Suppr超能文献

引力波的电磁后续观测:综述与经验教训

Electromagnetic follow-up of gravitational waves: review and lessons learned.

作者信息

Nicholl Matt, Andreoni Igor

机构信息

Queen's University Belfast, Belfast, UK.

University of Maryland at College Park, College Park, MD, USA.

出版信息

Philos Trans A Math Phys Eng Sci. 2025 Apr 10;383(2294):20240126. doi: 10.1098/rsta.2024.0126.

Abstract

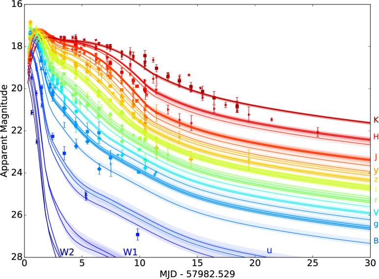
The detection of gravitational waves (GWs) has provided a new tool to study the Universe, with the scientific return enriched when combined with established probes: electromagnetic (EM) radiation and energetic particles. Since the groundbreaking detection in 2017 of merging neutron stars producing GW emission, a gamma-ray burst and an optical 'kilonova', the field has grown rapidly. At present, no additional neutron star mergers have been jointly detected in GW and EM radiation, but with upgrades in EM and GW facilities now is a chance to take stock of almost a decade of observations. We discuss the motivations for following up GW sources and the basic challenges of searching large areas for a rapidly evolving EM signal. We examine how the kilonova counterpart to GW170817 was discovered and the association confirmed, and outline some of the key physics enabled by this discovery. We then review the status of EM searches since 2017, highlighting areas where more information (in GW alerts or catalogs) can improve efficiency, and discuss what we have learned about kilonovae despite the lack of further multi-messenger detections. We discuss upcoming facilities and the many lessons learned, considering also how these could inform searches for lensed mergers.This article is part of the Theo Murphy meeting issue 'Multi-messenger gravitational lensing (Part 1)'.

摘要

引力波(GWs)的探测为研究宇宙提供了一种新工具,当与现有的探测手段:电磁(EM)辐射和高能粒子相结合时,其科学回报会更加丰富。自2017年首次探测到合并的中子星产生引力波辐射、伽马射线暴和光学“千新星”以来,该领域发展迅速。目前,尚未在引力波和电磁辐射中联合探测到其他中子星合并事件,但随着电磁和引力波设施的升级,现在有机会对近十年的观测进行总结。我们讨论了追踪引力波源的动机以及在大面积区域搜索快速演化的电磁信号的基本挑战。我们研究了GW170817的千新星对应体是如何被发现并确认其关联的,并概述了这一发现所揭示的一些关键物理学原理。然后,我们回顾了自2017年以来电磁搜索的现状,强调了更多信息(在引力波警报或目录中)可以提高效率的领域,并讨论了尽管缺乏进一步的多信使探测,我们对千新星的了解。我们讨论了即将启用的设施以及所吸取的诸多经验教训,同时也考虑了这些经验教训如何为透镜化合并事件的搜索提供参考。本文是西奥·墨菲会议特刊“多信使引力透镜(第一部分)”的一部分。

https://cdn.ncbi.nlm.nih.gov/pmc/blobs/bb06/11982929/80edc5cc3722/rsta.2024.0126.f001.jpg

文献AI研究员

20分钟写一篇综述,助力文献阅读效率提升50倍。

立即体验

用中文搜PubMed

大模型驱动的PubMed中文搜索引擎

马上搜索

文档翻译

学术文献翻译模型,支持多种主流文档格式。

立即体验