Suppr超能文献

EVIDENS研究的3年最终结果,这是一项关于纳武利尤单抗治疗非小细胞肺癌的观察性研究。

Final 3-year results from the EVIDENS study, an observational study of nivolumab in non-small cell lung cancer.

作者信息

Barlesi Fabrice, Dixmier Adrien, Debieuvre Didier, Raspaud Christophe, Auliac Jean-Bernard, Benoit Nicolas, Bombaron Pierre, Moro-Sibilot Denis, Asselain Bernard, Audigier-Valette Clarisse, Brellier Florence, Cotté François-Emery, Khalife Yaacoub, Pérol Maurice

机构信息

Institut Gustave Roussy, Paris Saclay Université, Villejuif, France.

Assistance Publique Hôpitaux de Marseille, Aix Marseille University, Marseille, France.

出版信息

Oncoimmunology. 2025 Dec;14(1):2492932. doi: 10.1080/2162402X.2025.2492932. Epub 2025 Apr 15.

Abstract

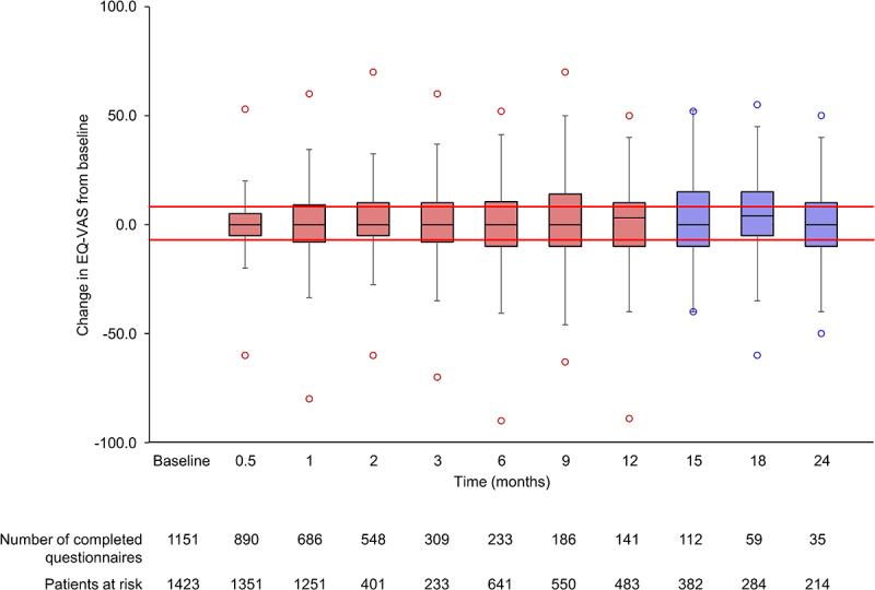
EVIDENS was a prospective, non-interventional, longitudinal study conducted in non-small cell lung cancer (NSCLC) patients receiving nivolumab in France. It recruited adults with pathologically confirmed NSCLC who initiated nivolumab between October 2016 and November 2017; the final results are reported here. Primary outcomes included baseline characteristics and 36-month overall survival (OS). Secondary outcomes included progression free survival (PFS), objective response rate (ORR), safety and health-related quality of life (HRQoL; assessed regardless of nivolumab continuation or interruption). Overall, 1423 patients were included in the analysis population (median age 66 years; non-squamous histology 69.1%; stage IV disease 91.5%; brain metastases 19.9%). Almost all patients (99.7%) had received prior chemotherapy, and most patients received nivolumab as second-line (73.5%) or later (26.1%) therapy. The 36-month OS rate was 19.7% (95% confidence interval [CI] 17.5-22.0); OS was significantly shorter in patients with squamous versus non-squamous tumors (9.8 [95% CI 8.6-11.2] months vs 11.8 [95% CI 10.2-13.2] months;  = 0.005). The 36-month PFS rate was 8.8% (95% CI 7.3-10.4). The 12-month investigator-assessed best ORR in the overall population was 20.4%. Eastern Cooperative Oncology Group performance status, smoking status, tumor histology, disease stage and liver metastasis independently predicted survival. Grade 3 and 4 treatment-related adverse events were reported in 8.0% and 0.8% of patients, respectively; eight treatment-related deaths occurred (0.005%). HRQoL was maintained with slight improvement throughout the study, without statistical significance. These results confirm that the real-world effectiveness and safety of nivolumab in these patients is similar to that observed in clinical trials.

摘要

EVIDENS是一项在法国接受纳武单抗治疗的非小细胞肺癌(NSCLC)患者中开展的前瞻性、非干预性纵向研究。该研究纳入了2016年10月至2017年11月期间开始使用纳武单抗、病理确诊为NSCLC的成年患者;本文报告了最终结果。主要结局包括基线特征和36个月总生存期(OS)。次要结局包括无进展生存期(PFS)、客观缓解率(ORR)、安全性和健康相关生活质量(HRQoL;无论纳武单抗是否持续使用或中断均进行评估)。总体而言,1423例患者纳入分析人群(中位年龄66岁;非鳞状组织学类型占69.1%;IV期疾病占91.5%;脑转移占19.9%)。几乎所有患者(99.7%)都接受过先前的化疗,大多数患者接受纳武单抗作为二线(73.5%)或更晚期(26.1%)治疗。36个月OS率为19.7%(95%置信区间[CI] 17.5 - 22.0);鳞状肿瘤患者的OS明显短于非鳞状肿瘤患者(9.8 [95% CI 8.6 - 11.2]个月对11.8 [95% CI 10.2 - 13.2]个月;P = 0.005)。36个月PFS率为8.8%(95% CI 7.3 - 10.4)。总体人群中12个月时研究者评估的最佳ORR为20.4%。东部肿瘤协作组体能状态、吸烟状态、肿瘤组织学类型、疾病分期和肝转移独立预测生存期。3/4级治疗相关不良事件分别在8.0%和0.8%的患者中报告;发生了8例治疗相关死亡(0.005%)。在整个研究过程中,HRQoL保持稳定并有轻微改善,但无统计学意义。这些结果证实了纳武单抗在这些患者中的真实世界有效性和安全性与临床试验中观察到的相似。

https://cdn.ncbi.nlm.nih.gov/pmc/blobs/5b37/12001549/915deaf5f16b/KONI_A_2492932_F0001_OC.jpg

文献检索

告别复杂PubMed语法,用中文像聊天一样搜索,搜遍4000万医学文献。AI智能推荐,让科研检索更轻松。

立即免费搜索

文件翻译

保留排版,准确专业,支持PDF/Word/PPT等文件格式,支持 12+语言互译。

免费翻译文档

深度研究

AI帮你快速写综述,25分钟生成高质量综述,智能提取关键信息,辅助科研写作。

立即免费体验