• 文献检索
  • 文档翻译
  • 深度研究
  • 学术资讯
  • Suppr Zotero 插件Zotero 插件
  • 邀请有礼
  • 套餐&价格
  • 历史记录
应用&插件
Suppr Zotero 插件Zotero 插件浏览器插件Mac 客户端Windows 客户端微信小程序
定价
高级版会员购买积分包购买API积分包
服务
文献检索文档翻译深度研究API 文档MCP 服务
关于我们
关于 Suppr公司介绍联系我们用户协议隐私条款
关注我们

Suppr 超能文献

核心技术专利:CN118964589B侵权必究
粤ICP备2023148730 号-1Suppr @ 2026

文献检索

告别复杂PubMed语法,用中文像聊天一样搜索,搜遍4000万医学文献。AI智能推荐,让科研检索更轻松。

立即免费搜索

文件翻译

保留排版,准确专业,支持PDF/Word/PPT等文件格式,支持 12+语言互译。

免费翻译文档

深度研究

AI帮你快速写综述,25分钟生成高质量综述,智能提取关键信息,辅助科研写作。

立即免费体验

高海拔地区危重症通气患者撤机失败的列线图:一项使用套索逻辑回归的单中心队列研究

A Nomogram of Weaning Failure for Critical Ventilated Patients in High-Altitude Areas: A Single-Center Cohort Study Using Lasso Logistic Regression.

作者信息

Wang Bin, Cheng Li, Lin GuoYing, Yang Ci, Zhao HuiYing

机构信息

Department of Critical Care Medicine, Peking University People's Hospital, Beijing, China.

Department of Intensive Care Medicine, Xizang Autonomous Region People's Hospital, Lhasa, Tibet, China.

出版信息

Anesthesiol Res Pract. 2025 Mar 11;2025:9934525. doi: 10.1155/anrp/9934525. eCollection 2025.

DOI:10.1155/anrp/9934525
PMID:40225039
原文链接:https://pmc.ncbi.nlm.nih.gov/articles/PMC11991831/
Abstract

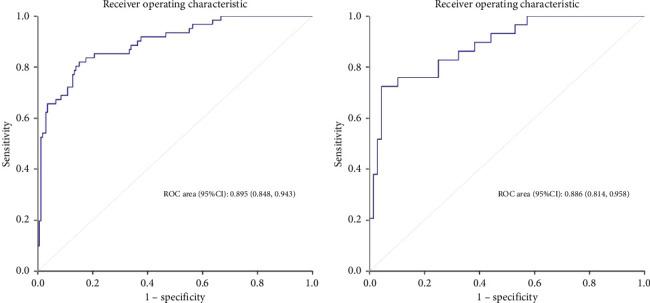
This study aimed to develop a predictive model for weaning failure in critically ill patients at high altitudes. Data of patients requiring invasive mechanical ventilation admitted to the Department of Intensive Care Medicine of Xizang Autonomous Region People's Hospital from January 1, 2023, to November 31, 2023, were retrospectively collected as the train set. The patients were weaned according to the conventional clinical strategy and divided into successful and failed weaning groups. Univariate analysis was performed between the weaning success and weaning failure groups. Indicators with inter-group differences were included in the Lasso regression for further screening and then included in the multivariate logistic regression analysis to establish independent risk factors. Subsequently, a nomogram prediction model was constructed. Data of patients from December 1, 2023, to April 30, 2024, were retrospectively collected as a validation set to verify the prediction model. A total of 226 patients were included in the train set, of which 61 (27.0%) had weaning failure. The length of intensive care unit stay, mechanical ventilation time, mortality, and medical costs of patients in the weaning failure group were higher than those in the success group. After univariate comparison and Lasso regression, hypertension, lower serum albumin, sequential organ failure assessment (SOFA) score, tidal volume, and respiratory rate were identified as independent risk factors for weaning failure. The area under the receiver operating characteristic curve was 0.895 (95% confidence interval (CI): 0.848-0.943) in the training set and 0.886 (95% CI: 0.814-0.958) in the validation set. Hypertension, lower serum albumin, higher SOFA scores, smaller tidal volumes, and faster respiratory rates were independent risk factors for weaning failure in critically ill patients living in high-altitude areas. A prediction model for weaning failure was constructed, and it showed good prediction efficiency after verification.

摘要

本研究旨在建立一种针对高原地区危重症患者撤机失败的预测模型。回顾性收集2023年1月1日至2023年11月31日在西藏自治区人民医院重症医学科接受有创机械通气治疗患者的数据作为训练集。患者按照传统临床策略进行撤机,并分为撤机成功组和撤机失败组。对撤机成功组和撤机失败组进行单因素分析。将组间有差异的指标纳入Lasso回归进行进一步筛选,然后纳入多因素logistic回归分析以确定独立危险因素。随后,构建列线图预测模型。回顾性收集2023年12月1日至2024年4月30日患者的数据作为验证集,以验证该预测模型。训练集共纳入226例患者,其中61例(27.0%)撤机失败。撤机失败组患者的重症监护病房住院时间、机械通气时间、死亡率和医疗费用均高于成功组。经过单因素比较和Lasso回归分析,高血压、血清白蛋白降低、序贯器官衰竭评估(SOFA)评分、潮气量和呼吸频率被确定为撤机失败的独立危险因素。训练集受试者工作特征曲线下面积为0.895(95%置信区间(CI):0.848 - 0.943),验证集为0.886(95%CI:0.814 - 0.958)。高血压、血清白蛋白降低、SOFA评分升高、潮气量减小和呼吸频率加快是高原地区危重症患者撤机失败的独立危险因素。构建了撤机失败的预测模型,验证后显示出良好的预测效能。

https://cdn.ncbi.nlm.nih.gov/pmc/blobs/bec7/11991831/c26c66abfcfa/ARP2025-9934525.006.jpg
https://cdn.ncbi.nlm.nih.gov/pmc/blobs/bec7/11991831/dd00715b9726/ARP2025-9934525.001.jpg
https://cdn.ncbi.nlm.nih.gov/pmc/blobs/bec7/11991831/82cd08aab07c/ARP2025-9934525.002.jpg
https://cdn.ncbi.nlm.nih.gov/pmc/blobs/bec7/11991831/03e629a88ffc/ARP2025-9934525.003.jpg
https://cdn.ncbi.nlm.nih.gov/pmc/blobs/bec7/11991831/5f2b38d8fa03/ARP2025-9934525.004.jpg
https://cdn.ncbi.nlm.nih.gov/pmc/blobs/bec7/11991831/d9606107ec96/ARP2025-9934525.005.jpg
https://cdn.ncbi.nlm.nih.gov/pmc/blobs/bec7/11991831/c26c66abfcfa/ARP2025-9934525.006.jpg
https://cdn.ncbi.nlm.nih.gov/pmc/blobs/bec7/11991831/dd00715b9726/ARP2025-9934525.001.jpg
https://cdn.ncbi.nlm.nih.gov/pmc/blobs/bec7/11991831/82cd08aab07c/ARP2025-9934525.002.jpg
https://cdn.ncbi.nlm.nih.gov/pmc/blobs/bec7/11991831/03e629a88ffc/ARP2025-9934525.003.jpg
https://cdn.ncbi.nlm.nih.gov/pmc/blobs/bec7/11991831/5f2b38d8fa03/ARP2025-9934525.004.jpg
https://cdn.ncbi.nlm.nih.gov/pmc/blobs/bec7/11991831/d9606107ec96/ARP2025-9934525.005.jpg
https://cdn.ncbi.nlm.nih.gov/pmc/blobs/bec7/11991831/c26c66abfcfa/ARP2025-9934525.006.jpg

相似文献

1
A Nomogram of Weaning Failure for Critical Ventilated Patients in High-Altitude Areas: A Single-Center Cohort Study Using Lasso Logistic Regression.高海拔地区危重症通气患者撤机失败的列线图:一项使用套索逻辑回归的单中心队列研究
Anesthesiol Res Pract. 2025 Mar 11;2025:9934525. doi: 10.1155/anrp/9934525. eCollection 2025.
2
[Development and validation of a mechanical power-oriented nomogram model for predicting the risk of weaning failure in mechanically ventilated patients: an analysis using the data from MIMIC-IV].[用于预测机械通气患者撤机失败风险的机械功率导向列线图模型的开发与验证:一项使用MIMIC-IV数据的分析]
Zhonghua Wei Zhong Bing Ji Jiu Yi Xue. 2023 Jul;35(7):707-713. doi: 10.3760/cma.j.cn121430-20221115-00997.
3
[Correlation analysis between mechanical power normalized to dynamic lung compliance and weaning outcomes and prognosis in mechanically ventilated patients: a prospective, observational cohort study].机械通气患者中动态肺顺应性标准化机械功率与撤机结局及预后的相关性分析:一项前瞻性观察队列研究
Zhonghua Wei Zhong Bing Ji Jiu Yi Xue. 2025 Jan;37(1):36-42. doi: 10.3760/cma.j.cn121430-20240126-00085.
4
[Characteristics and failure risk factors of sequential high-flow nasal cannula oxygen therapy after weaning from invasive ventilation in patients of surgical intensive care unit].[外科重症监护病房患者有创通气撤机后序贯性高流量鼻导管吸氧治疗的特点及失败风险因素]
Zhonghua Wei Zhong Bing Ji Jiu Yi Xue. 2019 Jun;31(6):689-693. doi: 10.3760/cma.j.issn.2095-4352.2019.06.006.
5
[Establishment of a nomogram prediction model for 28-day mortality of septic shock patients based on routine laboratory data mining].基于常规实验室数据挖掘的脓毒性休克患者28天死亡率列线图预测模型的建立
Zhonghua Wei Zhong Bing Ji Jiu Yi Xue. 2024 Nov;36(11):1127-1132. doi: 10.3760/cma.j.cn121430-20240202-00108.
6
[Development and validation of a prognostic model for patients with sepsis in intensive care unit].[重症监护病房脓毒症患者预后模型的开发与验证]
Zhonghua Wei Zhong Bing Ji Jiu Yi Xue. 2023 Aug;35(8):800-806. doi: 10.3760/cma.j.cn121430-20230103-00003.
7
[Establishment and validation of a sepsis 28-day mortality prediction model based on the lactate dehydrogenase-to-albumin ratio in patients with sepsis].[基于乳酸脱氢酶与白蛋白比值的脓毒症患者28天死亡率预测模型的建立与验证]
Zhonghua Wei Zhong Bing Ji Jiu Yi Xue. 2024 Nov;36(11):1140-1146. doi: 10.3760/cma.j.cn121430-20231012-00865.
8
Prediction of ventilator weaning failure in postoperative cardiac surgery patients using vasoactive-ventilation-renal score and nomogram analysis.使用血管活性-通气-肾脏评分和列线图分析预测心脏手术后患者的呼吸机撤机失败
Front Cardiovasc Med. 2024 Mar 14;11:1364211. doi: 10.3389/fcvm.2024.1364211. eCollection 2024.
9
[Predictive value of diaphragm thickening fraction and intra-abdominal pressure monitoring-oriented risk prediction model for weaning failure in patients with severe acute pancreatitis].[膈肌增厚分数及基于腹内压监测的风险预测模型对重症急性胰腺炎患者撤机失败的预测价值]
Zhonghua Wei Zhong Bing Ji Jiu Yi Xue. 2023 Feb;35(2):177-181. doi: 10.3760/cma.j.cn121430-20220930-00873.
10
Development of a novel tool: a nomogram for predicting in-hospital mortality of patients in intensive care unit after percutaneous coronary intervention.开发一种新工具:经皮冠状动脉介入治疗后重症监护病房患者住院死亡率预测的列线图。
BMC Anesthesiol. 2023 Jan 6;23(1):5. doi: 10.1186/s12871-022-01923-y.

本文引用的文献

1
Development of a Machine Learning Model for Predicting Weaning Outcomes Based Solely on Continuous Ventilator Parameters during Spontaneous Breathing Trials.仅基于自主呼吸试验期间的持续呼吸机参数预测撤机结果的机器学习模型的开发。
Bioengineering (Basel). 2023 Oct 5;10(10):1163. doi: 10.3390/bioengineering10101163.
2
Tidal Volume Should Be Individualized to the Patient's Lung Compliance.潮气量应根据患者的肺顺应性进行个体化调整。
Ann Emerg Med. 2023 Aug;82(2):239-240. doi: 10.1016/j.annemergmed.2023.02.019.
3
Risk factors and predictive model for pulmonary complications in patients transferred to ICU after hepatectomy.
肝切除术后转 ICU 患者肺部并发症的危险因素及预测模型。
BMC Surg. 2023 Jun 3;23(1):150. doi: 10.1186/s12893-023-02019-1.
4
Development and validation of a mechanical power-oriented prediction model of weaning failure in mechanically ventilated patients: a retrospective cohort study.开发和验证一种基于机械通气患者机械通气撤机失败的机械功率预测模型:一项回顾性队列研究。
BMJ Open. 2022 Dec 15;12(12):e066894. doi: 10.1136/bmjopen-2022-066894.
5
The impact of natural environment on human alveolar echinococcosis: A township-level modeling study in Qinghai-Tibet Plateau.自然环境对人体泡型包虫病的影响:青藏高原乡镇级建模研究。
Sci Total Environ. 2023 Jan 15;856(Pt 1):159085. doi: 10.1016/j.scitotenv.2022.159085. Epub 2022 Sep 28.
6
The weaning from mechanical ventilation: a comprehensive ultrasound approach.机械通气撤离:全面的超声方法。
Curr Opin Crit Care. 2022 Jun 1;28(3):322-330. doi: 10.1097/MCC.0000000000000941.
7
Surfactant Therapy for Respiratory Distress Syndrome in High- and Ultra-High-Altitude Settings.高海拔和超高海拔环境下呼吸窘迫综合征的表面活性剂治疗
Front Pediatr. 2022 Mar 4;10:777360. doi: 10.3389/fped.2022.777360. eCollection 2022.
8
Mechanical Ventilation.机械通气
JAMA. 2021 Oct 12;326(14):1452. doi: 10.1001/jama.2021.13084.
9
[Weaning from invasive mechanical ventilation].有创机械通气的撤机
Med Klin Intensivmed Notfmed. 2021 Nov;116(8):715-726. doi: 10.1007/s00063-021-00858-5. Epub 2021 Sep 29.
10
The Usefulness of the Rapid Shallow Breathing Index in Predicting Successful Extubation: A Systematic Review and Meta-analysis.快速浅呼吸指数在预测拔管成功中的应用:一项系统评价和Meta分析
Chest. 2022 Jan;161(1):97-111. doi: 10.1016/j.chest.2021.06.030. Epub 2021 Jun 26.