Suppr超能文献

利用国际龋病检测与评估系统(ICDAS)比较不同放大倍数的电子学习模块在检测恒牙咬合面龋方面的有效性:一项离体研究。

Comparing the effectiveness of an e-learning module at different levels of magnification for detecting occlusal caries in permanent teeth, utilizing the international caries detection and assessment system (ICDAS): an ex vivo study.

作者信息

Byju Mary, Mala Kundabala, Natarajan Srikant, Thomas Manuel S, Parolia Abhishek

机构信息

Private practitioner, Root canal home, Family Dental Clinic, Vandanam, Alappuzha, Kerala, 688005, India.

Department of Conservative Dentistry and Endodontics, Manipal College of Dental Sciences Mangalore, Affiliated to Manipal Academy of Higher Education, Manipal, Karnataka, 576104, India.

出版信息

BDJ Open. 2025 Apr 28;11(1):43. doi: 10.1038/s41405-025-00323-x.

Abstract

OBJECTIVE

The purpose of this study was to compare the effectiveness of low and high magnifications in detecting occlusal caries in permanent posterior teeth using the International Caries Detection and Assessment System (ICDAS) II criteria through the ICDAS e-learning program.

MATERIALS AND METHODS

Forty extracted permanent posterior teeth were used. Two examiners received e-learning training on the ICDAS webpage for detecting occlusal caries before visual examinations. Visual inspections were performed under ×2.5 magnification with a magnifying loupe and ×25 magnification with a dental surgical microscope within a week. The ICDAS scores assigned by both examiners were validated by an ICDAS expert. The visual assessment results were compared with the histological analysis results using Downer's criteria as the gold standard.

RESULTS

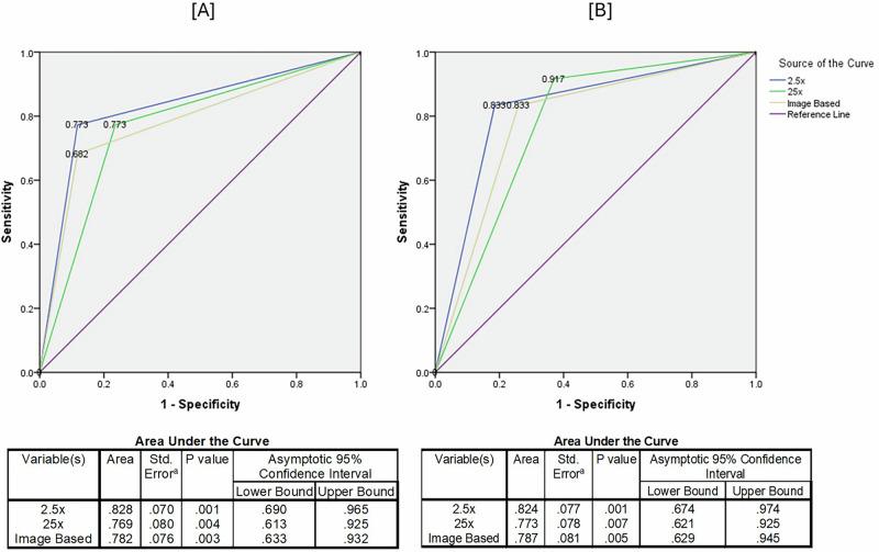
Inter-examiner reliability for ICDAS-II scoring at low magnification (×2.5 loupe) and high magnification (×25 operating microscope) was moderate. However, the lenient (binary) criteria showed substantial agreement at both magnifications. Specificity was highest for both the low and high treatment thresholds (88.2% and 81.5%, respectively) at low magnification, whereas sensitivity peaked at high magnification for the high treatment threshold criterion (91.7%). Image-based ICDAS scoring by an expert also demonstrated good diagnostic accuracy (76.9%), though it was not superior to ICDAS scoring performed under ×2.5 magnification (82.1%).

CONCLUSION

The ICDAS-II score, particularly the lenient criterion, demonstrated a strong correlation with histological depth. The e-learning program effectively equips dentists with diagnostic skills. Extreme magnification resulted in the overestimation of dental caries, whereas low magnification (2.5x) resulted in greater diagnostic accuracy.

摘要

目的

本研究旨在通过国际龋病检测与评估系统(ICDAS)II标准,利用ICDAS电子学习程序,比较低倍和高倍放大在检测恒牙后牙咬合面龋方面的有效性。

材料与方法

使用40颗拔除的恒牙后牙。两名检查者在进行视觉检查前,在ICDAS网页上接受了关于检测咬合面龋的电子学习培训。在一周内,使用放大镜在2.5倍放大倍数下和牙科手术显微镜在25倍放大倍数下进行视觉检查。两名检查者给出的ICDAS评分由一位ICDAS专家进行验证。以唐纳标准作为金标准,将视觉评估结果与组织学分析结果进行比较。

结果

低倍放大(2.5倍放大镜)和高倍放大(25倍手术显微镜)下ICDAS-II评分的检查者间可靠性为中等。然而,宽松(二元)标准在两种放大倍数下均显示出高度一致性。低倍放大时,低治疗阈值和高治疗阈值的特异性最高(分别为88.2%和81.5%),而高治疗阈值标准的敏感性在高倍放大时达到峰值(91.7%)。专家基于图像的ICDAS评分也显示出良好的诊断准确性(76.9%),尽管它并不优于在2.5倍放大倍数下进行的ICDAS评分(82.1%)。

结论

ICDAS-II评分,尤其是宽松标准,与组织学深度显示出强相关性。电子学习程序有效地使牙医具备了诊断技能。极高的放大倍数导致对龋齿的高估,而低倍放大(2.5倍)则带来更高的诊断准确性。

https://cdn.ncbi.nlm.nih.gov/pmc/blobs/7289/12037830/f6bb2a0f46d2/41405_2025_323_Fig1_HTML.jpg

文献AI研究员

20分钟写一篇综述,助力文献阅读效率提升50倍。

立即体验

用中文搜PubMed

大模型驱动的PubMed中文搜索引擎

马上搜索

文档翻译

学术文献翻译模型,支持多种主流文档格式。

立即体验