• 文献检索
  • 文档翻译
  • 深度研究
  • 学术资讯
  • Suppr Zotero 插件Zotero 插件
  • 邀请有礼
  • 套餐&价格
  • 历史记录
应用&插件
Suppr Zotero 插件Zotero 插件浏览器插件Mac 客户端Windows 客户端微信小程序
定价
高级版会员购买积分包购买API积分包
服务
文献检索文档翻译深度研究API 文档MCP 服务
关于我们
关于 Suppr公司介绍联系我们用户协议隐私条款
关注我们

Suppr 超能文献

核心技术专利:CN118964589B侵权必究
粤ICP备2023148730 号-1Suppr @ 2026

文献检索

告别复杂PubMed语法,用中文像聊天一样搜索,搜遍4000万医学文献。AI智能推荐,让科研检索更轻松。

立即免费搜索

文件翻译

保留排版,准确专业,支持PDF/Word/PPT等文件格式,支持 12+语言互译。

免费翻译文档

深度研究

AI帮你快速写综述,25分钟生成高质量综述,智能提取关键信息,辅助科研写作。

立即免费体验

慢性淋巴细胞白血病中γδT细胞上细胞毒性相关受体的特征分析

Characterisation of Cytotoxicity-Related Receptors on γδ T Cells in Chronic Lymphocytic Leukaemia.

作者信息

Zarobkiewicz Michał, Lehman Natalia, Morawska-Michalska Izabela, Michalski Adam, Kowalska Wioleta, Szymańska Agata, Tomczak Waldemar, Bojarska-Junak Agnieszka

机构信息

Department of Clinical Immunology, Medical University of Lublin, 20-093 Lublin, Poland.

Department of Haematooncology and Bone Marrow Transplantation, Medical University of Lublin, 20-080 Lublin, Poland.

出版信息

Cells. 2025 Mar 18;14(6):451. doi: 10.3390/cells14060451.

DOI:10.3390/cells14060451
PMID:40136700
原文链接:https://pmc.ncbi.nlm.nih.gov/articles/PMC11941621/
Abstract

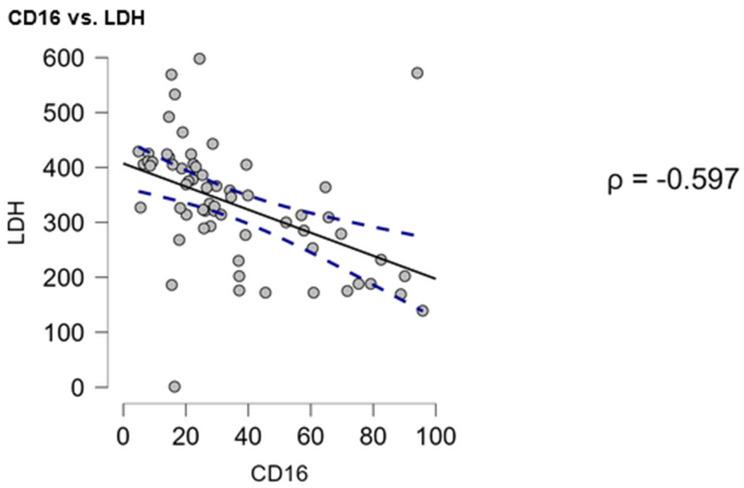
Chronic lymphocytic leukaemia (CLL) is a haematological malignancy primarily affecting older adults, characterised by the proliferation of functionally impaired B lymphocytes with abnormal expression of CD5, a typical T cell marker. The current study investigates the expression of cytotoxicity-related receptors (CD16, CD56, CD57, CD69) and a checkpoint (LAG-3) on γδ T cells in CLL patients. Sixty-nine treatment-naive CLL patients and fourteen healthy controls were recruited. Flow cytometry analysis revealed that the CLL patients had higher expressions of CD56 and LAG-3 and lower CD16 on their γδ T cells compared to the healthy controls. Subgroup analysis showed that ZAP-70-negative patients exhibited increased CD69, while CD38-negative patients showed higher CD16 expression. Additionally, CD16 expression was inversely correlated with serum LDH levels, a marker of disease progression. Bioinformatic analysis of the LAG-3 ligand mRNA in a CLL dataset indicated higher expression of and in patients with unmutated . Our findings highlight the altered expression of key cytotoxicity markers on γδ T cells in CLL, suggesting their potential role in disease progression and as a therapeutic target. In particular, the use of anti-LAG-3 antibodies seems promising.

摘要

慢性淋巴细胞白血病(CLL)是一种主要影响老年人的血液系统恶性肿瘤,其特征是功能受损的B淋巴细胞增殖,并异常表达典型的T细胞标志物CD5。本研究调查了CLL患者γδT细胞上细胞毒性相关受体(CD16、CD56、CD57、CD69)和一个检查点(LAG-3)的表达情况。招募了69例未经治疗的CLL患者和14名健康对照者。流式细胞术分析显示,与健康对照者相比,CLL患者γδT细胞上CD56和LAG-3的表达较高,而CD16的表达较低。亚组分析表明,ZAP-70阴性患者的CD69表达增加,而CD38阴性患者的CD16表达较高。此外,CD16表达与疾病进展标志物血清乳酸脱氢酶水平呈负相关。对一个CLL数据集的LAG-3配体mRNA进行生物信息学分析表明,未突变患者中 和 的表达较高。我们的研究结果突出了CLL患者γδT细胞上关键细胞毒性标志物表达的改变,表明它们在疾病进展中的潜在作用以及作为治疗靶点的可能性。特别是,使用抗LAG-3抗体似乎很有前景。

https://cdn.ncbi.nlm.nih.gov/pmc/blobs/ce1f/11941621/f223e2057436/cells-14-00451-g006.jpg
https://cdn.ncbi.nlm.nih.gov/pmc/blobs/ce1f/11941621/805b15e64e83/cells-14-00451-g001.jpg
https://cdn.ncbi.nlm.nih.gov/pmc/blobs/ce1f/11941621/ef1ca3a8a1ec/cells-14-00451-g002.jpg
https://cdn.ncbi.nlm.nih.gov/pmc/blobs/ce1f/11941621/f09cabd39706/cells-14-00451-g003.jpg
https://cdn.ncbi.nlm.nih.gov/pmc/blobs/ce1f/11941621/6c61a4746d1b/cells-14-00451-g004.jpg
https://cdn.ncbi.nlm.nih.gov/pmc/blobs/ce1f/11941621/e2ed4b1a2bc8/cells-14-00451-g005.jpg
https://cdn.ncbi.nlm.nih.gov/pmc/blobs/ce1f/11941621/f223e2057436/cells-14-00451-g006.jpg
https://cdn.ncbi.nlm.nih.gov/pmc/blobs/ce1f/11941621/805b15e64e83/cells-14-00451-g001.jpg
https://cdn.ncbi.nlm.nih.gov/pmc/blobs/ce1f/11941621/ef1ca3a8a1ec/cells-14-00451-g002.jpg
https://cdn.ncbi.nlm.nih.gov/pmc/blobs/ce1f/11941621/f09cabd39706/cells-14-00451-g003.jpg
https://cdn.ncbi.nlm.nih.gov/pmc/blobs/ce1f/11941621/6c61a4746d1b/cells-14-00451-g004.jpg
https://cdn.ncbi.nlm.nih.gov/pmc/blobs/ce1f/11941621/e2ed4b1a2bc8/cells-14-00451-g005.jpg
https://cdn.ncbi.nlm.nih.gov/pmc/blobs/ce1f/11941621/f223e2057436/cells-14-00451-g006.jpg

相似文献

1
Characterisation of Cytotoxicity-Related Receptors on γδ T Cells in Chronic Lymphocytic Leukaemia.慢性淋巴细胞白血病中γδT细胞上细胞毒性相关受体的特征分析
Cells. 2025 Mar 18;14(6):451. doi: 10.3390/cells14060451.
2
Expression of CD226 on γδ T cells is lower in advanced chronic lymphocytic leukemia and correlates with IgA, IgG and LDH levels.在晚期慢性淋巴细胞白血病中,γδ T细胞上CD226的表达较低,且与IgA、IgG和乳酸脱氢酶水平相关。
Adv Clin Exp Med. 2025 Jan;34(1):43-52. doi: 10.17219/acem/186335.
3
Relationship between the expression of CD25 and CD69 on the surface of lymphocytes T and B from peripheral blood and bone marrow of patients with chronic lymphocytic leukemia and established prognostic factors of this disease.慢性淋巴细胞白血病患者外周血和骨髓中T淋巴细胞和B淋巴细胞表面CD25和CD69的表达与该疾病既定预后因素之间的关系。
Adv Clin Exp Med. 2018 Jul;27(7):987-999. doi: 10.17219/acem/74437.
4
Lymphocyte Activation Gene 3 Expression, γδ T-Cell/Major Histocompatibility Complex Class I Interactions, and Prognosis in Merkel Cell Carcinoma.淋巴细胞激活基因3表达、γδ T细胞/主要组织相容性复合体I类相互作用与默克尔细胞癌的预后
Lab Invest. 2025 Jan;105(1):102178. doi: 10.1016/j.labinv.2024.102178. Epub 2024 Nov 5.
5
Natural killer-like T CD3+/CD16+CD56+ cells in chronic lymphocytic leukemia: intracellular cytokine expression and relationship with clinical outcome.慢性淋巴细胞白血病中 NK 样 T 细胞 CD3+/CD16+CD56+:细胞内细胞因子表达与临床结局的关系。
Oncol Rep. 2010 Sep;24(3):803-10. doi: 10.3892/or_00000924.
6
Expanded antigen-experienced CD160CD8effector T cells exhibit impaired effector functions in chronic lymphocytic leukemia.在慢性淋巴细胞白血病中,扩增的抗原经历 CD160CD8effector T 细胞表现出受损的效应功能。
J Immunother Cancer. 2021 Apr;9(4). doi: 10.1136/jitc-2020-002189.
7
Abnormal Expression of BTLA and CTLA-4 Immune Checkpoint Molecules in Chronic Lymphocytic Leukemia Patients.慢性淋巴细胞白血病患者中 BTLA 和 CTLA-4 免疫检查点分子的异常表达。
J Immunol Res. 2020 Jul 28;2020:6545921. doi: 10.1155/2020/6545921. eCollection 2020.
8
ZAP-70 expression identifies a chronic lymphocytic leukemia subtype with unmutated immunoglobulin genes, inferior clinical outcome, and distinct gene expression profile.ZAP-70表达可识别出一种慢性淋巴细胞白血病亚型,其免疫球蛋白基因未发生突变,临床预后较差,且具有独特的基因表达谱。
Blood. 2003 Jun 15;101(12):4944-51. doi: 10.1182/blood-2002-10-3306. Epub 2003 Feb 20.
9
T-cell CD38 expression in B-chronic lymphocytic leukaemia.B 细胞慢性淋巴细胞白血病中 T 细胞 CD38 的表达
Hematol Oncol. 2009 Jun;27(2):82-9. doi: 10.1002/hon.877.
10
Immunophenotypic and DNA genotypic analysis of T-cell and NK-cell subpopulations in patients with B-cell chronic lymphocytic leukaemia (B-CLL).B 细胞慢性淋巴细胞白血病(B-CLL)患者 T 细胞和 NK 细胞亚群的免疫表型及 DNA 基因型分析
Leuk Lymphoma. 1995 Jan;16(3-4):307-18. doi: 10.3109/10428199509049770.

本文引用的文献

1
Elotuzumab-mediated ADCC with Th1-like Vγ9Vδ2 T cells to disrupt myeloma-osteoclast interaction.埃罗妥珠单抗介导的抗体依赖细胞介导的细胞毒性作用(ADCC)与Th1样Vγ9Vδ2 T细胞共同作用,以破坏骨髓瘤-破骨细胞相互作用。
Cancer Sci. 2025 Feb;116(2):559-563. doi: 10.1111/cas.16401. Epub 2024 Nov 18.
2
CD69 Vδ1γδ T cells are anti-tumor subpopulations in hepatocellular carcinoma.CD69 Vδ1γδ T细胞是肝细胞癌中的抗肿瘤亚群。
Mol Immunol. 2024 Aug;172:76-84. doi: 10.1016/j.molimm.2024.06.006. Epub 2024 Jun 24.
3
Expression of CD226 on γδ T cells is lower in advanced chronic lymphocytic leukemia and correlates with IgA, IgG and LDH levels.
在晚期慢性淋巴细胞白血病中,γδ T细胞上CD226的表达较低,且与IgA、IgG和乳酸脱氢酶水平相关。
Adv Clin Exp Med. 2025 Jan;34(1):43-52. doi: 10.17219/acem/186335.
4
Tumor-infiltrating γδ T cells as targets of immune checkpoint blockade in melanoma.肿瘤浸润性γδ T细胞作为黑色素瘤免疫检查点阻断的靶点
J Leukoc Biol. 2024 Mar 29;115(4):760-770. doi: 10.1093/jleuko/qiae023.
5
Can Galectin-3 Be a Novel Biomarker in Chronic Lymphocytic Leukemia?Galectin-3 能否成为慢性淋巴细胞白血病的新型生物标志物?
Cells. 2023 Dec 22;13(1):30. doi: 10.3390/cells13010030.
6
Examining the impact of immunosuppressive drugs on antibody-dependent cellular cytotoxicity (ADCC) of human peripheral blood natural killer (NK) cells and gamma delta (γδ) T cells.检测免疫抑制剂对人外周血自然杀伤 (NK) 细胞和γδ (γδ) T 细胞抗体依赖细胞细胞毒性 (ADCC) 的影响。
Transpl Immunol. 2024 Feb;82:101962. doi: 10.1016/j.trim.2023.101962. Epub 2023 Nov 23.
7
Gamma delta T-cell-based immune checkpoint therapy: attractive candidate for antitumor treatment.基于γδ T 细胞的免疫检查点治疗:抗肿瘤治疗的有吸引力的候选药物。
Mol Cancer. 2023 Feb 15;22(1):31. doi: 10.1186/s12943-023-01722-0.
8
Transient 40 °C-shock potentiates cytotoxic responses of Vδ2 γδ T cell via HSP70 upregulation.短暂的40°C热休克通过上调热休克蛋白70(HSP70)增强Vδ2 γδ T细胞的细胞毒性反应。
Cancer Immunol Immunother. 2022 Oct;71(10):2391-2404. doi: 10.1007/s00262-022-03164-x. Epub 2022 Feb 23.
9
Characterization of Adaptive-like γδ T Cells in Ugandan Infants during Primary Cytomegalovirus Infection.乌干达婴儿原发性巨细胞病毒感染期间适应性样 γδ T 细胞的特征。
Viruses. 2021 Oct 3;13(10):1987. doi: 10.3390/v13101987.
10
Inhibiting the Unconventionals: Importance of Immune Checkpoint Receptors in γδ T, MAIT, and NKT Cells.抑制非常规细胞:免疫检查点受体在γδ T细胞、黏膜相关恒定T细胞和自然杀伤T细胞中的重要性
Cancers (Basel). 2021 Sep 16;13(18):4647. doi: 10.3390/cancers13184647.