Shipman Garrin Lee, Rosero David, van Heugten Eric
Department of Animal Science, North Carolina State University, Raleigh, NC, 27695, USA.
The Hanor Company, Inc., Enid, OK, 73701, USA.
J Anim Sci Biotechnol. 2025 Apr 10;16(1):55. doi: 10.1186/s40104-025-01192-y.
This study investigated the potential impacts of increasing linoleic and α-linolenic acid intake during lactation and wean-to-breeding on subsequent reproduction of sows. A total of 309 sows (PIC Camborough L42) were balanced by parity (140 and 169 sows representing parity 1 to 2 [P1-2] and 3 to 9 [P3+], respectively) and assigned within parity to a 2 × 2 factorial arrangement. Factors included essential fatty acid (EFA) supplementation (control diets containing 1.2% linoleic and 0.15% α-linolenic acid or diets with 3.0% linoleic and 0.38% α-linolenic acid) and supplementation period (lactation or wean-to-breeding). Tallow (low EFA diets) or soybean oil (high EFA diets) were included at 4% in sorghum-soybean meal-wheat middlings-based diets to attain targeted EFA levels.
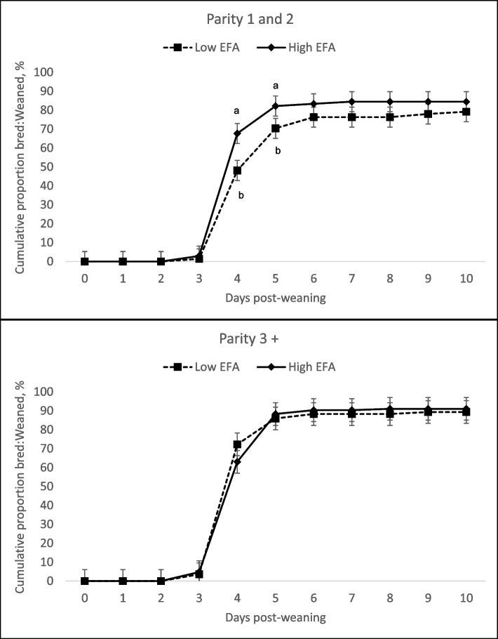
High levels of EFA fed during lactation had no effect on feed intake or litter performance, but increased subsequent farrowing rate (P = 0.027; 82.1% vs. 70.4%), tended to reduce the proportion of sows removed (P = 0.070; 12.4% vs. 20.8%), decreased the number of total pigs born in the following litter (P = 0.072; 15.3 vs. 16.2), and increased total pigs born alive per 100 sows weaned (P = 0.062; 1,122 vs. 974), regardless of sow parity. Young sows (P1-2) consuming the high EFA diet during lactation displayed a shorter wean-to-estrus interval (P = 0.035; 4.2 vs. 4.6), but P3+ sows were unaffected. Increasing EFA intake for P3+ sows, but not P1-2 sows, resulted in more sows bred by d 5 (P = 0.028; 91.1% vs. 81.7%) and more mummies in the subsequent litter (P = 0.040; 0.32 vs. 0.16). Feeding increased EFA to P1-2 sows during the wean-to-breeding period decreased subsequent farrowing rate (P = 0.042; 72.0% vs. 87.7%), and increased removal rate (P = 0.003; 28.8% vs. 9.4%). Total pigs born alive per 100 sows weaned was reduced (P = 0.007) in P1-2 sows when supplemented with EFA during wean-breeding (939 vs. 1,149) but was not impacted in P3+ sows (1,131 vs. 982).
Supplemental EFA in lactation diets benefited subsequent reproduction of sows, regardless of parity. Increasing dietary levels of EFA during the wean-to-breeding period to younger sows negatively impacted subsequent reproduction.
本研究调查了哺乳期及断奶至配种期间增加亚油酸和α-亚麻酸摄入量对母猪后续繁殖性能的潜在影响。总共309头母猪(PIC坎布罗L42)按胎次进行均衡分组(140头和169头母猪分别代表第1至2胎[P1 - 2]和第3至9胎[P3 +]),并在各胎次内采用2×2析因设计进行分配。因素包括必需脂肪酸(EFA)补充(对照日粮含1.2%亚油酸和0.15%α-亚麻酸,或日粮含3.0%亚油酸和0.38%α-亚麻酸)以及补充时期(哺乳期或断奶至配种期)。基于高粱-豆粕-小麦麸的日粮中添加4%的牛脂(低EFA日粮)或大豆油(高EFA日粮)以达到目标EFA水平。
哺乳期饲喂高水平EFA对采食量或窝性能无影响,但提高了后续产仔率(P = 0.027;82.1%对70.4%),有降低母猪淘汰比例趋势(P = 0.070;12.4%对20.8%),减少了下一窝的总产仔数(P = 0.072;15.3对16.2),并增加了每100头断奶母猪的活产总仔数(P = 0.062;1122对974),与母猪胎次无关。哺乳期采食高EFA日粮的年轻母猪(P1 - 2)断奶至发情间隔缩短(P = 0.035;4.2对4.6),但P3 +母猪不受影响。P3 +母猪而非P1 - 2母猪增加EFA摄入量,使更多母猪在第5天配种(P = 0.028;91.1%对81.7%),且下一窝木乃伊胎增多(P = 0.040;0.32对0.16)。断奶至配种期给P1 - 2母猪增加EFA饲喂量会降低后续产仔率(P = 0.042;72.0%对87.7%),并提高淘汰率(P = 0.003;28.8%对9.4%)。断奶至配种期给P1 - 2母猪补充EFA时,每100头断奶母猪的活产总仔数减少(P = 0.007)(939对1149),但对P3 +母猪无影响(1131对982)。
哺乳期日粮中补充EFA对母猪后续繁殖性能有益,与胎次无关。断奶至配种期给年轻母猪增加日粮中EFA水平会对后续繁殖产生负面影响。