Suppr超能文献

基于农药的年龄相关性黄斑变性机器学习模型:2007 - 2008年美国国家健康与营养检查调查

Machine learning model for age related macular degeneration based on pesticides: the National Health and Nutrition Examination Survey 2007-2008.

作者信息

Liu Jiankang, Wang Bingli, Li Qiuming

机构信息

The First Affiliated Hospital of Zhengzhou University, Zhengzhou, China.

出版信息

Front Public Health. 2025 Apr 16;13:1561913. doi: 10.3389/fpubh.2025.1561913. eCollection 2025.

Abstract

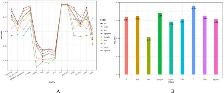
Age-related macular degeneration (AMD) is the most common cause of irreversible deterioration of vision in older adults. Previous studies have found that exposure to pesticides can lead to a worsening of AMD. In this paper, information on pesticide exposure and AMD from the National Health and Nutrition Examination Survey (NHANES) database was used to divide the data into a training set and a validation set. Firstly, the correlation between the variables in the model is analyzed. The model is then built using nine machine learning algorithms and verified on a validation set. Finally, it is found that the random forest model has high predictive value, and its Receiver Operating Characteristic (ROC) value is 0.75. Finally, SHapley additive interpretation (SHAP) analysis was used to rank the importance of each variable in the random forest model, and it was found that chlorpyrifos and malathion had quite significant effects on the occurrence and development of AMD.

摘要

年龄相关性黄斑变性(AMD)是老年人视力不可逆恶化的最常见原因。先前的研究发现,接触农药会导致AMD病情恶化。在本文中,利用来自国家健康与营养检查调查(NHANES)数据库的农药暴露和AMD信息,将数据分为训练集和验证集。首先,分析模型中变量之间的相关性。然后使用九种机器学习算法构建模型,并在验证集上进行验证。最后发现,随机森林模型具有较高的预测价值,其受试者工作特征(ROC)值为0.75。最后,使用SHapley加法解释(SHAP)分析对随机森林模型中每个变量的重要性进行排名,发现毒死蜱和马拉硫磷对AMD的发生和发展有相当显著的影响。

https://cdn.ncbi.nlm.nih.gov/pmc/blobs/1fb2/12042703/23857e934a0d/fpubh-13-1561913-g001.jpg

相似文献

1
6
Pesticide Use and Age-Related Macular Degeneration in the Agricultural Health Study.
Environ Health Perspect. 2017 Jul 19;125(7):077013. doi: 10.1289/EHP793.
7
Exposure to per- and polyfluoroalkyl substances and age-related macular degeneration in U.S. middle-aged and older adults.
Chemosphere. 2024 Sep;364:143167. doi: 10.1016/j.chemosphere.2024.143167. Epub 2024 Aug 22.
8
Associations between co-exposure to multiple heavy metals and age-related macular degeneration: A cross-sectional study.
J Trace Elem Med Biol. 2025 Feb;87:127573. doi: 10.1016/j.jtemb.2024.127573. Epub 2024 Nov 28.
9
Self-reported Calcium Supplementation and Age-Related Macular Degeneration.
JAMA Ophthalmol. 2015 Jul;133(7):746-54. doi: 10.1001/jamaophthalmol.2015.0514.

本文引用的文献

2
The relationship between heavy metals and metabolic syndrome using machine learning.
Front Public Health. 2024 Apr 15;12:1378041. doi: 10.3389/fpubh.2024.1378041. eCollection 2024.
4
Editorial: Monitoring and risk assessment of pesticide residues and mycotoxins - A potential public health concern.
Front Public Health. 2023 Nov 16;11:1293726. doi: 10.3389/fpubh.2023.1293726. eCollection 2023.
5
The association of homocysteine level with the risk of diabetic nephropathy and diabetic retinopathy in NHANES.
Acta Diabetol. 2023 Jul;60(7):907-916. doi: 10.1007/s00592-023-02075-2. Epub 2023 Mar 30.
6
Pesticide Residues in Vegetables and Fruits from Farmer Markets and Associated Dietary Risks.
Molecules. 2022 Nov 21;27(22):8072. doi: 10.3390/molecules27228072.
8
Age-Related Macular Degeneration: Epidemiology, Pathophysiology, Diagnosis, and Treatment.
Cureus. 2022 Sep 26;14(9):e29583. doi: 10.7759/cureus.29583. eCollection 2022 Sep.
9
Retinal Toxicity Induced by Chemical Agents.
Int J Mol Sci. 2022 Jul 25;23(15):8182. doi: 10.3390/ijms23158182.
10
Age-related macular degeneration: Epidemiology, genetics, pathophysiology, diagnosis, and targeted therapy.
Genes Dis. 2021 Feb 27;9(1):62-79. doi: 10.1016/j.gendis.2021.02.009. eCollection 2022 Jan.

文献AI研究员

20分钟写一篇综述,助力文献阅读效率提升50倍。

立即体验

用中文搜PubMed

大模型驱动的PubMed中文搜索引擎

马上搜索

文档翻译

学术文献翻译模型,支持多种主流文档格式。

立即体验