Vinagre Filipe, Alegria Maria João, Ferreira Andreia Sousa, Nunes Cláudia, Nunes Maria Cristiana, Raymundo Anabela
LEAF-Linking Landscape, Environment, Agriculture and Food Research Center, Associate Laboratory TERRA, School of Agriculture, University of Lisbon, Tapada da Ajuda, 1349-017 Lisbon, Portugal.
SUMOL + COMPAL Marcas S.A., 2780-179 Carnaxide, Portugal.
Gels. 2025 Apr 15;11(4):290. doi: 10.3390/gels11040290.
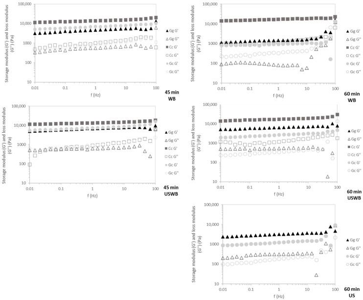
The growing demand for sustainable and nutrient-rich food sources has positioned macroalgae as a promising alternative for food product development. This study investigates the extraction and characterization of hydrocolloids from three red macroalgae species (, , and ) using water bath (WB), ultrasound (US), and hybrid ultrasound-water bath (USWB) treatments for 45 and 60 min. The physicochemical properties of the extracts, including rheological behavior, particle size distribution, antioxidant activity, and texture, were assessed. The results show that produced the firmest gels due to its high carrageenan content, with WB and USWB treatments yielding the most stable gel structures. In contrast, and exhibited lower gel strength, consistent with their agar composition. WB-treated samples demonstrated superior antioxidant retention, while US treatment was more effective in preserving color stability. The findings highlight macroalgae as a viable and sustainable alternative to conventional hydrocolloids, reinforcing their potential as natural gelling agents, thickeners, and stabilizers for the food and pharmaceutical industries. This study provides a comparative evaluation of WB, US, and USWB extraction methods, offering insights into optimizing hydrocolloid extraction for enhanced functionality and sustainability.
对可持续且营养丰富的食物来源的需求不断增长,这使大型海藻成为食品开发中一种有前景的替代物。本研究调查了使用水浴(WB)、超声(US)以及超声 - 水浴联合(USWB)处理45分钟和60分钟从三种红色大型海藻物种( 、 和 )中提取水胶体并对其进行表征。评估了提取物的物理化学性质,包括流变行为、粒度分布、抗氧化活性和质地。结果表明,由于其高卡拉胶含量, 产生了最坚固的凝胶,WB和USWB处理产生了最稳定的凝胶结构。相比之下, 和 表现出较低的凝胶强度,这与其琼脂成分一致。经WB处理的样品表现出更好的抗氧化剂保留能力,而US处理在保持颜色稳定性方面更有效。这些发现突出了大型海藻作为传统水胶体的可行且可持续的替代品,增强了它们作为食品和制药行业天然胶凝剂、增稠剂和稳定剂的潜力。本研究提供了对WB、US和USWB提取方法的比较评估,为优化水胶体提取以增强功能和可持续性提供了见解。