Suppr超能文献

高应力条件下不耦合装药钻孔爆破的数值研究

Numerical study of decoupling charge drilling and blasting under high stress conditions.

作者信息

Rong Hai, Li Nannan, Cao Chen, Li Pengfei, Wei Shilong, He Longyue, Xi Zhouyong

机构信息

College of Mining, Liaoning Technical University, 123000, Fuxin, China.

出版信息

Sci Rep. 2025 Apr 24;15(1):14384. doi: 10.1038/s41598-025-99336-7.

Abstract

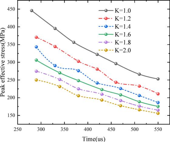
The inherent characteristics of plateau stress impose constraints on the expansion of rock cracks induced by blasting operations. Utilizing decoupling blasting in deep rock excavation projects can significantly alter the outcomes of rock blasting. This study conducted comprehensive analyses for investigating the impacts of both concentric and eccentric decoupling on rock damage with the aim of identifying the optimal concentric/eccentric decoupling coefficient (DC). Special attention was given to numerically evaluating the mechanical response characteristics of the DC under conditions of biaxial and anisotropic stress during single-hole blasting. The study also explored the influences exerted by lateral pressure coefficient (LPC), burial depth, and hole configuration on the propagation of rock cracks. The findings reveal that under the combined influence of equal biaxial in-situ stress (ISS) and explosive loading, the inhibitory effect on crack propagation becomes more pronounced as ISS increases. Concurrently, both radial and circumferential compressive stresses show a general upward trend, alongside a reduction in the damage range. A rise of the transverse pressure coefficient causes both radial and circumferential stresses to rise, with cracks generated by blasting tending to expand preferentially in the direction of higher stress. When the burial depth reaches 1000 m and the LPC ranges between 0.25 and 3.0, joint cracks can be formed. Furthermore, when the angle between the centerline of adjacent boreholes and the horizontal direction ranges from 0° to 45°, the cracks between boreholes interconnect; however, at angles from 60° to 90°, the cracks do not penetrate. Notably, increases in burial depth and angle are found to increasingly restrict the penetration of cracks between holes. These results provide valuable insights for predicting and optimizing rock blasting behavior.

摘要

高原应力的固有特性对爆破作业引起的岩石裂缝扩展施加了限制。在深部岩石开挖工程中采用不耦合爆破可显著改变岩石爆破的效果。本研究进行了全面分析,以调查同心和偏心不耦合对岩石损伤的影响,目的是确定最佳同心/偏心不耦合系数(DC)。特别关注在单孔爆破的双轴和各向异性应力条件下对DC的力学响应特性进行数值评估。该研究还探讨了侧压力系数(LPC)、埋深和炮孔布置对岩石裂缝扩展的影响。研究结果表明,在等双轴地应力(ISS)和炸药荷载的共同影响下,随着ISS的增加,对裂缝扩展的抑制作用更加明显。同时,径向和环向压应力总体呈上升趋势,损伤范围减小。横向压力系数的增加导致径向和环向应力均上升,爆破产生的裂缝倾向于在较高应力方向优先扩展。当埋深达到1000 m且LPC在0.25至3.0之间时,可形成节理裂缝。此外,当相邻炮孔中心线与水平方向的夹角在0°至45°之间时,炮孔之间的裂缝相互连通;然而,在60°至90°的角度下,裂缝不贯通。值得注意的是,发现埋深和角度的增加越来越限制孔间裂缝的贯通。这些结果为预测和优化岩石爆破行为提供了有价值的见解。

https://cdn.ncbi.nlm.nih.gov/pmc/blobs/5425/12022138/b5042da2a687/41598_2025_99336_Fig1_HTML.jpg

文献AI研究员

20分钟写一篇综述,助力文献阅读效率提升50倍。

立即体验

用中文搜PubMed

大模型驱动的PubMed中文搜索引擎

马上搜索

文档翻译

学术文献翻译模型,支持多种主流文档格式。

立即体验