• 文献检索
  • 文档翻译
  • 深度研究
  • 学术资讯
  • Suppr Zotero 插件Zotero 插件
  • 邀请有礼
  • 套餐&价格
  • 历史记录
应用&插件
Suppr Zotero 插件Zotero 插件浏览器插件Mac 客户端Windows 客户端微信小程序
定价
高级版会员购买积分包购买API积分包
服务
文献检索文档翻译深度研究API 文档MCP 服务
关于我们
关于 Suppr公司介绍联系我们用户协议隐私条款
关注我们

Suppr 超能文献

核心技术专利:CN118964589B侵权必究
粤ICP备2023148730 号-1Suppr @ 2026

文献检索

告别复杂PubMed语法,用中文像聊天一样搜索,搜遍4000万医学文献。AI智能推荐,让科研检索更轻松。

立即免费搜索

文件翻译

保留排版,准确专业,支持PDF/Word/PPT等文件格式,支持 12+语言互译。

免费翻译文档

深度研究

AI帮你快速写综述,25分钟生成高质量综述,智能提取关键信息,辅助科研写作。

立即免费体验

“线上模拟-床边”三步教学法在急诊科及重症监护护理实习生团队心肺复苏技能培训中的效果——基于柯克帕特里克模型的分析

The Effect of "Online-Simulation-Bedside" Three-Step Teaching Method in Team Cardiopulmonary Resuscitation Skills Training of Emergency Department and Critical Care Nursing Interns-An Analysis Based on Kirkpatrick Model.

作者信息

Liu Huan, Huang Hui, Li Miaoya, Mao Ping, Zhang Aidi, Sun Yanting, Liu Zhaoxun, Tao Hong, Zhao Sha, Xia Yuting, Zhou Jiandang, Liu Jinxin

机构信息

Nursing Department, The Third Xiangya Hospital, Central South University, Changsha, Hunan, China.

Xiangya Nursing School, Central South University, Changsha, Hunan, China.

出版信息

J Nurs Manag. 2025 Feb 24;2025:8624274. doi: 10.1155/jonm/8624274. eCollection 2025.

DOI:10.1155/jonm/8624274
PMID:40223890
原文链接:https://pmc.ncbi.nlm.nih.gov/articles/PMC11985234/
Abstract

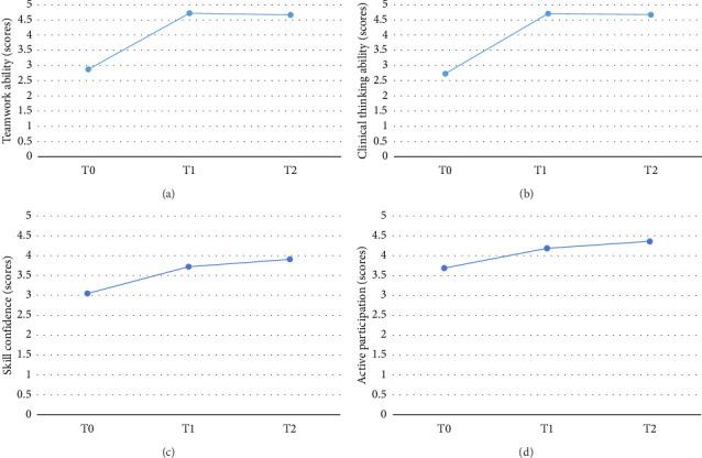
This study designed a three-step teaching method of "online-simulation-bedside," which was applied to the teaching of cardiopulmonary resuscitation skills in the team of emergency and critical care nursing interns, and the effectiveness of this teaching method was evaluated using the Kirkpatrick model. Mastering knowledge of cardiopulmonary resuscitation and emergency techniques is necessary for nursing interns to fulfill their roles. At present, the first aid awareness and rescue skills of nursing interns are not optimistic. Training programs can improve the cardiopulmonary resuscitation ability of nursing students, but most of them only evaluate the changes in cardiopulmonary resuscitation ability before and after training and rarely use educational evaluation theories and models to evaluate the effectiveness of cardiopulmonary resuscitation training research. This is a quasi-experimental research design: pretest and posttest design. Our research focuses on nursing interns who interned in the emergency and critical care departments of a hospital from September 2023 to January 2024. Adopting the three-step teaching method of "online-simulation-bedside", provide team cardiopulmonary resuscitation skills training for emergency and critical care nursing interns. The four levels of Kirkpatrick's model, that is, reaction, learning, behavior, and result, were applied for the evaluation together with questionnaires. Conduct a baseline survey before online learning. Evaluate team working ability, clinical thinking ability, confidence in skills, and active participation on the first day after simulated training and the 30th day of clinical practice. On the 30th day of clinical practice, satisfaction and skill level assessments will also be conducted. At the reaction level, the satisfaction rate of nursing interns is 98.80%. At the learning level, there was a statistically significant difference ( < 0.001) in the team work ability and clinical thinking ability of nursing interns before training, on the first day after training, and on the 30th day of clinical practice. At the behavioral level, there was a statistically significant difference ( < 0.001) in the skill confidence and participation initiative of nursing interns before training, on the first day after training, and on the 30th day of clinical practice. At the result level, on the 30th day of clinical practice, the nursing intern team's cardiopulmonary resuscitation skills assessment scores were all good or above, with an average score of 90.09 ± 1.58. The Kirkpatrick model can be used to evaluate the effectiveness of cardiopulmonary resuscitation skills training for nursing intern teams. Nursing interns are highly satisfied with the "online-simulation-bedside" three-step teaching method, which can improve their teamwork ability, clinical thinking ability, active participation, and skill confidence. In addition, through training, students can effectively apply the learned content to clinical practice and possess a good level of skills. Managers can develop a distinctive team cardiopulmonary resuscitation training model based on this, improve the team cardiopulmonary resuscitation skills of nursing interns, and cultivate more nursing talents with high-level emergency capabilities for hospitals.

摘要

本研究设计了一种“线上-模拟-床边”三步教学法,并将其应用于急危重症护理实习生团队的心肺复苏技能教学中,采用柯克帕特里克模型对该教学方法的效果进行评估。掌握心肺复苏知识和急救技术是护理实习生履行职责的必要条件。目前,护理实习生的急救意识和救援技能不容乐观。培训项目可以提高护生的心肺复苏能力,但大多数项目仅评估培训前后心肺复苏能力的变化,很少使用教育评价理论和模型来评估心肺复苏培训研究的效果。这是一项准实验研究设计:前测和后测设计。我们的研究聚焦于2023年9月至2024年1月在某医院急危重症科室实习的护理实习生。采用“线上-模拟-床边”三步教学法,为急危重症护理实习生提供团队心肺复苏技能培训。运用柯克帕特里克模型的四个层次,即反应、学习、行为和结果,结合问卷进行评估。在在线学习前进行基线调查。在模拟培训后第一天和临床实习第30天评估团队协作能力、临床思维能力、技能信心和积极参与度。在临床实习第30天,还将进行满意度和技能水平评估。在反应层面,护理实习生的满意度为98.80%。在学习层面,护理实习生在培训前、培训后第一天和临床实习第30天的团队协作能力和临床思维能力存在统计学显著差异(<0.001)。在行为层面,护理实习生在培训前、培训后第一天和临床实习第30天的技能信心和参与主动性存在统计学显著差异(<0.001)。在结果层面,在临床实习第30天,护理实习生团队的心肺复苏技能评估得分均为良好及以上,平均分为90.09±1.58。柯克帕特里克模型可用于评估护理实习生团队心肺复苏技能培训的效果。护理实习生对“线上-模拟-床边”三步教学法高度满意,该方法可提高他们的团队协作能力、临床思维能力、积极参与度和技能信心。此外,通过培训,学生能够有效地将所学内容应用于临床实践,并具备良好的技能水平。管理者可据此开发独特的团队心肺复苏培训模式,提高护理实习生的团队心肺复苏技能,为医院培养更多具有高水平急救能力的护理人才。

https://cdn.ncbi.nlm.nih.gov/pmc/blobs/6f3d/11985234/9af018a690fd/JONM2025-8624274.002.jpg
https://cdn.ncbi.nlm.nih.gov/pmc/blobs/6f3d/11985234/bf0dec0314be/JONM2025-8624274.001.jpg
https://cdn.ncbi.nlm.nih.gov/pmc/blobs/6f3d/11985234/9af018a690fd/JONM2025-8624274.002.jpg
https://cdn.ncbi.nlm.nih.gov/pmc/blobs/6f3d/11985234/bf0dec0314be/JONM2025-8624274.001.jpg
https://cdn.ncbi.nlm.nih.gov/pmc/blobs/6f3d/11985234/9af018a690fd/JONM2025-8624274.002.jpg

相似文献

1
The Effect of "Online-Simulation-Bedside" Three-Step Teaching Method in Team Cardiopulmonary Resuscitation Skills Training of Emergency Department and Critical Care Nursing Interns-An Analysis Based on Kirkpatrick Model.“线上模拟-床边”三步教学法在急诊科及重症监护护理实习生团队心肺复苏技能培训中的效果——基于柯克帕特里克模型的分析
J Nurs Manag. 2025 Feb 24;2025:8624274. doi: 10.1155/jonm/8624274. eCollection 2025.
2
Effectiveness of simulation-based cardiopulmonary resuscitation training programs on fourth-year nursing students.基于模拟的心肺复苏培训计划对四年级护理专业学生的效果。
Australas Emerg Care. 2021 Mar;24(1):4-10. doi: 10.1016/j.auec.2020.08.005. Epub 2020 Sep 12.
3
Enhancing residents' neonatal resuscitation competency through team-based simulation training: an intervention educational study.通过基于团队的模拟培训提高住院医师新生儿复苏能力:一项干预性教育研究。
BMC Med Educ. 2023 Oct 10;23(1):743. doi: 10.1186/s12909-023-04704-4.
4
A Study on the Role of Intelligent Medical Simulation Systems in Teaching First Aid Competence in Anesthesiology.智能医学模拟系统在麻醉学急救能力教学中的作用研究。
J Healthc Eng. 2022 Apr 21;2022:8163546. doi: 10.1155/2022/8163546. eCollection 2022.
5
Standardised simulation-based emergency and intensive care nursing curriculum to improve nursing students' performance during simulated resuscitation: A quasi-experimental study.基于标准化模拟的急诊和重症监护护理课程,以提高护理学生在模拟复苏中的表现:一项准实验研究。
Intensive Crit Care Nurs. 2018 Jun;46:51-56. doi: 10.1016/j.iccn.2018.02.003. Epub 2018 Mar 15.
6
Achieving house staff competence in emergency airway management: results of a teaching program using a computerized patient simulator.住院医师在紧急气道管理方面达到胜任水平:使用计算机化病人模拟器的教学项目结果
Crit Care Med. 2004 Dec;32(12):2422-7. doi: 10.1097/01.ccm.0000147768.42813.a2.
7
A review of simulation-enhanced, team-based cardiopulmonary resuscitation training for undergraduate students.针对本科生的模拟强化、团队心肺复苏培训综述。
Nurse Educ Pract. 2017 Nov;27:134-143. doi: 10.1016/j.nepr.2017.08.023. Epub 2017 Sep 4.
8
Enhancing Cardiopulmonary Resuscitation Training: An Interprofessional Approach With Undergraduate Medicine and Nursing Students Using Self-Learning Methodology in Simulated Environments (MAES)-A Qualitative Study.加强心肺复苏培训:一项针对本科医学和护理专业学生在模拟环境中采用自我学习方法的跨专业研究(MAES)——一项定性研究。
J Nurs Manag. 2024 Dec 19;2024:9470402. doi: 10.1155/jonm/9470402. eCollection 2024.
9
Evaluation of acquisition and retention of non-technical skills of residents submitted to interprofessional simulation-based training in pediatric cardiopulmonary resuscitation.对接受儿科心肺复苏跨专业模拟培训的住院医师非技术技能的获取与保持情况的评估。
J Pediatr (Rio J). 2025 May-Jun;101(3):394-399. doi: 10.1016/j.jped.2024.12.003. Epub 2025 Feb 26.
10
A novel bedside cardiopulmonary physical diagnosis curriculum for internal medicine postgraduate training.内科研究生培训中新的心肺物理诊断床边课程。
BMC Med Educ. 2017 Oct 6;17(1):182. doi: 10.1186/s12909-017-1020-2.

本文引用的文献

1
Maintenance of CPR skills among nursing students trained using Resuscitation Quality Improvement® program.接受过“复苏质量改进”计划培训的护生心肺复苏技能的维持情况。
Resusc Plus. 2024 Sep 18;20:100782. doi: 10.1016/j.resplu.2024.100782. eCollection 2024 Dec.
2
Evaluation of the Handover Training Program Given to Nursing Students Using the Kirkpatrick Model: A Quasi-Experimental Observational Study.基于柯克帕特里克模型评价护理学生的交接培训计划:一项准实验观察性研究。
West J Nurs Res. 2024 Sep;46(9):655-663. doi: 10.1177/01939459241271348. Epub 2024 Aug 12.
3
Are virtual reality intravenous injection training programs effective for nurses and nursing students? A systematic review.
虚拟现实静脉注射培训计划对护士和护理学生有效吗?系统评价。
Nurse Educ Today. 2024 Aug;139:106208. doi: 10.1016/j.nedt.2024.106208. Epub 2024 Apr 11.
4
Twelve tips for orienting preclinical healthcare students to simulation education.临床前医疗学生适应模拟教育的 12 个技巧。
Med Teach. 2024 Oct;46(10):1291-1295. doi: 10.1080/0142159X.2024.2323176. Epub 2024 Mar 13.
5
Outcomes of scenario-based simulation courses in nursing education: A systematic review and meta-analysis.基于情景模拟的护理教育课程的效果:系统评价和荟萃分析。
Nurse Educ Today. 2024 May;136:106145. doi: 10.1016/j.nedt.2024.106145. Epub 2024 Feb 24.
6
Effectiveness of simulation-based paediatric cardiopulmonary resuscitation training program among nursing students in Saudi Arabia.沙特阿拉伯护理专业学生基于模拟的小儿心肺复苏培训计划的效果。
Afr J Reprod Health. 2024 Feb 28;28(1):39-52. doi: 10.29063/ajrh2024/v28i1.5.
7
Effectiveness of a Short Refresher Course on the Retention of Cardiopulmonary Resuscitation-Related Psychomotor Skills (REF-CPR).短期复习课程对心肺复苏相关操作技能(REF-CPR)保持效果的研究
Oman Med J. 2023 May 31;38(3):e509. doi: 10.5001/omj.2023.80. eCollection 2023 May.
8
Simulation-based learning in nursing curriculum- time to prepare quality nurses: A systematic review and meta-analysis.护理课程中基于模拟的学习——培养高素质护士的时机:一项系统评价与荟萃分析
Heliyon. 2023 May 2;9(5):e16014. doi: 10.1016/j.heliyon.2023.e16014. eCollection 2023 May.
9
Measuring Nursing Student Development Through Computer-Based Simulation Activities.通过基于计算机的模拟活动衡量护生发展
Nurse Educ. 2023;48(6):298-303. doi: 10.1097/NNE.0000000000001423. Epub 2023 Apr 10.
10
Experiences of simulation-based learning among undergraduate nursing students: A systematic review and meta-synthesis.本科护生基于模拟的学习体验:系统评价和元综合。
Nurse Educ Today. 2023 Feb;121:105711. doi: 10.1016/j.nedt.2023.105711. Epub 2023 Jan 6.