Matboli Marwa, Hamady Shaimaa, Saad Maha, Khaled Radwa, Khaled Abdelrahman, Barakat Eman Mf, Sayed Sayed Ahmed, Agwa SaraH A, Youssef Ibrahim
Medical Biochemistry and Molecular Biology Department, Faculty of Medicine, Ain Shams University, Cairo, 11566, Egypt.
Faculty of Oral & Dental Medicine, Misr International University, Qalyubiyya Governorate, Egypt.
Noncoding RNA Res. 2024 Oct 11;10:206-222. doi: 10.1016/j.ncrna.2024.10.002. eCollection 2025 Feb.
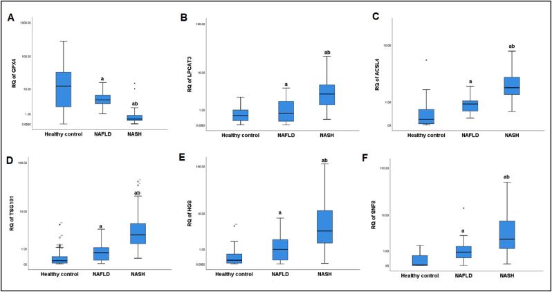
The global rise in Metabolic dysfunction-associated steatotic liver disease (MASLD)/Metabolic dysfunction-associated steatohepatitis (MASH) highlights the urgent necessity for noninvasive biomarkers to detect these conditions early. To address this, we endeavored to construct a diagnostic model for MASLD/MASH using a combination of bioinformatics, molecular/biochemical data, and machine learning techniques. Initially, bioinformatics analysis was employed to identify RNA molecules associated with MASLD/MASH pathogenesis and enriched in ferroptosis and exophagy. This analysis unveiled specific networks related to ferroptosis (GPX4, LPCAT3, ACSL4, miR-4266, and LINC00442) and exophagy (TSG101, HGS, SNF8, miR-4498, miR-5189-5p, and CTBP1-AS2). Subsequently, serum samples from 400 participants (151 healthy, 150 MASH, and 99 MASLD) underwent biochemical and molecular analysis, revealing significant dyslipidemia, impaired liver function, and disrupted glycemic indicators in MASLD/MASH patients compared to healthy controls. Molecular analysis indicated increased expression of LPCAT3, ACSL4, TSG101, HGS, and SNF8, alongside decreased GPX4 levels in MASH and MASLD patients compared to controls. The expression of epigenetic regulators from both networks (miR-4498, miR-5189-5p, miR-4266, LINC00442, and CTBP1-AS2) significantly differed among the studied groups. Finally, supervised machine learning models, including Neural Networks and Random Forest, were applied to molecular signatures and clinical/biochemical data. The Random Forest model exhibited superior performance, and molecular features effectively distinguished between the three studied groups. Clinical features, particularly BMI, consistently served as discriminatory factors, while biochemical features exhibited varying discriminant behavior across MASH, MASLD, and control groups. Our study underscores the significant potential of integrating diverse data types to enable early detection of MASLD/MASH, offering a promising approach for non-invasive diagnostic strategies.
代谢功能障碍相关脂肪性肝病(MASLD)/代谢功能障碍相关脂肪性肝炎(MASH)在全球范围内的增多凸显了尽早检测这些病症的非侵入性生物标志物的迫切需求。为解决这一问题,我们尝试结合生物信息学、分子/生化数据和机器学习技术构建MASLD/MASH的诊断模型。首先,运用生物信息学分析来识别与MASLD/MASH发病机制相关且在铁死亡和自噬中富集的RNA分子。该分析揭示了与铁死亡(谷胱甘肽过氧化物酶4(GPX4)、溶血磷脂酰胆碱酰基转移酶3(LPCAT3)、长链脂酰辅酶A合成酶4(ACSL4)、微小RNA - 4266(miR - 4266)和长链非编码RNA 00442(LINC00442))和自噬(肿瘤易感基因101(TSG101)、肝细胞生长因子调节的酪氨酸激酶底物(HGS)、蔗糖非发酵相关蛋白激酶复合物亚基8(SNF8)、微小RNA - 4498(miR - 4498)、微小RNA - 5189 - 5p和CTBP1反义RNA 2(CTBP1 - AS2))相关的特定网络。随后,对400名参与者(151名健康者、150名MASH患者和99名MASLD患者)的血清样本进行生化和分子分析,结果显示与健康对照组相比,MASLD/MASH患者存在明显的血脂异常、肝功能受损和血糖指标紊乱。分子分析表明,与对照组相比,MASH和MASLD患者中LPCAT3、ACSL4、TSG101、HGS和SNF8的表达增加,而GPX4水平降低。两个网络中的表观遗传调节因子(miR - 4498、miR - 5189 - 5p、miR - 4266、LINC00442和CTBP1 - AS2)的表达在研究组之间存在显著差异。最后,将包括神经网络和随机森林在内的监督机器学习模型应用于分子特征以及临床/生化数据。随机森林模型表现出卓越的性能,分子特征能够有效区分三个研究组。临床特征,尤其是体重指数(BMI),始终是判别因素,而生化特征在MASH、MASLD和对照组中的判别行为各不相同。我们的研究强调了整合多种数据类型以实现MASLD/MASH早期检测的巨大潜力,为非侵入性诊断策略提供了一种有前景的方法。