• 文献检索
  • 文档翻译
  • 深度研究
  • 学术资讯
  • Suppr Zotero 插件Zotero 插件
  • 邀请有礼
  • 套餐&价格
  • 历史记录
应用&插件
Suppr Zotero 插件Zotero 插件浏览器插件Mac 客户端Windows 客户端微信小程序
定价
高级版会员购买积分包购买API积分包
服务
文献检索文档翻译深度研究API 文档MCP 服务
关于我们
关于 Suppr公司介绍联系我们用户协议隐私条款
关注我们

Suppr 超能文献

核心技术专利:CN118964589B侵权必究
粤ICP备2023148730 号-1Suppr @ 2026

文献检索

告别复杂PubMed语法,用中文像聊天一样搜索,搜遍4000万医学文献。AI智能推荐,让科研检索更轻松。

立即免费搜索

文件翻译

保留排版,准确专业,支持PDF/Word/PPT等文件格式,支持 12+语言互译。

免费翻译文档

深度研究

AI帮你快速写综述,25分钟生成高质量综述,智能提取关键信息,辅助科研写作。

立即免费体验

经导管主动脉瓣植入术后未经治疗的中度二尖瓣反流的演变

Evolution of Untreated Moderate Mitral Regurgitation After Transcatheter Aortic Valve Implantation.

作者信息

Baudo Massimo, Sicouri Serge, Cabrucci Francesco, Yamashita Yoshiyuki, Magouliotis Dimitrios E, Carnila Sarah M, Abramson Sandra V, Hawthorne Katie M, Jarrett Harish, Rodriguez Roberto, Goldman Scott M, Coady Paul M, Gnall Eric M, Gray William A, Gelsomino Sandro, Ramlawi Basel

机构信息

Department of Cardiac Surgery Research, Lankenau Institute for Medical Research, Main Line Health, Wynnewood, PA 19096, USA.

Department of Cardiac Surgery, Lankenau Heart Institute, Main Line Health, Wynnewood, PA 19096, USA.

出版信息

Medicina (Kaunas). 2025 Apr 9;61(4):686. doi: 10.3390/medicina61040686.

DOI:10.3390/medicina61040686
PMID:40282977
原文链接:https://pmc.ncbi.nlm.nih.gov/articles/PMC12028619/
Abstract

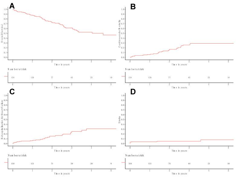
: Associated mitral regurgitation (MR) is frequently observed during transcatheter aortic valve implantation (TAVI). The progression of moderate MR remains undetermined, given uncertain clinical significance and natural history. This study aims to assess the evolution of moderate MR following TAVI. : Between 2018 and 2023, 1476 patients underwent TAVI. We excluded those with previous aortic or mitral valve interventions, endocarditis, concomitant percutaneous coronary intervention, or emergent procedures. Patients with severe aortic or tricuspid regurgitation or significant mitral stenosis were excluded. Ultimately, only patients with moderate MR were included, resulting in a final population of 154 patients. : Mean age was 81.4 ± 7.8 years, 48.1% (74/154) were female, and 48.1% (74/154) were functional MR. There was one surgical conversion due to annular rupture. Thirty-day mortality was 1.9% (3/154). Postoperative echocardiography showed 38 (24.7%) patients with none/trace MR, 91 (59.1%) with mild MR, 22 (14.3%) with moderate MR, and 3 (1.9%) with severe MR. Finally, according to the echocardiographic follow-up [median follow-up 1.0 (IQR: 0.1-1.2) years], 20.1% (31/154) had no/trace MR, 39.6% (61/154) had mild MR, 35.7% (55/154) had moderate MR, and 4.5% (7/154) had severe MR. Overall, 67 (43.5%) patients had any MR grade progression, 62 (40.3%) had stable disease, and 25 (16.2%) had any MR grade reduction at the last follow-up from the operation. No difference in MR evolution was seen between functional and primary MR. : Concomitant moderate MR during TAVI has a variable evolution over time. A more detailed characterization of patients with preoperative moderate MR undergoing TAVI is necessary to identify those with a disease progression risk.

摘要

经导管主动脉瓣植入术(TAVI)期间经常观察到合并二尖瓣反流(MR)。鉴于临床意义和自然病史不确定,中度MR的进展情况仍未明确。本研究旨在评估TAVI后中度MR的演变情况。

2018年至2023年期间,1476例患者接受了TAVI。我们排除了既往有主动脉或二尖瓣干预、心内膜炎、同期经皮冠状动脉介入治疗或急诊手术的患者。排除有严重主动脉或三尖瓣反流或显著二尖瓣狭窄的患者。最终,仅纳入中度MR患者,最终研究人群为154例患者。

平均年龄为81.4±7.8岁,48.1%(74/154)为女性,48.1%(74/154)为功能性MR。有1例因瓣环破裂转为外科手术。30天死亡率为1.9%(3/154)。术后超声心动图显示,38例(24.7%)患者无/微量MR,91例(59.1%)有轻度MR,22例(14.3%)有中度MR,3例(1.9%)有重度MR。最后,根据超声心动图随访[中位随访时间1.0(IQR:0.1 - 1.2)年],20.1%(31/154)无/微量MR,39.6%(61/154)有轻度MR,35.7%(55/154)有中度MR,4.5%(7/154)有重度MR。总体而言,67例(43.5%)患者有任何MR分级进展,62例(40.3%)病情稳定,25例(16.2%)在末次随访时与手术时相比有任何MR分级降低。功能性MR和原发性MR在MR演变方面未见差异。

TAVI期间合并的中度MR随时间有不同的演变情况。对于接受TAVI的术前中度MR患者,需要更详细的特征描述以识别有疾病进展风险的患者。

https://cdn.ncbi.nlm.nih.gov/pmc/blobs/66a4/12028619/45c25f67f14b/medicina-61-00686-g003.jpg
https://cdn.ncbi.nlm.nih.gov/pmc/blobs/66a4/12028619/fadf85c5efa5/medicina-61-00686-g001.jpg
https://cdn.ncbi.nlm.nih.gov/pmc/blobs/66a4/12028619/5c7a155d9458/medicina-61-00686-g002.jpg
https://cdn.ncbi.nlm.nih.gov/pmc/blobs/66a4/12028619/45c25f67f14b/medicina-61-00686-g003.jpg
https://cdn.ncbi.nlm.nih.gov/pmc/blobs/66a4/12028619/fadf85c5efa5/medicina-61-00686-g001.jpg
https://cdn.ncbi.nlm.nih.gov/pmc/blobs/66a4/12028619/5c7a155d9458/medicina-61-00686-g002.jpg
https://cdn.ncbi.nlm.nih.gov/pmc/blobs/66a4/12028619/45c25f67f14b/medicina-61-00686-g003.jpg

相似文献

1
Evolution of Untreated Moderate Mitral Regurgitation After Transcatheter Aortic Valve Implantation.经导管主动脉瓣植入术后未经治疗的中度二尖瓣反流的演变
Medicina (Kaunas). 2025 Apr 9;61(4):686. doi: 10.3390/medicina61040686.
2
Tricuspid but not Mitral Regurgitation Determines Mortality After TAVI in Patients With Nonsevere Mitral Regurgitation.三尖瓣反流而非二尖瓣反流决定了非重度二尖瓣反流患者经导管主动脉瓣置换术后的死亡率。
Rev Esp Cardiol (Engl Ed). 2018 May;71(5):357-364. doi: 10.1016/j.rec.2017.08.019. Epub 2017 Oct 27.
3
Transcatheter aortic valve implantation reduces grade of concomitant mitral and tricuspid valve regurgitation and pulmonary hypertension.经导管主动脉瓣植入术可降低二尖瓣和三尖瓣反流程度以及肺动脉高压。
Eur J Cardiothorac Surg. 2014 Nov;46(5):818-24. doi: 10.1093/ejcts/ezu037. Epub 2014 Feb 26.
4
Transcatheter aortic valve implantation in patients with concomitant mitral and tricuspid regurgitation.经导管主动脉瓣植入术治疗合并二尖瓣和三尖瓣反流的患者。
Ann Thorac Surg. 2013 Jan;95(1):77-84. doi: 10.1016/j.athoracsur.2012.08.030. Epub 2012 Oct 11.
5
The impact of transcatheter aortic valve implantation (TAVI) on mitral regurgitation - a single center study.经导管主动脉瓣植入术(TAVI)对二尖瓣反流的影响——一项单中心研究
Cardiol J. 2024;31(6):833-842. doi: 10.5603/cj.98792. Epub 2024 Aug 7.
6
Prognostic Impact of Residual Moderate Mitral Regurgitation Following Valve-in-Valve Transcatheter Aortic Valve Implantation.经导管主动脉瓣置换术后残余中度二尖瓣反流的预后影响。
Braz J Cardiovasc Surg. 2023 Oct 27;39(1):e20230012. doi: 10.21470/1678-9741-2023-0012.
7
Prognostic impact and change of concomitant mitral regurgitation after surgical or transcatheter aortic valve replacement for aortic stenosis.主动脉瓣狭窄行外科或经导管主动脉瓣置换术后合并二尖瓣反流的预后影响及变化
J Cardiol. 2016 Jun;67(6):526-30. doi: 10.1016/j.jjcc.2016.02.001. Epub 2016 Mar 11.
8
Impact of Transcatheter Aortic Valve Implantation Among Patients With Co-existing Mild to Moderate Mitral Regurgitation.经导管主动脉瓣植入术在同时存在轻度至中度二尖瓣反流患者中的影响。
Am J Cardiol. 2022 Aug 15;177:84-89. doi: 10.1016/j.amjcard.2022.04.049. Epub 2022 Jun 19.
9
The beneficial effects of TAVI in mitral insufficiency.经导管主动脉瓣置入术治疗二尖瓣关闭不全的有益效果。
Cardiovasc Ultrasound. 2015 Dec 30;13:49. doi: 10.1186/s12947-015-0040-5.
10
Degenerative mitral regurgitation predicts worse outcomes in patients undergoing transcatheter aortic valve replacement.退行性二尖瓣反流会增加行经导管主动脉瓣置换术患者的不良预后。
Catheter Cardiovasc Interv. 2018 Sep 1;92(3):574-582. doi: 10.1002/ccd.27607. Epub 2018 Mar 30.

本文引用的文献

1
Prognostic Impact of Residual Moderate Mitral Regurgitation Following Valve-in-Valve Transcatheter Aortic Valve Implantation.经导管主动脉瓣置换术后残余中度二尖瓣反流的预后影响。
Braz J Cardiovasc Surg. 2023 Oct 27;39(1):e20230012. doi: 10.21470/1678-9741-2023-0012.
2
Impact of mitral regurgitation aetiology on the outcomes of transcatheter aortic valve implantation.二尖瓣反流病因对经导管主动脉瓣植入术结局的影响。
EuroIntervention. 2023 Aug 21;19(6):526-536. doi: 10.4244/EIJ-D-22-01062.
3
Outcomes of Transcatheter Aortic Valve Replacement in Patients With Concomitant Aortic Regurgitation.
经导管主动脉瓣置换术治疗合并主动脉瓣反流患者的结局。
Ann Thorac Surg. 2023 Oct;116(4):728-734. doi: 10.1016/j.athoracsur.2023.02.008. Epub 2023 Feb 14.
4
Impact of Transcatheter Aortic Valve Implantation Among Patients With Co-existing Mild to Moderate Mitral Regurgitation.经导管主动脉瓣植入术在同时存在轻度至中度二尖瓣反流患者中的影响。
Am J Cardiol. 2022 Aug 15;177:84-89. doi: 10.1016/j.amjcard.2022.04.049. Epub 2022 Jun 19.
5
Prognostic relevance of B-type natriuretic peptide in patients with moderate mixed aortic valve disease.B 型利钠肽在中度混合性主动脉瓣疾病患者中的预后相关性。
ESC Heart Fail. 2022 Aug;9(4):2474-2483. doi: 10.1002/ehf2.13946. Epub 2022 May 11.
6
2021 ESC/EACTS Guidelines for the management of valvular heart disease.2021年欧洲心脏病学会/欧洲心胸外科学会瓣膜性心脏病管理指南。
Eur Heart J. 2022 Feb 12;43(7):561-632. doi: 10.1093/eurheartj/ehab395.
7
Effect of Transcatheter Aortic Valve Replacement on Concomitant Mitral Regurgitation and Its Impact on Mortality.经导管主动脉瓣置换术对合并二尖瓣反流的影响及其对死亡率的影响。
JACC Cardiovasc Interv. 2021 Jun 14;14(11):1181-1192. doi: 10.1016/j.jcin.2021.02.030. Epub 2021 May 12.
8
2020 ACC/AHA Guideline for the Management of Patients With Valvular Heart Disease: A Report of the American College of Cardiology/American Heart Association Joint Committee on Clinical Practice Guidelines.2020美国心脏病学会/美国心脏协会瓣膜性心脏病患者管理指南:美国心脏病学会/美国心脏协会临床实践指南联合委员会报告
Circulation. 2021 Feb 2;143(5):e72-e227. doi: 10.1161/CIR.0000000000000923. Epub 2020 Dec 17.
9
Impact of transcatheter aortic valve implantation on coexistent mitral regurgitation parameters.经导管主动脉瓣植入术对并存二尖瓣反流参数的影响。
Kardiol Pol. 2021 Feb 25;79(2):179-184. doi: 10.33963/KP.15680. Epub 2020 Nov 6.
10
Impact of Combined Pre and Postcapillary Pulmonary Hypertension on Survival after Transcatheter Aortic Valve Implantation.肺动脉高压(毛细血管前和毛细血管后)对经导管主动脉瓣植入术后生存的影响。
Am J Cardiol. 2020 Sep 15;131:60-66. doi: 10.1016/j.amjcard.2020.06.037. Epub 2020 Jun 30.