Suppr超能文献

数字健康干预对糖尿病成人流感疫苗接种意识的影响:实用随机随访研究

Digital Health Intervention on Awareness of Vaccination Against Influenza Among Adults With Diabetes: Pragmatic Randomized Follow-Up Study.

作者信息

Fundoiano-Hershcovitz Yifat, Lee Felix, Stanger Catherine, Breuer Asher Inbar, Horwitz David L, Manejwala Omar, Liska Jan, Kerr David

机构信息

Dario Health, Caesarea, Israel.

Sanofi, Bridgewater, NJ, United States.

出版信息

J Med Internet Res. 2025 Apr 10;27:e68936. doi: 10.2196/68936.

Abstract

BACKGROUND

Diabetes mellitus significantly increases the risk of severe complications from influenza, necessitating targeted vaccination efforts. Despite vaccination being the most effective preventive measure, coverage remains below the World Health Organization's targets, partly due to limited awareness among patients. This study evaluated a digital health intervention aimed at improving influenza vaccination rates among adults with diabetes.

OBJECTIVE

This study aimed to demonstrate the effectiveness of digital health platforms in increasing vaccination rates among people with diabetes and to emphasize the impact of tailored messaging frequency on patient engagement and health behavior change. We hypothesized that digital tools providing empirical evidence of increased health risk awareness can effectively drive preventive actions.

METHODS

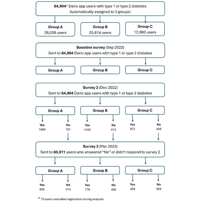
The study leveraged the Dario (Dario Health Corp) digital health platform to retrospectively analyze data from 64,904 users with diabetes assigned by the platform into three groups: (1) Group A received previously studied monthly flu nudge messages; (2) Group B received an adapted intervention with 2-3 monthly messages; (3) Group C served as the control with no intervention. Surveys were conducted at baseline, 3 months, and 6 months to assess vaccination status, awareness of influenza risks, and recollection of educational content. Statistical analyses, including logistic regression, chi-square tests, and t tests, were used to evaluate differences between groups.

RESULTS

Out of 64,904 users, 8431 completed the surveys. Vaccination rates were 71.0% in group A, 71.9% in group B, and 70.5% in group C. Group B showed significantly higher awareness of influenza risks compared with the control group odds ratio (OR; OR 1.35, 95% CI 1.12-1.63; P=.001), while group A did not (OR 1.10, 95% CI 0.92-1.32; P=.27). Recollection of educational content was also higher in groups A (OR 1.29, 95% CI 1.07-1.56; P=.008) and B (OR 1.92, 95% CI 1.59-2.33; P<.001) compared with the control. In addition, a significant correlation between awareness and vaccination rates was found only in group B (χ(df=1)=6.12, P=.01).

CONCLUSIONS

The adapted digital intervention (group B) effectively increased awareness of influenza risks and recollection of educational content, which correlated with the higher trend in vaccination rates. This study demonstrates the potential of digital health tools to enhance influenza vaccination among people with diabetes by improving risk awareness and education. Further research should focus on optimizing these interventions to achieve significant improvements in vaccination uptake and overall public health outcomes.

TRIAL REGISTRATION

ClinicalTrials.gov NCT06840236; https://clinicaltrials.gov/study/NCT06840236.

摘要

背景

糖尿病显著增加了流感引发严重并发症的风险,因此需要有针对性的疫苗接种工作。尽管接种疫苗是最有效的预防措施,但其覆盖率仍低于世界卫生组织的目标,部分原因是患者的认知有限。本研究评估了一项旨在提高糖尿病成年患者流感疫苗接种率的数字健康干预措施。

目的

本研究旨在证明数字健康平台在提高糖尿病患者疫苗接种率方面的有效性,并强调定制化信息推送频率对患者参与度和健康行为改变的影响。我们假设,提供健康风险意识提高的实证证据的数字工具能够有效推动预防行动。

方法

该研究利用Dario(Dario Health Corp)数字健康平台,对平台分配的64904名糖尿病用户的数据进行回顾性分析,将其分为三组:(1)A组每月收到之前研究过的流感提醒信息;(2)B组接受调整后的干预措施,每月接收2至3条信息;(3)C组作为对照组,不接受任何干预。在基线、3个月和6个月时进行调查,以评估疫苗接种状况、流感风险认知以及对教育内容的记忆。使用包括逻辑回归、卡方检验和t检验在内的统计分析方法来评估组间差异。

结果

在64904名用户中,8431人完成了调查。A组的疫苗接种率为71.0%,B组为71.9%,C组为70.5%。与对照组相比,B组对流感风险的认知显著更高(优势比[OR];OR 1.35,95%置信区间[CI] 1.12 - 1.63;P = 0.001),而A组则没有(OR 1.10,95% CI 0.92 - 1.32;P = 0.27)。与对照组相比,A组(OR 1.29,95% CI 1.07 - 1.56;P = 0.008)和B组(OR 1.92,95% CI 1.59 - 2.33;P < 0.001)对教育内容的记忆也更高。此外,仅在B组中发现认知与疫苗接种率之间存在显著相关性(χ(自由度 = 1)= 6.12,P = 0.01)。

结论

调整后的数字干预措施(B组)有效提高了对流感风险的认知以及对教育内容的记忆,这与疫苗接种率的较高趋势相关。本研究证明了数字健康工具通过提高风险认知和教育来增强糖尿病患者流感疫苗接种的潜力。进一步的研究应侧重于优化这些干预措施,以在疫苗接种率和整体公共卫生结果方面实现显著改善。

试验注册

ClinicalTrials.gov NCT06840236;https://clinicaltrials.gov/study/NCT06840236

https://cdn.ncbi.nlm.nih.gov/pmc/blobs/efd9/12022521/7c156ea782e8/jmir_v27i1e68936_fig1.jpg

文献AI研究员

20分钟写一篇综述,助力文献阅读效率提升50倍。

立即体验

用中文搜PubMed

大模型驱动的PubMed中文搜索引擎

马上搜索

文档翻译

学术文献翻译模型,支持多种主流文档格式。

立即体验