Suppr超能文献

用于制备有机固态超级电容器的基于卤化金属酞菁(铟酞菁氯和铜酞菁氟)的电极及棕榈基底的研究

Investigation of Halogenated Metallic Phthalocyanine (InPcCl and FCuPc)-Based Electrodes and Palm Substrate for Organic Solid-State Supercapacitor Fabrication.

作者信息

Sánchez Vergara María Elena, Sánchez Moore Héctor Iván, Cantera-Cantera Luis Alberto

机构信息

Faculty of Engineering, Universidad Anáhuac México, Av. Universidad Anáhuac 46, Col. Lomas Anáhuac, Huixquilucan 52786, Mexico.

Polytechnic University of Cuautitlán Izcalli, Av. Lago de Guadalupe, Colonia Lomas de San Francisco Tepojaco, Cuautitlán Izcalli 54720, Mexico.

出版信息

Micromachines (Basel). 2025 Apr 11;16(4):455. doi: 10.3390/mi16040455.

Abstract

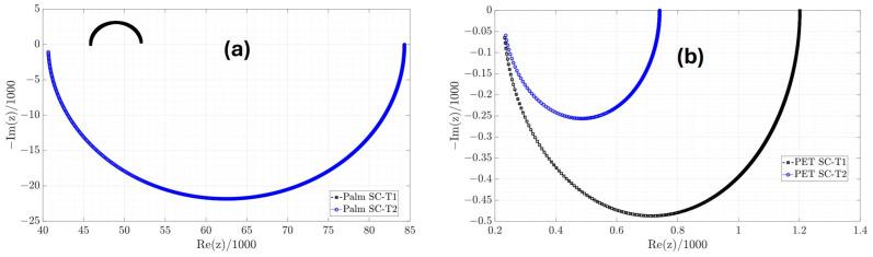
In this work, we report on the fabrication of a novel Organic Double-Layer Supercapacitor (ODLSC) using recycled palm as the substrate and electrodes based on halogenated indium and copper phthalocyanines. The electrodes were characterized using Reflectance, the Kulbeka-Munk function, and Fluorescence. Finally, their electrical behavior was evaluated, and the results were compared with those obtained for a more conventional supercapacitor fabricated on polyethylene terephthalate substrate and using indium tin oxide film for electrodes. Based on the experimental measurements of the fabricated ODLSC, the parameter identification of the classical equivalent circuit model was carried out using the Least Squares of Orthogonal Distances (LSOD) algorithm. The results indicated that the palm supercapacitor exhibited behavior more like that of traditional supercapacitors, as the root square mean error (RMSE) values in the model approximation of the experimental data were in the order of 10-7. Furthermore, the models obtained allowed a determination of the device's Electrical Impedance Spectroscopy (EIS), revealing that the Palm SC-T1 exhibited capacitive behavior. In contrast, the manufactured Palm SC-T2, PET SC-T1, and PET SC-T2 devices exhibited inductive behavior. All the materials used in this work, such as the substrates, electrodes, separator membranes, and electrolytes, have a high potential to be used in organic supercapacitors.

摘要

在这项工作中,我们报告了一种新型有机双层超级电容器(ODLSC)的制备,该超级电容器使用回收棕榈作为基底,并以卤化铟和铜酞菁为电极。使用反射率、库尔贝卡-蒙克函数和荧光对电极进行了表征。最后,评估了它们的电学行为,并将结果与在聚对苯二甲酸乙二酯基底上制备且使用氧化铟锡薄膜作为电极的更传统超级电容器所获得的结果进行了比较。基于所制备的ODLSC的实验测量结果,使用正交距离最小二乘法(LSOD)算法对经典等效电路模型进行了参数识别。结果表明,棕榈超级电容器表现出更类似于传统超级电容器的行为,因为在实验数据的模型近似中,均方根误差(RMSE)值约为10⁻⁷。此外,所获得的模型使得能够确定该器件的电化学阻抗谱(EIS),结果表明棕榈SC-T1表现出电容性行为。相比之下,所制造的棕榈SC-T2、PET SC-T1和PET SC-T2器件表现出电感性行为。这项工作中使用的所有材料,如基底、电极、隔膜和电解质,在有机超级电容器中都具有很高的应用潜力。

https://cdn.ncbi.nlm.nih.gov/pmc/blobs/215b/12029415/3d1a69b56041/micromachines-16-00455-g001.jpg

文献检索

告别复杂PubMed语法,用中文像聊天一样搜索,搜遍4000万医学文献。AI智能推荐,让科研检索更轻松。

立即免费搜索

文件翻译

保留排版,准确专业,支持PDF/Word/PPT等文件格式,支持 12+语言互译。

免费翻译文档

深度研究

AI帮你快速写综述,25分钟生成高质量综述,智能提取关键信息,辅助科研写作。

立即免费体验