• 文献检索
  • 文档翻译
  • 深度研究
  • 学术资讯
  • Suppr Zotero 插件Zotero 插件
  • 邀请有礼
  • 套餐&价格
  • 历史记录
应用&插件
Suppr Zotero 插件Zotero 插件浏览器插件Mac 客户端Windows 客户端微信小程序
定价
高级版会员购买积分包购买API积分包
服务
文献检索文档翻译深度研究API 文档MCP 服务
关于我们
关于 Suppr公司介绍联系我们用户协议隐私条款
关注我们

Suppr 超能文献

核心技术专利:CN118964589B侵权必究
粤ICP备2023148730 号-1Suppr @ 2026

文献检索

告别复杂PubMed语法,用中文像聊天一样搜索,搜遍4000万医学文献。AI智能推荐,让科研检索更轻松。

立即免费搜索

文件翻译

保留排版,准确专业,支持PDF/Word/PPT等文件格式,支持 12+语言互译。

免费翻译文档

深度研究

AI帮你快速写综述,25分钟生成高质量综述,智能提取关键信息,辅助科研写作。

立即免费体验

与碎裂QRS波相比,B型利钠肽在2型糖尿病患者舒张功能障碍筛查中的疗效

B-type natriuretic peptide efficacy compared to fragmented QRS for diastolic dysfunction screening in patients with type 2 diabetes.

作者信息

Yagi Kunimasa, Chujo Daisuke, Usui Isao, Liu Jian-Hui, Nohara Atsushi, Shirozu Asako Enkaku, Takikawa Akiko, Honoki Hisae, Fujisaka Shiho, Origasa Hideki, Tada Hayato

机构信息

Department of Internal Medicine, Kanazawa Medical University Hospital, Kahoku 920-0293, Ishikawa, Japan.

Center for Clinical and Translational Research, Toyama University Hospital, Toyama 930-0152, Toyama, Japan.

出版信息

World J Diabetes. 2025 Apr 15;16(4):103551. doi: 10.4239/wjd.v16.i4.103551.

DOI:10.4239/wjd.v16.i4.103551
PMID:40236863
原文链接:https://pmc.ncbi.nlm.nih.gov/articles/PMC11947920/
Abstract

BACKGROUND

Early diagnosis of left ventricular diastolic dysfunction (LVDD) is essential for preventing heart failure. B-type natriuretic peptide (BNP) is a viable marker for predicting LVDD, as elevated BNP levels have been associated with worsening LVDD in patients with diabetes over time. However, the utility of BNP as a diagnostic marker in diabetes is controversial, as BNP levels are often low in overweight individuals.

AIM

To examine the effectiveness of BNP levels and fragmented QRS (fQRS) on electrocardiography for diagnosing LVDD in patients with type 2 diabetes.

METHODS

This retrospective cohort study included 303 patients with type 2 diabetes (67.4 ± 12.3 years old) with preserved ejection fraction (EF) ≥ 50% admitted to Toyama University Hospital for glycemic management and comorbidity evaluation between November 2017 and April 2021. All participants underwent plasma BNP measurement, electrocardiography, and echocardiography. Cardiologists who were blinded to the BNP results assessed the electrocardiograms and echocardiograms. Subgroup analyses were conducted for overweight individuals.

RESULTS

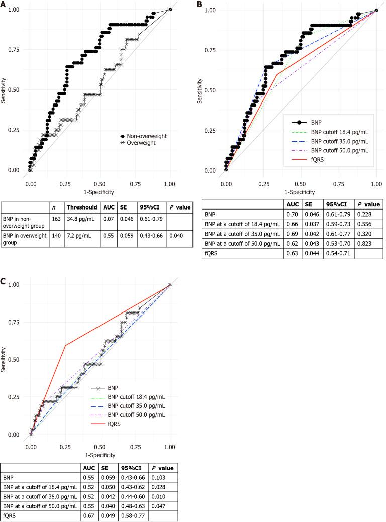
Receiver operating characteristic (ROC) curve analysis determined optimal BNP cut-off values of 34.8 pg/mL and 7.2 pg/mL for diagnosing LVDD in non-overweight [area under the ROC curve (AUC): 0.70] and overweight (AUC: 0.55) groups, respectively ( = 0.040). In the overweight subgroup, fQRS showed greater diagnostic accuracy for LVDD (AUC: 0.67), indicating moderate diagnostic utility compared with the low performance of the BNP cutoff of 35 pg/mL (AUC: 0.52) ( = 0.010). Multivariate analyses confirmed that fQRS was superior to BNP for LVDD diagnosis regardless of the patient's weight.

CONCLUSION

A BNP level ≥ 35 pg/mL in non-overweight individuals may be a reliable LVDD marker. Additionally, fQRS was more effective than BNP in diagnosing LVDD irrespective of the patient's weight. fQRS can complement BNP in the early detection of LVDD, especially in overweight patients, potentially improving early detection and mitigating progression to heart failure with preserved EF in patients with type 2 diabetes.

摘要

背景

左心室舒张功能障碍(LVDD)的早期诊断对于预防心力衰竭至关重要。B型利钠肽(BNP)是预测LVDD的一个可行标志物,因为随着时间的推移,糖尿病患者中BNP水平升高与LVDD恶化相关。然而,BNP作为糖尿病诊断标志物的效用存在争议,因为超重个体的BNP水平通常较低。

目的

探讨BNP水平和心电图碎裂QRS波(fQRS)对2型糖尿病患者LVDD的诊断效果。

方法

这项回顾性队列研究纳入了2017年11月至2021年4月期间因血糖管理和合并症评估入住富山大学医院的303例射血分数(EF)保留≥50%的2型糖尿病患者(67.4±12.3岁)。所有参与者均接受血浆BNP测量、心电图检查和超声心动图检查。对BNP结果不知情的心脏病专家评估心电图和超声心动图。对超重个体进行亚组分析。

结果

受试者工作特征(ROC)曲线分析确定,在非超重[ROC曲线下面积(AUC):0.70]和超重(AUC:0.55)组中,诊断LVDD的最佳BNP临界值分别为34.8 pg/mL和7.2 pg/mL(P = 0.040)。在超重亚组中,fQRS对LVDD的诊断准确性更高(AUC:0.67),与35 pg/mL的BNP临界值的低效能(AUC:0.52)相比,显示出中等诊断效用(P = 0.010)。多变量分析证实,无论患者体重如何,fQRS在LVDD诊断方面均优于BNP。

结论

非超重个体中BNP水平≥35 pg/mL可能是一个可靠的LVDD标志物。此外,无论患者体重如何,fQRS在诊断LVDD方面比BNP更有效。fQRS可以在LVDD的早期检测中补充BNP,特别是在超重患者中,可能改善早期检测并减轻2型糖尿病患者保留EF的心力衰竭进展。

https://cdn.ncbi.nlm.nih.gov/pmc/blobs/eb2c/11947920/ff38b6ce4aba/103551-g001.jpg
https://cdn.ncbi.nlm.nih.gov/pmc/blobs/eb2c/11947920/ff38b6ce4aba/103551-g001.jpg
https://cdn.ncbi.nlm.nih.gov/pmc/blobs/eb2c/11947920/ff38b6ce4aba/103551-g001.jpg

相似文献

1
B-type natriuretic peptide efficacy compared to fragmented QRS for diastolic dysfunction screening in patients with type 2 diabetes.与碎裂QRS波相比,B型利钠肽在2型糖尿病患者舒张功能障碍筛查中的疗效
World J Diabetes. 2025 Apr 15;16(4):103551. doi: 10.4239/wjd.v16.i4.103551.
2
Fragmented QRS complex is a diagnostic tool in patients with left ventricular diastolic dysfunction.碎裂QRS波群是诊断左心室舒张功能障碍患者的一种工具。
Heart Vessels. 2016 Apr;31(4):563-7. doi: 10.1007/s00380-015-0651-7. Epub 2015 Feb 25.
3
Early diagnosis of congestive heart failure: clinical utility of B-type natriuretic peptide testing associated with Doppler echocardiography.充血性心力衰竭的早期诊断:B型利钠肽检测与多普勒超声心动图相关的临床应用
J Cardiovasc Med (Hagerstown). 2006 Jun;7(6):406-13. doi: 10.2459/01.JCM.0000228690.40452.d3.
4
Use of B-type natriuretic peptide as a screening tool for left ventricular diastolic dysfunction in rheumatoid arthritis patients without clinical cardiovascular disease.将 B 型利钠肽用于无临床心血管疾病的类风湿关节炎患者左心室舒张功能障碍的筛查工具。
Arthritis Care Res (Hoboken). 2011 May;63(5):729-34. doi: 10.1002/acr.20425.
5
Early diagnosis of left ventricular diastolic dysfunction in diabetic patients: a possible role for natriuretic peptides.早期诊断糖尿病患者左心室舒张功能障碍:利钠肽的可能作用。
Cardiovasc Diabetol. 2010 Dec 16;9:89. doi: 10.1186/1475-2840-9-89.
6
Possible role of BNP for an early diagnosis of asymptomatic left ventricular dysfunction: a retrospective study.脑钠肽在无症状左心室功能不全早期诊断中的可能作用:一项回顾性研究。
Minerva Cardioangiol. 2014 Apr;62(2):147-59.
7
Utility of B-type natriuretic peptide (BNP) as a screen for left ventricular dysfunction in patients with diabetes.B型利钠肽(BNP)作为糖尿病患者左心室功能障碍筛查指标的效用。
Diabetes Care. 2003 Jul;26(7):2081-7. doi: 10.2337/diacare.26.7.2081.
8
Direct comparison of B-type natriuretic peptide and N-terminal pro-BNP for assessment of cardiac function in a large population of symptomatic patients.在大量有症状的患者中,比较 B 型利钠肽和氨基末端 B 型利钠肽前体评估心功能。
Int J Cardiol. 2010 Apr 30;140(3):336-43. doi: 10.1016/j.ijcard.2008.11.107. Epub 2009 Jan 15.
9
The diagnostic accuracy and utility of a B-type natriuretic peptide test in a community population of patients with suspected heart failure.B型利钠肽检测在疑似心力衰竭社区患者人群中的诊断准确性及实用性。
Br J Gen Pract. 2006 May;56(526):327-33.
10
Utility of B-natriuretic peptide in detecting diastolic dysfunction: comparison with Doppler velocity recordings.B型利钠肽在检测舒张功能障碍中的应用:与多普勒速度记录的比较。
Circulation. 2002 Feb 5;105(5):595-601. doi: 10.1161/hc0502.103010.

本文引用的文献

1
Epidemiology of heart failure in diabetes: a disease in disguise.糖尿病合并心力衰竭的流行病学:一种伪装的疾病。
Diabetologia. 2024 Apr;67(4):574-601. doi: 10.1007/s00125-023-06068-2. Epub 2024 Feb 9.
2
10. Cardiovascular Disease and Risk Management: Standards of Care in Diabetes-2024.10. 心血管疾病与风险管理:2024年糖尿病护理标准。
Diabetes Care. 2024 Jan 1;47(Suppl 1):S179-S218. doi: 10.2337/dc24-S010.
3
Semaglutide and Cardiovascular Outcomes in Obesity without Diabetes.司美格鲁肽在肥胖但无糖尿病患者中的心血管结局。
N Engl J Med. 2023 Dec 14;389(24):2221-2232. doi: 10.1056/NEJMoa2307563. Epub 2023 Nov 11.
4
Semaglutide in Patients with Heart Failure with Preserved Ejection Fraction and Obesity.司美格鲁肽治疗射血分数保留的心力衰竭合并肥胖患者的疗效。
N Engl J Med. 2023 Sep 21;389(12):1069-1084. doi: 10.1056/NEJMoa2306963. Epub 2023 Aug 25.
5
Management of Hyperglycemia in Type 2 Diabetes, 2022. A Consensus Report by the American Diabetes Association (ADA) and the European Association for the Study of Diabetes (EASD).2022 年美国糖尿病协会 (ADA) 和欧洲糖尿病研究协会 (EASD) 共识报告:2 型糖尿病患者高血糖管理。
Diabetes Care. 2022 Nov 1;45(11):2753-2786. doi: 10.2337/dci22-0034.
6
Dapagliflozin in Heart Failure with Mildly Reduced or Preserved Ejection Fraction.达格列净治疗射血分数轻度降低或保留的心力衰竭。
N Engl J Med. 2022 Sep 22;387(12):1089-1098. doi: 10.1056/NEJMoa2206286. Epub 2022 Aug 27.
7
Frequency of fragmented QRS on ECG and relationship with left ventricular dysfunction in patients with subclinical hypothyroidism.心电图 QRS 碎裂波的频率与亚临床甲状腺功能减退症患者左心室功能障碍的关系。
Eur Rev Med Pharmacol Sci. 2022 May;26(10):3677-3685. doi: 10.26355/eurrev_202205_28863.
8
Diabetes Screening by Race and Ethnicity in the United States: Equivalent Body Mass Index and Age Thresholds.美国按种族和族裔进行糖尿病筛查:等效体重指数和年龄阈值。
Ann Intern Med. 2022 Jun;175(6):765-773. doi: 10.7326/M20-8079. Epub 2022 May 10.
9
A machine learning algorithm for electrocardiographic fQRS quantification validated on multi-center data.一种基于多中心数据验证的心电 fQRS 定量的机器学习算法。
Sci Rep. 2022 Apr 26;12(1):6783. doi: 10.1038/s41598-022-10452-0.
10
BNP: Biomarker Not Perfect in heart failure with preserved ejection fraction.脑钠肽:射血分数保留的心力衰竭中并非完美的生物标志物。
Eur Heart J. 2022 May 21;43(20):1952-1954. doi: 10.1093/eurheartj/ehac121.