Chen Jianwei, Zhao Hu, He Yang, Lin Chen, Wang Yu
Department of General Surgery, Fuzong Clinical Medical College of Fujian Medical University, 900th Hospital of PLA Joint Logistic Support Force, Fuzhou, China.
Ren Fail. 2025 Dec;47(1):2488138. doi: 10.1080/0886022X.2025.2488138. Epub 2025 Apr 29.
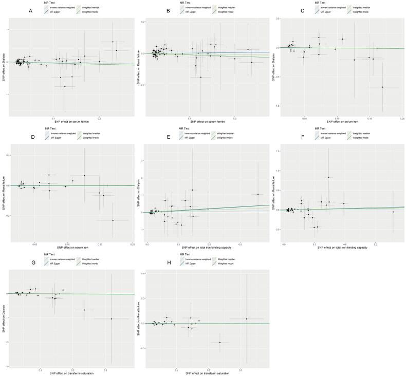
Iron status and uremia have been linked, but the causality remains ambiguous. This bidirectional study aimed to explore the causal association between genetically predicted iron status and uremia. Utilizing summary data from genome-wide association studies (GWAS) of iron status and uremia, a two-sample Mendelian Randomization (MR) design was employed. Iron status was assessed through serum iron (SI), serum ferritin (SF), total iron-binding capacity (TIBC), and transferrin saturation (TS), while uremia included renal failure and dialysis. The primary analysis was conducted using the Inverse Variance Weighted (IVW) method. Additional MR evaluation included the weighted median, weighted mode, simple mode, and MR-Egger regression methods. Sensitivity analysis included MR-Egger for pleiotropy, MR-PRESSO for detecting outliers, Cochran's Q test for heterogeneity, and leave-one-out analysis for robustness. Genetically determined iron status did not have a causal effect on the risk of uremia (renal failure or dialysis). The primary IVW results indicated no statistically significant relationship between iron status and uremia (all > 0.05). Consistent results were found through various methods. Similarly, there were no significant causal effects of uremia on iron status (all > 0.05). Heterogeneity was observed in some associations, but pleiotropy was generally not evident. This bidirectional MR study provides no evidence for a causal relationship between genetically predicted iron status and the risk of uremia. These findings challenge prior observational associations and highlight the need for further mechanistic and interventional studies to elucidate the complex interplay between iron metabolism and kidney disease.
铁状态与尿毒症之间存在关联,但因果关系仍不明确。这项双向研究旨在探讨基因预测的铁状态与尿毒症之间的因果关联。利用铁状态和尿毒症的全基因组关联研究(GWAS)的汇总数据,采用了两样本孟德尔随机化(MR)设计。通过血清铁(SI)、血清铁蛋白(SF)、总铁结合力(TIBC)和转铁蛋白饱和度(TS)评估铁状态,而尿毒症包括肾衰竭和透析。主要分析采用逆方差加权(IVW)方法。额外的MR评估包括加权中位数、加权众数、简单众数和MR-Egger回归方法。敏感性分析包括用于多效性的MR-Egger、用于检测异常值的MR-PRESSO、用于异质性的Cochran's Q检验以及用于稳健性的留一法分析。基因决定的铁状态对尿毒症(肾衰竭或透析)风险没有因果影响。主要的IVW结果表明铁状态与尿毒症之间没有统计学上的显著关系(所有P>0.05)。通过各种方法得到了一致的结果。同样,尿毒症对铁状态也没有显著的因果影响(所有P>0.05)。在一些关联中观察到了异质性,但多效性一般不明显。这项双向MR研究没有提供基因预测的铁状态与尿毒症风险之间存在因果关系的证据。这些发现挑战了先前的观察性关联,并强调需要进一步的机制和干预研究来阐明铁代谢与肾脏疾病之间的复杂相互作用。