de Ruiter Sophie C, Tschiderer Lena, Grobbee Diederick E, Ruigrok Ynte M, Willeit Peter, den Ruijter Hester M, Schmidt A Floriaan, Peters Sanne A E
Julius Center for Health Sciences and Primary Care, University Medical Center Utrecht, Utrecht University, Utrecht, the Netherlands.
Institute of Clinical Epidemiology, Public Health, Health Economics, Medical Statistics and Informatics, Medical University of Innsbruck, Innsbruck, Austria.
Diabetes Obes Metab. 2025 Jul;27(7):3789-3799. doi: 10.1111/dom.16406. Epub 2025 Apr 21.
Observational studies have shown that the association between type 2 diabetes and cardiovascular disease (CVD) is stronger in females than in males. It remains unclear whether the causal effects of diabetes and glycaemic traits on CVD are also different between females and males.
We performed sex-stratified observational and Mendelian randomisation (MR) analyses in the UK Biobank to investigate the sex-specific associations of type 2 diabetes and HbA1c with CVD outcomes (combined CVD, coronary heart disease [CHD], myocardial infarction, stroke, ischaemic stroke, intracerebral haemorrhage and subarachnoid haemorrhage). As secondary analyses, we performed sex-stratified MR for the association of genetically proxied fasting glucose and insulin with CVD outcomes.
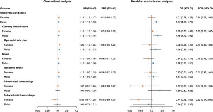
In observational analysis, diabetes was associated with a greater excess risk for CHD in females than in males (female-to-male ratio of hazard ratios 1.11 [95% CI 1.03, 1.21]). The association of HbA1c with CVD outcomes was similar in both sexes. In MR, the relationship between genetic liability to diabetes and CHD was similar in females and males (female-to-male ratio of odds ratios 0.98 [95% CI 0.91, 1.05]). No sex differences were found for the association between diabetes and stroke in both observational and MR analyses. Moreover, MR results on HbA1c, fasting glucose and fasting insulin were similar for females and males.
This study suggests that causal effects of diabetes and glycaemic traits on CVD are similar in females and males.
观察性研究表明,2型糖尿病与心血管疾病(CVD)之间的关联在女性中比在男性中更强。目前尚不清楚糖尿病和血糖特征对CVD的因果效应在女性和男性之间是否也存在差异。
我们在英国生物银行中进行了性别分层的观察性研究和孟德尔随机化(MR)分析,以研究2型糖尿病和糖化血红蛋白(HbA1c)与CVD结局(合并CVD、冠心病[CHD]、心肌梗死、中风、缺血性中风、脑出血和蛛网膜下腔出血)之间的性别特异性关联。作为次要分析,我们对遗传代理的空腹血糖和胰岛素与CVD结局的关联进行了性别分层的MR分析。
在观察性分析中,糖尿病与女性CHD的超额风险比男性更大(风险比的女性与男性之比为1.11[95%CI 1.03,1.21])。HbA1c与CVD结局的关联在两性中相似。在MR分析中,女性和男性中糖尿病遗传易感性与CHD之间的关系相似(优势比的女性与男性之比为0.98[95%CI 0.91,1.05])。在观察性分析和MR分析中,均未发现糖尿病与中风之间的关联存在性别差异。此外,女性和男性在HbA1c、空腹血糖和空腹胰岛素方面的MR结果相似。
本研究表明,糖尿病和血糖特征对CVD的因果效应在女性和男性中相似。