• 文献检索
  • 文档翻译
  • 深度研究
  • 学术资讯
  • Suppr Zotero 插件Zotero 插件
  • 邀请有礼
  • 套餐&价格
  • 历史记录
应用&插件
Suppr Zotero 插件Zotero 插件浏览器插件Mac 客户端Windows 客户端微信小程序
定价
高级版会员购买积分包购买API积分包
服务
文献检索文档翻译深度研究API 文档MCP 服务
关于我们
关于 Suppr公司介绍联系我们用户协议隐私条款
关注我们

Suppr 超能文献

核心技术专利:CN118964589B侵权必究
粤ICP备2023148730 号-1Suppr @ 2026

文献检索

告别复杂PubMed语法,用中文像聊天一样搜索,搜遍4000万医学文献。AI智能推荐,让科研检索更轻松。

立即免费搜索

文件翻译

保留排版,准确专业,支持PDF/Word/PPT等文件格式,支持 12+语言互译。

免费翻译文档

深度研究

AI帮你快速写综述,25分钟生成高质量综述,智能提取关键信息,辅助科研写作。

立即免费体验

研究基于表面活性剂的温拌添加剂对再生沥青混合料性能的影响。

Investigating the Impact of Surfactant-Based Warm-Mix Additives on the Performance of Recycled Asphalt Mixtures.

作者信息

Xiang Hao, Yang Desheng, Peng Shunxian, Gao Wei

机构信息

College of Civil Engineering and Architecture, Southwest University of Science and Technology, Mianyang 621010, China.

National & Local Joint Engineering Research Center of Transportation and Civil Engineering Materials, Chongqing Jiaotong University, Chongqing 400074, China.

出版信息

Materials (Basel). 2025 Apr 10;18(8):1732. doi: 10.3390/ma18081732.

DOI:10.3390/ma18081732
PMID:40333361
原文链接:https://pmc.ncbi.nlm.nih.gov/articles/PMC12029101/
Abstract

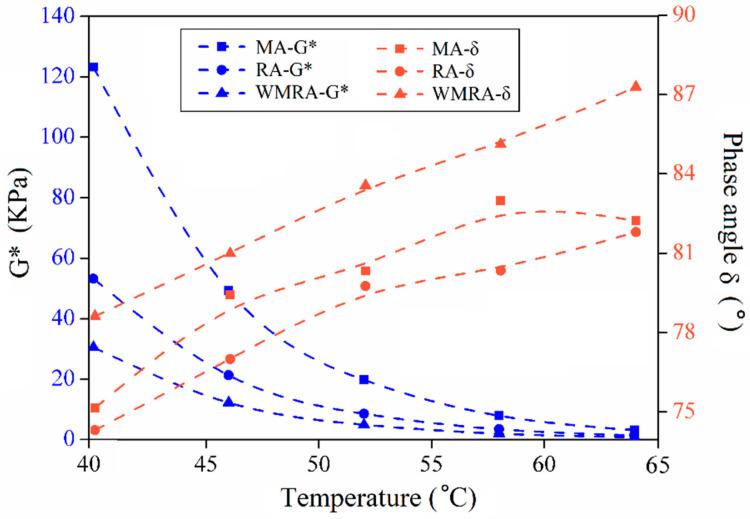
This investigation aimed to assess the influence of warm-mix additives on the performance characteristics of recycled asphalt mixtures. Pressure-aging vessels were employed to simulate the aging of asphalt binders. Warm-mix recycled asphalt (WMRA) and mixtures were prepared by incorporating self-developed plant-oil-based rejuvenators and surfactant-based warm-mix additives. The rheological properties of asphalt were tested by a dynamic shear rheometer (DSR). Furthermore, the pavement performance of the asphalt mixture was evaluated by a rutting test, beam bending test, Marshall stability test, and freeze-thaw splitting test. The experimental results demonstrated that the addition of warm-mix additives reduces the penetration and softening point of recycled asphalt while enhancing its ductility. Performance improvement was quantitatively evaluated using a recovery index. The complex modulus and rutting factor of the WMRA were found to be lower than those of recycled asphalt, indicating a decrease in the asphalt's resistance to deformation owing to the surfactant. Both the hot-mix and warm-mix recycled asphalt mixtures met the specified requirements for various performance indicators. The warm-mix rejuvenator outperformed the regular rejuvenator in evaluating water stability using the soaked Marshall residual stability method, whereas the evaluation based on the freeze-thaw splitting strength ratio demonstrated the opposite trend.

摘要

本研究旨在评估温拌添加剂对再生沥青混合料性能特性的影响。采用压力老化容器模拟沥青结合料的老化。通过掺入自主研发的植物油基再生剂和表面活性剂基温拌添加剂制备温拌再生沥青(WMRA)及其混合料。采用动态剪切流变仪(DSR)测试沥青的流变性能。此外,通过车辙试验、梁弯曲试验、马歇尔稳定度试验和冻融劈裂试验对沥青混合料的路面性能进行评价。试验结果表明,温拌添加剂的加入降低了再生沥青的针入度和软化点,同时提高了其延度。使用恢复指数对性能改善进行了定量评估。发现WMRA的复数模量和车辙因子低于再生沥青,表明由于表面活性剂的作用,沥青的抗变形能力有所下降。热拌再生沥青混合料和温拌再生沥青混合料均满足各项性能指标的规定要求。在采用浸水马歇尔残留稳定度法评价水稳定性时,温拌再生剂的性能优于常规再生剂,而基于冻融劈裂强度比的评价结果则显示出相反的趋势。

https://cdn.ncbi.nlm.nih.gov/pmc/blobs/2696/12029101/323c602ae777/materials-18-01732-g009.jpg
https://cdn.ncbi.nlm.nih.gov/pmc/blobs/2696/12029101/260eddf5d3d8/materials-18-01732-g001.jpg
https://cdn.ncbi.nlm.nih.gov/pmc/blobs/2696/12029101/75a969823250/materials-18-01732-g002.jpg
https://cdn.ncbi.nlm.nih.gov/pmc/blobs/2696/12029101/579fe56ca9e9/materials-18-01732-g003.jpg
https://cdn.ncbi.nlm.nih.gov/pmc/blobs/2696/12029101/9a017be8be83/materials-18-01732-g004.jpg
https://cdn.ncbi.nlm.nih.gov/pmc/blobs/2696/12029101/2801a36e93a1/materials-18-01732-g005.jpg
https://cdn.ncbi.nlm.nih.gov/pmc/blobs/2696/12029101/8169da779b5b/materials-18-01732-g006.jpg
https://cdn.ncbi.nlm.nih.gov/pmc/blobs/2696/12029101/fcd0e8aee136/materials-18-01732-g007.jpg
https://cdn.ncbi.nlm.nih.gov/pmc/blobs/2696/12029101/294b4de6da5c/materials-18-01732-g008.jpg
https://cdn.ncbi.nlm.nih.gov/pmc/blobs/2696/12029101/323c602ae777/materials-18-01732-g009.jpg
https://cdn.ncbi.nlm.nih.gov/pmc/blobs/2696/12029101/260eddf5d3d8/materials-18-01732-g001.jpg
https://cdn.ncbi.nlm.nih.gov/pmc/blobs/2696/12029101/75a969823250/materials-18-01732-g002.jpg
https://cdn.ncbi.nlm.nih.gov/pmc/blobs/2696/12029101/579fe56ca9e9/materials-18-01732-g003.jpg
https://cdn.ncbi.nlm.nih.gov/pmc/blobs/2696/12029101/9a017be8be83/materials-18-01732-g004.jpg
https://cdn.ncbi.nlm.nih.gov/pmc/blobs/2696/12029101/2801a36e93a1/materials-18-01732-g005.jpg
https://cdn.ncbi.nlm.nih.gov/pmc/blobs/2696/12029101/8169da779b5b/materials-18-01732-g006.jpg
https://cdn.ncbi.nlm.nih.gov/pmc/blobs/2696/12029101/fcd0e8aee136/materials-18-01732-g007.jpg
https://cdn.ncbi.nlm.nih.gov/pmc/blobs/2696/12029101/294b4de6da5c/materials-18-01732-g008.jpg
https://cdn.ncbi.nlm.nih.gov/pmc/blobs/2696/12029101/323c602ae777/materials-18-01732-g009.jpg

相似文献

1
Investigating the Impact of Surfactant-Based Warm-Mix Additives on the Performance of Recycled Asphalt Mixtures.研究基于表面活性剂的温拌添加剂对再生沥青混合料性能的影响。
Materials (Basel). 2025 Apr 10;18(8):1732. doi: 10.3390/ma18081732.
2
Investigation into Rheological Behavior of Warm-Mix Recycled Asphalt Binders with High Percentages of RAP Binder.高比例RAP结合料温拌再生沥青结合料的流变行为研究
Materials (Basel). 2023 Feb 14;16(4):1599. doi: 10.3390/ma16041599.
3
Regeneration Effect of a New Bio-Based Warm-Mix Rejuvenator on Performance and Micro-Morphology of Aged Asphalt.一种新型生物基温拌再生剂对老化沥青性能及微观形态的再生效果
Materials (Basel). 2024 Apr 28;17(9):2077. doi: 10.3390/ma17092077.
4
Molecular Dynamics Investigation of the Diffusion Mechanisms and Thermodynamic Behaviors in Warm Mix Recycled Asphalt Binders with and Without Rejuvenators.含和不含再生剂的温拌再生沥青结合料扩散机制与热力学行为的分子动力学研究
Materials (Basel). 2025 Feb 5;18(3):703. doi: 10.3390/ma18030703.
5
Impact of adding warm asphalt mix additives on recycling milled coatings: performance evaluation.添加温拌沥青混合料添加剂对回收铣刨层的影响:性能评估
Environ Sci Pollut Res Int. 2024 Dec;31(58):66318-66349. doi: 10.1007/s11356-024-35570-2. Epub 2024 Dec 3.
6
Comprehensive Performance Evaluation of Epoxy Reclaimed Asphalt and Mixtures.环氧再生沥青及混合料的综合性能评价
Materials (Basel). 2025 Feb 23;18(5):982. doi: 10.3390/ma18050982.
7
Evaluating Rutting Resistance of Rejuvenated Recycled Hot-Mix Asphalt Mixtures Using Different Types of Recycling Agents.使用不同类型再生剂评估再生热拌沥青混合料的抗车辙性能
Materials (Basel). 2022 Dec 8;15(24):8769. doi: 10.3390/ma15248769.
8
Laboratory Compaction Study and Mechanical Performance Assessment of Half-Warm Mix Recycled Asphalt Mixtures Containing 100% RAP.含100%旧沥青路面材料的半温拌再生沥青混合料的室内压实试验研究与力学性能评估
Materials (Basel). 2019 Jun 21;12(12):1992. doi: 10.3390/ma12121992.
9
Artificially prepared Reclaimed Asphalt Pavement (RAP)-an experimental investigation on re-recycling.人工制备的再生沥青路面(RAP)——再回收利用的实验研究。
Environ Sci Pollut Res Int. 2019 Dec;26(35):35620-35628. doi: 10.1007/s11356-019-05970-w. Epub 2019 Jul 24.
10
Influence of Different Warm Mix Additives on Characteristics of Warm Mix Asphalt.不同温拌添加剂对温拌沥青特性的影响
Materials (Basel). 2021 Jun 24;14(13):3534. doi: 10.3390/ma14133534.

本文引用的文献

1
Review on Performance of Asphalt and Asphalt Mixture with Waste Cooking Oil.废食用油在沥青及沥青混合料中的性能综述
Materials (Basel). 2023 Feb 4;16(4):1341. doi: 10.3390/ma16041341.
2
The Role of Additives in Warm Mix Asphalt Technology: An Insight into Their Mechanisms of Improving an Emerging Technology.添加剂在温拌沥青技术中的作用:对其改进一项新兴技术的作用机制的洞察
Nanomaterials (Basel). 2020 Jun 19;10(6):1202. doi: 10.3390/nano10061202.