Suppr超能文献

基于新型超声心动图的列线图的开发与验证,用于癌症患者心脏肿瘤的简化分类

Development and validation of a novel echocardiography-based nomogram for the streamlined classification of cardiac tumors in cancer patients.

作者信息

Bao Yuwei, Lu Chenyang, Yang Qun, Lu Shirui, Zhang Tianjiao, Tian Jie, Wu Dan, Kang Qingwen, Zhang Pengfei, Liu Yani

机构信息

Department of Medical Ultrasound, Tongji Hospital, Tongji Medical College, Huazhong University of Science and Technology, Wuhan, China.

Shandong National Applied Mathematics Center, School of Control Science and Engineering, Shandong University, Jinan, China.

出版信息

Quant Imaging Med Surg. 2025 Mar 3;15(3):1873-1887. doi: 10.21037/qims-24-1096. Epub 2025 Feb 11.

Abstract

BACKGROUND

Differentiating cardiac tumors is crucial for treatment planning, but the specificity of echocardiography as a first-line screening tool is limited. This study aimed to develop a streamlined classification model for cardiac tumors in cancer patients using echocardiographic data.

METHODS

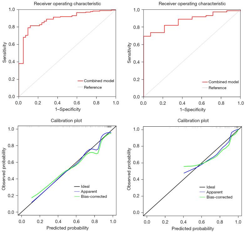
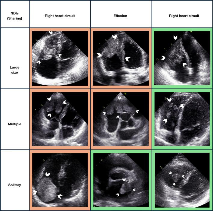
A total of 215 echocardiographic clips representing cardiac tumors from 121 patients with extracardiac malignancies were selected and divided into training and testing cohorts. The cardiac neoplasms were classified as benign or malignant based on substantial evidence. Radiomics features were extracted utilizing PyRadiomics, and a radiomics score (Rad-score) was subsequently computed through an optimized machine learning (ML) framework tailored for tumor classification. Non-experience-dependent indicators (NDIs) derived from baseline and echocardiographic assessments were ascertained and integrated with the Rad-score to construct a classification model. A composite nomogram was developed, and its predictive accuracy was benchmarked against that of junior and senior physicians using receiver operating characteristic (ROC) curves and decision curve analysis (DCA).

RESULTS

Significant differences in the Rad-scores and four NDIs [age, tumor location, and long and short diameters (SDs)] (all P<0.05) distinguished benign from malignant tumors. Patients with malignant cardiac tumors were more likely to be younger, for the tumor to be in the right cardiac circulatory system, be larger in size, and have a lower Rad-score. Among these indicators, the Rad-score, tumor location, and SD were shown to be independent predictors of malignancy. The integrated model demonstrated strong classification capability [area under the curve (AUC): 0.873; 95% confidence interval (CI): 0.820-0.914], which was substantiated in the test cohort (AUC: 0.861; 95% CI: 0.807-0.904). The classification performance of the generated nomogram was comparable to that of the senior doctor (AUC: 0.867 0.873, DeLong P=0.928) and surpassed that of the junior doctor (AUC: 0.867 0.669, DeLong P=0.029). DCA indicated that the nomogram was superior to the junior physician for classification tasks.

CONCLUSIONS

This study developed a nomogram that involved radiomics and objective indicators based on echocardiography to effectively distinguish between malignant and benign cardiac tumors, thereby improving classification practices and decision-making in diverse clinical settings.

摘要

背景

鉴别心脏肿瘤对于治疗方案的制定至关重要,但超声心动图作为一线筛查工具的特异性有限。本研究旨在利用超声心动图数据开发一种针对癌症患者心脏肿瘤的简化分类模型。

方法

从121例心外恶性肿瘤患者中选取215个代表心脏肿瘤的超声心动图片段,分为训练组和测试组。根据充分证据将心脏肿瘤分为良性或恶性。利用PyRadiomics提取影像组学特征,随后通过为肿瘤分类量身定制的优化机器学习(ML)框架计算影像组学评分(Rad-score)。确定从基线和超声心动图评估得出的非经验依赖指标(NDI),并将其与Rad-score整合以构建分类模型。绘制复合列线图,并使用受试者操作特征(ROC)曲线和决策曲线分析(DCA)将其预测准确性与初级和高级医生的预测准确性进行比较。

结果

Rad-score和四个NDI(年龄、肿瘤位置以及长短径)存在显著差异(均P<0.05),可区分良性和恶性肿瘤。患有恶性心脏肿瘤的患者更可能较年轻,肿瘤位于右心循环系统,体积更大,且Rad-score更低。在这些指标中,Rad-score、肿瘤位置和短径被证明是恶性肿瘤的独立预测因素。整合模型显示出强大的分类能力[曲线下面积(AUC):0.873;95%置信区间(CI):0.820 - 0.914],在测试组中得到证实(AUC:0.861;95%CI:0.807 - 0.904)。生成的列线图的分类性能与高级医生相当(AUC:0.867对0.873,DeLong P = 0.

https://cdn.ncbi.nlm.nih.gov/pmc/blobs/b5c8/11948372/1d5da6989607/qims-15-03-1873-f1.jpg

文献AI研究员

20分钟写一篇综述,助力文献阅读效率提升50倍。

立即体验

用中文搜PubMed

大模型驱动的PubMed中文搜索引擎

马上搜索

文档翻译

学术文献翻译模型,支持多种主流文档格式。

立即体验