Huang Xiao, Zhang Xiang-Yang
Department of Anesthesiology, Beijing Chao-Yang Hospital, Capital Medical University, No. 8 Workers' Stadium South Road, Beijing 100020, Chaoyang Distinct, China.
Department of Psychiatry, Hefei Fourth People's Hospital, Hefei, China.
Depress Anxiety. 2024 Nov 19;2024:9950256. doi: 10.1155/da/9950256. eCollection 2024.
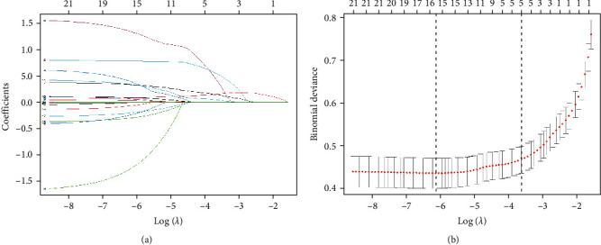
Moderate-to-severe anxiety symptoms are severe and common in patients with major depressive disorder (MDD) and have a significant impact on MDD patients and their families. The main objective of this study was to develop a risk prediction model for moderate-to-severe anxiety in MDD patients to make the detection more accurate and effective. We conducted a cross-sectional survey and tested biochemical indicators in 1718 first-episode and drug naïve (FEDN) patients with MDD. Using machine learning, we developed a risk prediction model for moderate-to-severe anxiety in these FEDN patients with MDD. Four predictors were identified from a total of 21 variables studied by least absolute shrinkage and selection operator (LASSO) regression analysis, namely psychotic symptoms, suicide attempts, thyroid stimulating hormone (TSH), and Hamilton Depression Scale (HAMD) total score. The model built from the four predictors showed good predictive power, with an area under the receiver operating characteristic (ROC) curve of 0.903 for the training set and 0.896 for the validation set. The decision curve analysis (DCA) curve indicated that the nomogram could be applied to clinical practice if the risk thresholds were between 13% and 40%. In the external validation, the risk threshold was between 14% and 40%. The inclusion of psychotic symptoms, suicide attempts, TSH, and HAMD in the risk nomogram may improve its utility in identifying patients with MDD at risk of moderate-to-severe anxiety. It may be helpful in clinical decision-making or for conferring with patients, especially in risk-based interventions.
中度至重度焦虑症状在重度抑郁症(MDD)患者中严重且常见,对MDD患者及其家庭有重大影响。本研究的主要目的是开发一种MDD患者中度至重度焦虑的风险预测模型,以使检测更加准确有效。我们对1718例首发且未服用过药物的MDD患者进行了横断面调查并检测了生化指标。利用机器学习,我们为这些首发未服药的MDD患者开发了一种中度至重度焦虑的风险预测模型。通过最小绝对收缩和选择算子(LASSO)回归分析,从总共研究的21个变量中确定了四个预测因子,即精神病性症状、自杀未遂、促甲状腺激素(TSH)和汉密尔顿抑郁量表(HAMD)总分。由这四个预测因子构建的模型显示出良好的预测能力,训练集的受试者工作特征(ROC)曲线下面积为0.903,验证集为0.896。决策曲线分析(DCA)曲线表明,如果风险阈值在13%至40%之间,该列线图可应用于临床实践。在外部验证中,风险阈值在14%至40%之间。在风险列线图中纳入精神病性症状、自杀未遂、TSH和HAMD可能会提高其在识别有中度至重度焦虑风险的MDD患者中的效用。这可能有助于临床决策或与患者沟通,特别是在基于风险的干预措施中。