Suppr超能文献

利用倾向评分分析比较射频消融、微波消融和不可逆电穿孔治疗早期肝细胞癌的疗效

Comparisons of Radiofrequency Ablation, Microwave Ablation, and Irreversible Electroporation by Using Propensity Score Analysis for Early Stage Hepatocellular Carcinoma.

作者信息

Wada Takuya, Sugimoto Katsutoshi, Sakamaki Kentaro, Takahashi Hiroshi, Kakegawa Tatsuya, Tomita Yusuke, Abe Masakazu, Yoshimasu Yu, Takeuchi Hirohito, Itoi Takao

机构信息

Department of Gastroenterology and Hepatology, Tokyo Medical University, 6-7-1 Nishishinjuku, Shinjuku-ku, Tokyo 160-0023, Japan.

Center for Data Science, Yokohama City University, 22-2 Seto, Kanazawa-ku, Yokohama-shi 236-0027, Kanagawa, Japan.

出版信息

Cancers (Basel). 2023 Jan 25;15(3):732. doi: 10.3390/cancers15030732.

Abstract

BACKGROUND

Despite the diversity of thermal ablations, such as radiofrequency ablation (RFA) and microwave ablation (MWA), and non-thermal ablation, such as irreversible electroporation (IRE) cross-comparisons of multiple ablative modalities for hepatocellular carcinoma (HCC) treatment remain scarce. Thus, we investigated the therapeutic outcomes of different three ablation modalities in the treatment of early stage HCC.

METHODS

A total of 322 consecutive patients with 366 HCCs (mean tumor size ± standard deviation: 1.7 ± 0.9 cm) who underwent RFA (n = 216, 59.0%), MWA (n = 91, 28.3%), or IRE (n = 15, 4.7%) were included. Local tumor progression (LTP) rates for LTP were compared among the three modalities. Propensity score-matched analysis was used to reduce selection bias.

RESULTS

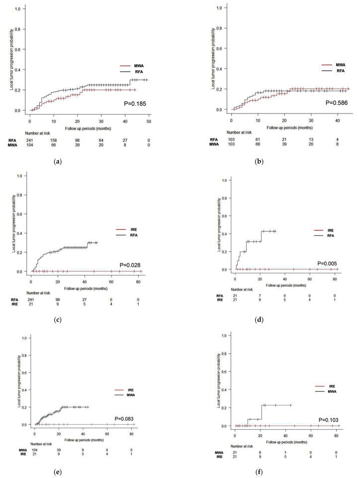
A significant difference in 2-year LTP rates between the IRE and RFA groups (IRE, 0.0% vs. RFA, 45.0%; = 0.005) was found. There was no significant difference in 2-year LTP rates between the IRE and MWA groups (IRE, 0.0% vs. MWA, 25.0%; = 0.103) as well as between the RFA and MWA groups (RFA, 18.2% vs. MWA, 20.6%; = 0.586).

CONCLUSION

IRE provides better local tumor control than RFA as a first-line therapeutic option for small perivascular HCC.

摘要

背景

尽管热消融(如射频消融[RFA]和微波消融[MWA])以及非热消融(如不可逆电穿孔[IRE])方法多样,但针对肝细胞癌(HCC)治疗的多种消融方式的交叉比较仍然很少。因此,我们研究了不同的三种消融方式在早期HCC治疗中的疗效。

方法

共有322例连续患者,其366个HCC(平均肿瘤大小±标准差:1.7±0.9 cm)接受了RFA(n = 216,59.0%)、MWA(n = 91,28.3%)或IRE(n = 15,4.7%)治疗。比较了三种方式的局部肿瘤进展(LTP)率。采用倾向评分匹配分析以减少选择偏倚。

结果

发现IRE组和RFA组之间2年LTP率存在显著差异(IRE,0.0%对RFA,45.0%;P = 0.005)。IRE组和MWA组之间以及RFA组和MWA组之间2年LTP率均无显著差异(IRE,0.0%对MWA,25.0%;P = 0.103;RFA,18.2%对MWA,20.6%;P = 0.586)。

结论

对于小的血管周围HCC,IRE作为一线治疗选择比RFA能提供更好的局部肿瘤控制。

https://cdn.ncbi.nlm.nih.gov/pmc/blobs/4bdf/9913859/01f5efc1b770/cancers-15-00732-g001.jpg

文献检索

告别复杂PubMed语法,用中文像聊天一样搜索,搜遍4000万医学文献。AI智能推荐,让科研检索更轻松。

立即免费搜索

文件翻译

保留排版,准确专业,支持PDF/Word/PPT等文件格式,支持 12+语言互译。

免费翻译文档

深度研究

AI帮你快速写综述,25分钟生成高质量综述,智能提取关键信息,辅助科研写作。

立即免费体验