Suppr超能文献

久坐时间与全因死亡率:肾功能标志物的中介作用和预测作用

Prolonged sitting time and all-cause mortality: the mediating and predictive role of kidney function markers.

作者信息

Wang Li, Wu Xuelei, Guo Ziyi, Dong Yishan, Yu Bin

机构信息

Changzhou Maternal and Child Health Care Hospital, Changzhou Medical Center of Nanjing Medical University, Changzhou, Jiangsu Province, China.

出版信息

Ren Fail. 2025 Dec;47(1):2486568. doi: 10.1080/0886022X.2025.2486568. Epub 2025 Apr 22.

Abstract

OBJECTIVE

To investigate the association between daily sitting time and all-cause mortality, with a focus on the mediating effect and predictive value of the makers relating to kidney.

METHODS

The cross-sectional study utilized data from the National Health and Nutrition Examination Survey (NHANES) from 2003 to 2020. The makers relating to kidney were assessed through estimated glomerular filtration rate (eGFR), urine albumin creatinine ratio (UACR), and other relevant markers.

RESULTS

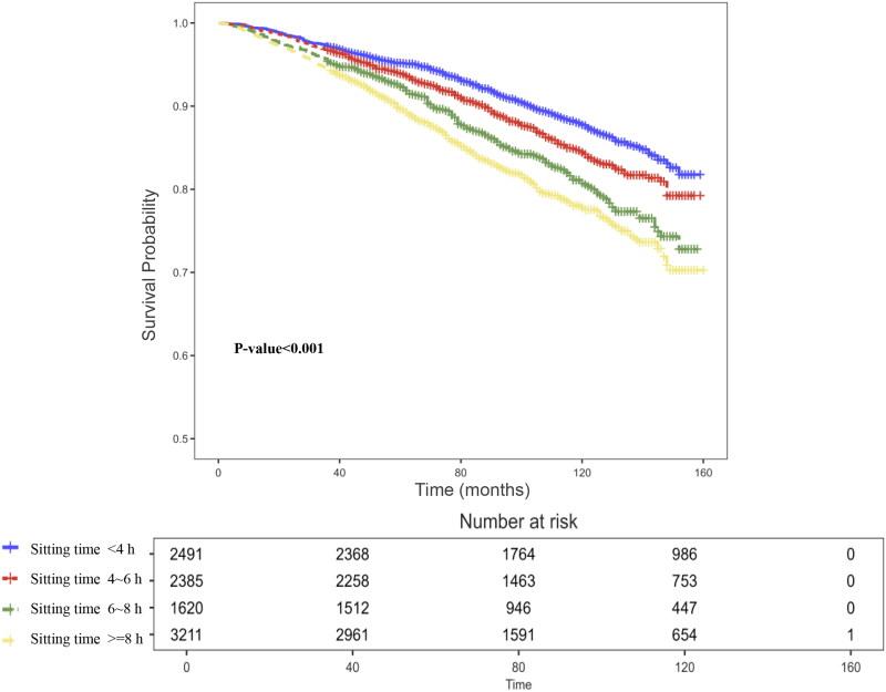
A total of 9,707 adults were included in the analysis. There was a significant increase in the levels of blood urea nitrogen (BUN), creatinine, uric acid, osmolality, and UACR with extended daily sitting time, while eGFR significantly decreased. Notably, individuals sitting ≥ 8 h per day exhibited a 67% higher risk of all-cause mortality (HR = 1.67, 95% CI: 1.43-1.94). A nonlinear (L-shaped) relationship was observed between eGFR ( < 0.001) or UACR ( < 0.001) and all-cause mortality. Mediation analysis revealed that eGFR accounted for 20.98% of the association between sitting time and mortality ( < 0.01). An addition of eGFR or UACR would increase the AUC from 0.585 to 0.762 and 0.656, respectively( < 0.001). The main mortality caused by daily sitting time included chronic lower respiratory diseases, diabetes mellitus, cerebrovascular diseases and heart diseases.

CONCLUSIONS

Prolonged daily sitting time is significantly associated with an increased risk of all-cause mortality, potentially mediated by impaired kidney function. Incorporating kidney function markers such as eGFR and UACR enhances the predictive value for mortality risk assessment in sedentary populations.

摘要

目的

探讨每日久坐时间与全因死亡率之间的关联,重点关注与肾脏相关指标的中介作用和预测价值。

方法

这项横断面研究利用了2003年至2020年美国国家健康与营养检查调查(NHANES)的数据。通过估算肾小球滤过率(eGFR)、尿白蛋白肌酐比值(UACR)及其他相关指标评估与肾脏相关的指标。

结果

共有9707名成年人纳入分析。随着每日久坐时间延长,血尿素氮(BUN)、肌酐、尿酸、渗透压和UACR水平显著升高,而eGFR显著降低。值得注意的是,每天久坐≥8小时的个体全因死亡风险高67%(HR = 1.67,95%CI:1.43 - 1.94)。观察到eGFR(<0.001)或UACR(<0.001)与全因死亡率之间呈非线性(L形)关系。中介分析显示,eGFR占久坐时间与死亡率之间关联的20.98%(<0.01)。加入eGFR或UACR后,AUC分别从0.585增至0.762和0.656(<0.001)。每日久坐时间导致的主要死亡原因包括慢性下呼吸道疾病、糖尿病、脑血管疾病和心脏病。

结论

每日久坐时间延长与全因死亡风险增加显著相关,可能由肾功能受损介导。纳入eGFR和UACR等肾功能指标可提高对久坐人群死亡风险评估的预测价值。

https://cdn.ncbi.nlm.nih.gov/pmc/blobs/7924/12016242/18f78572a2fe/IRNF_A_2486568_UF0001_C.jpg

文献检索

告别复杂PubMed语法,用中文像聊天一样搜索,搜遍4000万医学文献。AI智能推荐,让科研检索更轻松。

立即免费搜索

文件翻译

保留排版,准确专业,支持PDF/Word/PPT等文件格式,支持 12+语言互译。

免费翻译文档

深度研究

AI帮你快速写综述,25分钟生成高质量综述,智能提取关键信息,辅助科研写作。

立即免费体验