• 文献检索
  • 文档翻译
  • 深度研究
  • 学术资讯
  • Suppr Zotero 插件Zotero 插件
  • 邀请有礼
  • 套餐&价格
  • 历史记录
应用&插件
Suppr Zotero 插件Zotero 插件浏览器插件Mac 客户端Windows 客户端微信小程序
定价
高级版会员购买积分包购买API积分包
服务
文献检索文档翻译深度研究API 文档MCP 服务
关于我们
关于 Suppr公司介绍联系我们用户协议隐私条款
关注我们

Suppr 超能文献

核心技术专利:CN118964589B侵权必究
粤ICP备2023148730 号-1Suppr @ 2026

文献检索

告别复杂PubMed语法,用中文像聊天一样搜索,搜遍4000万医学文献。AI智能推荐,让科研检索更轻松。

立即免费搜索

文件翻译

保留排版,准确专业,支持PDF/Word/PPT等文件格式,支持 12+语言互译。

免费翻译文档

深度研究

AI帮你快速写综述,25分钟生成高质量综述,智能提取关键信息,辅助科研写作。

立即免费体验

源自 的银纳米颗粒与环丙沙星和庆大霉素对人类病原菌的协同活性。 (你提供的原文中“-Derived”前面似乎缺失了具体内容)

Synergistic Activity of -Derived AgNPs with Ciprofloxacin and Gentamicin Against Human Pathogenic Bacteria.

作者信息

Tończyk Aleksandra, Niedziałkowska Katarzyna, Bernat Przemysław, Lisowska Katarzyna

机构信息

Department of Industrial Microbiology and Biotechnology, Faculty of Biology and Environmental Protection, University of Lodz, 12/16 Banacha Street, 90-237 Lodz, Poland.

BioMedChem Doctoral School of University of Lodz and Lodz Institutes of Polish Academy of Sciences, 21/23 Matejki Street, 90-237 Lodz, Poland.

出版信息

Int J Mol Sci. 2025 Apr 9;26(8):3529. doi: 10.3390/ijms26083529.

DOI:10.3390/ijms26083529
PMID:40332040
原文链接:https://pmc.ncbi.nlm.nih.gov/articles/PMC12026993/
Abstract

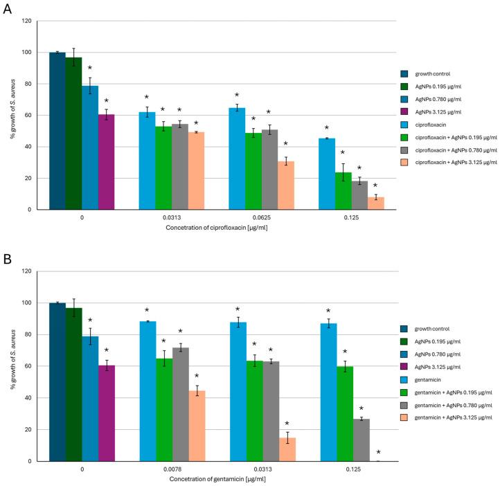
Silver nanoparticles (AgNPs) are used in a variety of different fields due to their excellent antimicrobial potential. Despite clear advantages, concerns about their toxicity have arisen, also concerning biogenic nanoparticles. Simultaneously, global healthcare is facing a problem of spreading antimicrobial resistance towards existing antibiotics. Using combined therapies involving AgNPs and antibiotics seems to be a promising solution to the above problems. The aim of this study was to evaluate the enhancement of the effectiveness of AgNPs, ciprofloxacin, and gentamicin against and . The research involved the assessment of antimicrobial and antibiofilm-forming activities and the analysis of phospholipid and fatty acid profiles. Our results showed that combining the tested antimicrobials can enhance their activity against the tested bacterial strains. However, no effect was observed while mixing AgNPs with ciprofloxacin against . The most significant effect was obtained by combining 3.125 µg/mL of AgNPs with 0.125 µg/mL of gentamicin against . It was also shown that the tested antimicrobials applied in combination exhibited an increased inhibitory activity towards bacterial biofilm formation by . Lipidomic analysis revealed that under the influence of the tested antimicrobials, the properties of the cell membrane were altered in different ways depending on the bacterial strain.

摘要

由于其出色的抗菌潜力,银纳米颗粒(AgNPs)被应用于各种不同领域。尽管有明显优势,但人们对其毒性产生了担忧,对生物源纳米颗粒也存在担忧。与此同时,全球医疗保健面临着对现有抗生素的抗微生物耐药性传播问题。使用涉及AgNPs和抗生素的联合疗法似乎是解决上述问题的一个有前景的方案。本研究的目的是评估AgNPs、环丙沙星和庆大霉素对[具体细菌名称缺失]和[具体细菌名称缺失]有效性的增强情况。该研究包括对抗菌和抗生物膜形成活性的评估以及磷脂和脂肪酸谱的分析。我们的结果表明,将测试的抗菌剂组合使用可以增强它们对测试细菌菌株的活性。然而,将AgNPs与环丙沙星混合时,对[具体细菌名称缺失]未观察到效果。将3.125 µg/mL的AgNPs与0.125 µg/mL的庆大霉素组合使用,对[具体细菌名称缺失]产生了最显著的效果。还表明,组合使用的测试抗菌剂对[具体细菌名称缺失]的细菌生物膜形成表现出增强的抑制活性。脂质组学分析表明,在测试抗菌剂的影响下,细胞膜的性质根据细菌菌株的不同而以不同方式发生改变。

https://cdn.ncbi.nlm.nih.gov/pmc/blobs/0e6e/12026993/af575ccc0181/ijms-26-03529-g004.jpg
https://cdn.ncbi.nlm.nih.gov/pmc/blobs/0e6e/12026993/0ff737ca0e86/ijms-26-03529-g001.jpg
https://cdn.ncbi.nlm.nih.gov/pmc/blobs/0e6e/12026993/20905b172696/ijms-26-03529-g002.jpg
https://cdn.ncbi.nlm.nih.gov/pmc/blobs/0e6e/12026993/6efe4cc554c5/ijms-26-03529-g003.jpg
https://cdn.ncbi.nlm.nih.gov/pmc/blobs/0e6e/12026993/af575ccc0181/ijms-26-03529-g004.jpg
https://cdn.ncbi.nlm.nih.gov/pmc/blobs/0e6e/12026993/0ff737ca0e86/ijms-26-03529-g001.jpg
https://cdn.ncbi.nlm.nih.gov/pmc/blobs/0e6e/12026993/20905b172696/ijms-26-03529-g002.jpg
https://cdn.ncbi.nlm.nih.gov/pmc/blobs/0e6e/12026993/6efe4cc554c5/ijms-26-03529-g003.jpg
https://cdn.ncbi.nlm.nih.gov/pmc/blobs/0e6e/12026993/af575ccc0181/ijms-26-03529-g004.jpg

相似文献

1
Synergistic Activity of -Derived AgNPs with Ciprofloxacin and Gentamicin Against Human Pathogenic Bacteria.源自 的银纳米颗粒与环丙沙星和庆大霉素对人类病原菌的协同活性。 (你提供的原文中“-Derived”前面似乎缺失了具体内容)
Int J Mol Sci. 2025 Apr 9;26(8):3529. doi: 10.3390/ijms26083529.
2
Silver nanoparticle with potential antimicrobial and antibiofilm efficiency against multiple drug resistant, extensive drug resistant Pseudomonas aeruginosa clinical isolates.具有潜在抗菌和抗生物膜效率的纳米银颗粒,可对抗多重耐药、广泛耐药的铜绿假单胞菌临床分离株。
BMC Microbiol. 2024 Jul 26;24(1):277. doi: 10.1186/s12866-024-03397-z.
3
Evaluation of the antibacterial and antibiofilm effect of mycosynthesized silver and selenium nanoparticles and their synergistic effect with antibiotics on nosocomial bacteria.真菌合成的银和硒纳米颗粒的抗菌和抗生物膜作用及其与抗生素对医院细菌的协同作用评估。
Microb Cell Fact. 2025 Jan 4;24(1):6. doi: 10.1186/s12934-024-02604-w.
4
Synthesis, characterization and evaluation of antimicrobial and cytotoxic activities of biogenic silver nanoparticles synthesized from Streptomyces xinghaiensis OF1 strain.从海洋链霉菌 OF1 菌株中合成的生物源银纳米粒子的合成、表征及抗菌和细胞毒性活性评价。
World J Microbiol Biotechnol. 2018 Jan 5;34(2):23. doi: 10.1007/s11274-017-2406-3.
5
Bioengineered phytomolecules-capped silver nanoparticles using Carissa carandas leaf extract to embed on to urinary catheter to combat UTI pathogens.采用山竹树叶提取物包被的生物工程植物分子-银纳米粒子,被嵌入到导尿管上以对抗尿路感染病原体。
PLoS One. 2021 Sep 2;16(9):e0256748. doi: 10.1371/journal.pone.0256748. eCollection 2021.
6
Silver nanoparticles as a bioadjuvant of antibiotics against biofilm-mediated infections with methicillin-resistant Staphylococcus aureus and Pseudomonas aeruginosa in chronic rhinosinusitis patients.银纳米颗粒作为抗生素的生物佐剂,用于治疗慢性鼻-鼻窦炎患者耐甲氧西林金黄色葡萄球菌和铜绿假单胞菌生物膜介导的感染。
Pathology. 2022 Jun;54(4):453-459. doi: 10.1016/j.pathol.2021.08.014. Epub 2021 Nov 26.
7
Silver nanoparticles produced from Cedecea sp. exhibit antibiofilm activity and remarkable stability.由塞氏假单胞菌产生的银纳米颗粒表现出抗生物膜活性和显著的稳定性。
Sci Rep. 2021 Jun 16;11(1):12619. doi: 10.1038/s41598-021-92006-4.
8
Effects of Silver Nanoparticles on Multiple Drug-Resistant Strains of Staphylococcus aureus and Pseudomonas aeruginosa from Mastitis-Infected Goats: An Alternative Approach for Antimicrobial Therapy.银纳米颗粒对乳腺炎感染山羊的多重耐药金黄色葡萄球菌和铜绿假单胞菌菌株的影响:抗菌治疗的一种替代方法。
Int J Mol Sci. 2017 Mar 6;18(3):569. doi: 10.3390/ijms18030569.
9
Antibacterial and antibiofilm potential of silver nanoparticles against antibiotic-sensitive and multidrug-resistant Pseudomonas aeruginosa strains.银纳米粒子对敏感抗生素和多药耐药铜绿假单胞菌的抗菌和抗生物膜潜力。
Braz J Microbiol. 2021 Mar;52(1):267-278. doi: 10.1007/s42770-020-00406-x. Epub 2020 Nov 24.
10
Antipathogenic Efficacy of Biogenic Silver Nanoparticles and Antibiofilm Activities Against Multi-drug-Resistant ESKAPE Pathogens.生物成因银纳米粒子的抗病原功效及针对多药耐药 ESKAPE 病原体的抗生物膜活性。
Appl Biochem Biotechnol. 2024 Apr;196(4):2031-2052. doi: 10.1007/s12010-023-04630-7. Epub 2023 Jul 18.

本文引用的文献

1
Biofilm suppression of Pseudomonas aeruginosa by bio-engineered silver nanoparticles from Hellenia speciosa rhizome extract.来自美丽山姜根茎提取物的生物工程银纳米颗粒对铜绿假单胞菌生物膜的抑制作用。
Microb Pathog. 2025 Jan;198:107105. doi: 10.1016/j.micpath.2024.107105. Epub 2024 Nov 9.
2
Advances in silver nanoparticles: a comprehensive review on their potential as antimicrobial agents and their mechanisms of action elucidated by proteomics.银纳米颗粒的研究进展:关于其作为抗菌剂的潜力及其蛋白质组学阐明的作用机制的全面综述
Front Microbiol. 2024 Jul 31;15:1440065. doi: 10.3389/fmicb.2024.1440065. eCollection 2024.
3
Restoration of Antibacterial Activity of Inactive Antibiotics via Combined Treatment with AgNPs.
通过与银纳米颗粒联合处理恢复无活性抗生素的抗菌活性
ACS Omega. 2024 Mar 14;9(12):13621-13635. doi: 10.1021/acsomega.3c07000. eCollection 2024 Mar 26.
4
Silver nanoparticles synthesized from pyoverdine: Antibiofilm and antivirulence agents.由绿脓菌素合成的银纳米颗粒:抗生物膜和抗毒力剂。
Biofilm. 2024 Mar 15;7:100192. doi: 10.1016/j.bioflm.2024.100192. eCollection 2024 Jun.
5
Ciprofloxacin enhances the biofilm formation of via an -dependent mechanism.环丙沙星通过一种依赖于……的机制增强……的生物膜形成。 (原文中部分内容缺失,翻译不太完整准确)
Front Microbiol. 2023 Dec 21;14:1328947. doi: 10.3389/fmicb.2023.1328947. eCollection 2023.
6
Combinatorial application of cuminaldehyde and gentamicin shows enhanced antimicrobial and antibiofilm action on Pseudomonas aeruginosa.香芹醛与庆大霉素联合应用对铜绿假单胞菌表现出增强的抗菌和抗生物膜作用。
Folia Microbiol (Praha). 2024 Aug;69(4):823-834. doi: 10.1007/s12223-023-01121-4. Epub 2023 Dec 22.
7
Optimizing the microbial synthesis of silver nanoparticles using Gloeophyllum striatum and their antimicrobial potential evaluation.利用密纹革盖菌优化微生物合成纳米银及其抗菌潜力评价。
Sci Rep. 2023 Nov 30;13(1):21124. doi: 10.1038/s41598-023-48414-9.
8
Antibiotic-Induced Biofilm Formations in Pseudomonas aeruginosa Strains KPW.1-S1 and HRW.1-S3 are Associated with Increased Production of eDNA and Exoproteins, Increased ROS Generation, and Increased Cell Surface Hydrophobicity.铜绿假单胞菌 KPW.1-S1 和 HRW.1-S3 菌株的抗生素诱导生物膜形成与增加的 eDNA 和胞外蛋白产生、增加的 ROS 生成和增加的细胞表面疏水性有关。
Curr Microbiol. 2023 Nov 17;81(1):11. doi: 10.1007/s00284-023-03495-7.
9
Adaptation of the metolachlor-degrading fungus Trichoderma harzianum to the simultaneous presence of low-density polyethylene (LDPE) microplastics.适应低浓度聚乙烯(LDPE)微塑料同时存在的木霉( Trichoderma harzianum )的降解真菌。
Ecotoxicol Environ Saf. 2023 Nov 15;267:115656. doi: 10.1016/j.ecoenv.2023.115656. Epub 2023 Nov 7.
10
Synergistic Antimicrobial Activity of Silver Nanoparticles with an Emergent Class of Azoimidazoles.银纳米颗粒与一类新型偶氮咪唑的协同抗菌活性
Pharmaceutics. 2023 Mar 13;15(3):926. doi: 10.3390/pharmaceutics15030926.