翻译文档

深度研究

AI帮你快速写综述,25分钟生成高质量综述,智能提取关键信息,辅助科研写作。

立即免费体验