Suppr超能文献

基于血清肌酐的多中心模型用于慢性肾脏病肾纤维化无创预测的开发与验证

Development and validation of multi-center serum creatinine-based models for noninvasive prediction of kidney fibrosis in chronic kidney disease.

作者信息

Wu Le-Hao, Zhao Dan, Niu Jian-Ying, Fan Qiu-Ling, Peng Ai, Luo Cheng-Gong, Zhang Xiao-Qin, Tang Tian, Yu Chen, Zhang Ying-Ying

机构信息

Department of Nephrology, Shanghai Tongji Hospital, Tongji University School of Medicine, Shanghai, China.

Department of Nephrology, Shanghai Fifth People's Hospital of Fudan University, Shanghai, China.

出版信息

Ren Fail. 2025 Dec;47(1):2489715. doi: 10.1080/0886022X.2025.2489715. Epub 2025 Apr 15.

Abstract

OBJECTIVE

Kidney fibrosis is a key pathological feature in the progression of chronic kidney disease (CKD), traditionally diagnosed through invasive kidney biopsy. This study aimed to develop and validate a noninvasive, multi-center predictive model incorporating machine learning (ML) for assessing kidney fibrosis severity using biochemical markers.

METHODS

This multi-center retrospective study included 598 patients with kidney fibrosis from four hospitals. A training cohort of 360 patients from Shanghai Tongji Hospital was used to develop a predictive nomogram and ML model, with fibrosis severity classified as mild or moderate-to-severe based on Banff scores. Logistic regression identified key predictors, which were incorporated into a nomogram and ML model. An external validation cohort of 238 patients from three additional hospitals was used for model evaluation.

RESULTS

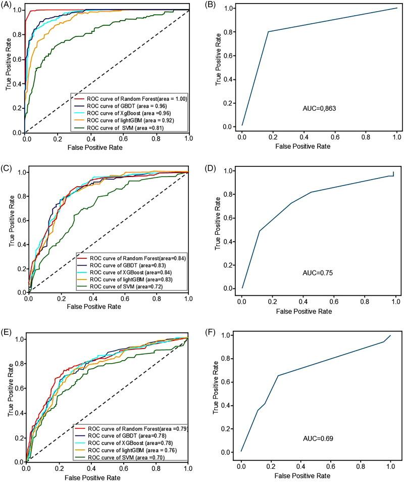
Serum creatinine (Scr), estimated glomerular filtration rate (eGFR), parathyroid hormone (PTH), brain natriuretic peptide (BNP), and sex were identified as independent predictors of kidney fibrosis severity. The nomogram demonstrated superior discriminative ability in the training cohort (AUC: 0.89, 95% CI: 0.85-0.92) compared to eGFR (AUC: 0.83, 95% CI: 0.78-0.87) and Scr (AUC: 0.87, 95% CI: 0.83-0.91). Among ML models, the Random Forest (RF) model achieved the highest AUC (0.98). In external validation, the nomogram and RF models maintained robust performance with AUCs of 0.86 and 0.79, respectively.

CONCLUSION

This study presents a validated, noninvasive, multi-center Scr-based machine learning model for assessing kidney fibrosis severity in CKD. The integration of a clinical nomogram and ML approach offers a novel, practical alternative to biopsy for dynamic fibrosis evaluation.

摘要

目的

肾纤维化是慢性肾脏病(CKD)进展过程中的关键病理特征,传统上通过侵入性肾活检进行诊断。本研究旨在开发并验证一种结合机器学习(ML)的非侵入性多中心预测模型,该模型使用生化标志物评估肾纤维化严重程度。

方法

这项多中心回顾性研究纳入了来自四家医院的598例肾纤维化患者。来自上海同济医院的360例患者组成训练队列,用于开发预测列线图和ML模型,根据Banff评分将纤维化严重程度分为轻度或中重度。逻辑回归确定关键预测因素,并将其纳入列线图和ML模型。来自另外三家医院的238例患者组成外部验证队列,用于模型评估。

结果

血清肌酐(Scr)、估计肾小球滤过率(eGFR)、甲状旁腺激素(PTH)、脑钠肽(BNP)和性别被确定为肾纤维化严重程度的独立预测因素。与eGFR(AUC:0.83,95%CI:0.78-0.87)和Scr(AUC:0.87,95%CI:0.83-0.91)相比,列线图在训练队列中显示出更好的判别能力(AUC:0.89,95%CI:0.85-0.92)。在ML模型中,随机森林(RF)模型的AUC最高(0.98)。在外部验证中,列线图和RF模型分别保持了稳健的性能,AUC分别为0.86和0.79。

结论

本研究提出了一种经过验证的、基于Scr的非侵入性多中心机器学习模型,用于评估CKD患者的肾纤维化严重程度。临床列线图和ML方法的结合为动态纤维化评估提供了一种新颖、实用的活检替代方法。

https://cdn.ncbi.nlm.nih.gov/pmc/blobs/b102/12001852/ee9d2593b5dc/IRNF_A_2489715_F0001_B.jpg

文献AI研究员

20分钟写一篇综述,助力文献阅读效率提升50倍。

立即体验

用中文搜PubMed

大模型驱动的PubMed中文搜索引擎

马上搜索

文档翻译

学术文献翻译模型,支持多种主流文档格式。

立即体验