Suppr超能文献

不可逆电穿孔(IRE)和经动脉化疗栓塞术(TACE)治疗不可切除的极早期和早期肝细胞癌的临床及安全性结果:一项系统文献综述和荟萃分析

Clinical and safety outcomes in unresectable, very early and early-stage hepatocellular carcinoma following Irreversible Electroporation (IRE) and Transarterial Chemoembolization (TACE): A systematic literature review and meta-analysis.

作者信息

Cribbs Kristen A, Baisley Wesley T, Lahue Betsy J, Peddu Praveen

机构信息

Alkemi LLC, Manchester Center, Vermont, United States of America.

Department of Clinical and Diagnostic Services, King's College London, London, United Kingdom.

出版信息

PLoS One. 2025 Apr 29;20(4):e0322113. doi: 10.1371/journal.pone.0322113. eCollection 2025.

Abstract

BACKGROUND

Locoregional treatments for early-stage unresectable hepatocellular carcinoma (HCC) are widely used, with irreversible electroporation (IRE) and transarterial chemoembolization (TACE) representing two non-thermal treatment options. However, to date, no systematic evaluations of these technologies have been conducted. This study sought to comparatively assess the safety and effectiveness of IRE and TACE for the treatment of very early and early-stage, inoperable HCC via systematic literature reviews (SLRs) and meta-analyses.

METHODOLOGY

Searches were conducted targeting English-language publications and congress proceedings of clinical trials and observational studies from January 1, 2012 to December 21, 2023 that reported effectiveness and safety outcomes (tumor response, progression-free survival (PFS), adverse events (AE)) for IRE and TACE. Two reviewers independently assessed eligibility and abstracted data. For each procedure, meta-analyses were conducted to assess tumor response by follow-up time point, as data permitted, and other outcomes were descriptively analyzed; Quality and risk of bias assessments were performed.

RESULTS

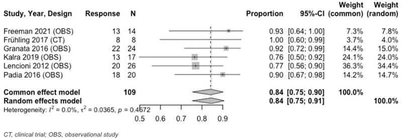
12 IRE publications (195 patients) and 33 TACE publications (6,899 patients) met eligibility criteria. During 0 to < 3 month follow-up, complete response was achieved in 84% of IRE patients vs. 68% for TACE (all results at 1-month); a proportion that increased at 3 to < 6 months (91% IRE vs. 41% TACE). Median PFS was 10.4 months for IRE and 19-30 months for TACE. Serious AEs (SAEs) were experienced by 4% vs. 5% of IRE and TACE patients, respectively.

CONCLUSION

Both IRE and TACE are safe and effective non-thermal treatments for unresectable, very early and early-stage HCC. The high rate of short-term complete response observed for IRE, coupled with a low SAE rate, may support the broader adoption of this procedure in this patient population.

摘要

背景

局部区域治疗广泛应用于早期不可切除的肝细胞癌(HCC),不可逆电穿孔(IRE)和经动脉化疗栓塞(TACE)是两种非热疗治疗选择。然而,迄今为止,尚未对这些技术进行系统评估。本研究旨在通过系统文献综述(SLR)和荟萃分析,比较评估IRE和TACE治疗极早期和早期不可手术切除HCC的安全性和有效性。

方法

检索2012年1月1日至2023年12月21日期间报告IRE和TACE有效性和安全性结果(肿瘤反应、无进展生存期(PFS)、不良事件(AE))的英文临床试验和观察性研究出版物及会议记录。两名评审员独立评估入选资格并提取数据。对于每个程序,在数据允许的情况下,通过随访时间点进行荟萃分析以评估肿瘤反应,对其他结果进行描述性分析;进行质量和偏倚风险评估。

结果

12篇IRE出版物(195例患者)和33篇TACE出版物(6899例患者)符合入选标准。在0至<3个月的随访期间,IRE患者的完全缓解率为84%,TACE患者为68%(所有结果均为1个月时);这一比例在3至<6个月时增加(IRE为91%,TACE为41%)。IRE患者的中位PFS为10.4个月,TACE患者为19 - 30个月。IRE和TACE患者分别有4%和5%发生严重不良事件(SAE)。

结论

IRE和TACE都是治疗不可切除的极早期和早期HCC的安全有效的非热疗方法。IRE观察到的短期完全缓解率高,且严重不良事件发生率低,这可能支持该方法在这一患者群体中更广泛的应用。

https://cdn.ncbi.nlm.nih.gov/pmc/blobs/c398/12083900/573f69032f22/pone.0322113.g001.jpg

文献检索

告别复杂PubMed语法,用中文像聊天一样搜索,搜遍4000万医学文献。AI智能推荐,让科研检索更轻松。

立即免费搜索

文件翻译

保留排版,准确专业,支持PDF/Word/PPT等文件格式,支持 12+语言互译。

免费翻译文档

深度研究

AI帮你快速写综述,25分钟生成高质量综述,智能提取关键信息,辅助科研写作。

立即免费体验