• 文献检索
  • 文档翻译
  • 深度研究
  • 学术资讯
  • Suppr Zotero 插件Zotero 插件
  • 邀请有礼
  • 套餐&价格
  • 历史记录
应用&插件
Suppr Zotero 插件Zotero 插件浏览器插件Mac 客户端Windows 客户端微信小程序
定价
高级版会员购买积分包购买API积分包
服务
文献检索文档翻译深度研究API 文档MCP 服务
关于我们
关于 Suppr公司介绍联系我们用户协议隐私条款
关注我们

Suppr 超能文献

核心技术专利:CN118964589B侵权必究
粤ICP备2023148730 号-1Suppr @ 2026

文献检索

告别复杂PubMed语法,用中文像聊天一样搜索,搜遍4000万医学文献。AI智能推荐,让科研检索更轻松。

立即免费搜索

文件翻译

保留排版,准确专业,支持PDF/Word/PPT等文件格式,支持 12+语言互译。

免费翻译文档

深度研究

AI帮你快速写综述,25分钟生成高质量综述,智能提取关键信息,辅助科研写作。

立即免费体验

石墨烯周期性线缺陷超晶格结中的谷间安德烈夫反射

Valley crossed Andreev reflection in graphene periodic line defect superlattice junctions.

作者信息

Ren Chongdan, Sun Minglei, Tian Hongyu, Wang Sake

机构信息

Département de physique, Université normale de Zunyi, Kweichow, 563002, China.

Department of Physics, NANOlab Center of Excellence, University of Antwerp, Groenenborgerlaan 171, 2020, Antwerp, Belgium.

出版信息

Sci Rep. 2025 May 7;15(1):15917. doi: 10.1038/s41598-025-01019-w.

DOI:10.1038/s41598-025-01019-w
PMID:40335541
原文链接:https://pmc.ncbi.nlm.nih.gov/articles/PMC12059181/
Abstract

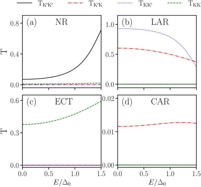
We study the crossed Andreev reflection and the nonlocal transport in the staggered graphene/superconductor/periodic line defect superlattice (LDGSL) junctions. The staggered pseudospin potential in the left graphene electrode suppress the local Andreev reflection, while the elastic cotunneling of K' valley electrons is inhibited due to the exclusive rightward motion of K valley electrons in the right LDGSL electrode, thereby enabling the realization of dominant intravalley crossed Andreev reflection for incident electrons from the K' valley. Meanwhile, the intravalley elastic cotunneling occurs while both local Andreev reflection and crossed Andreev reflection are completely eliminated for incident electrons in the K valley. Furthermore, the probability of intervalley crossed Andreev reflection scattering is significantly lower than that of intravalley CAR scattering across a broad range of incident angles and electron energies. Our results are helpful for designing the flexible and high-efficiency Cooper pair splitter based on the valley degree of freedom.

摘要

我们研究了交错石墨烯/超导体/周期性线缺陷超晶格(LDGSL)结中的交叉安德烈夫反射和非局域输运。左石墨烯电极中的交错赝自旋势抑制了局部安德烈夫反射,而由于右LDGSL电极中K谷电子仅向右运动,K'谷电子的弹性共隧穿受到抑制,从而使得对于来自K'谷的入射电子能够实现占主导地位的谷内交叉安德烈夫反射。同时,对于K谷中的入射电子,在局部安德烈夫反射和交叉安德烈夫反射都完全消除时会发生谷内弹性共隧穿。此外,在很宽的入射角和电子能量范围内,谷间交叉安德烈夫反射散射的概率显著低于谷内交叉安德烈夫反射(CAR)散射的概率。我们的结果有助于基于谷自由度设计灵活高效的库珀对分裂器。

https://cdn.ncbi.nlm.nih.gov/pmc/blobs/db82/12059181/75e2428de517/41598_2025_1019_Fig2_HTML.jpg
https://cdn.ncbi.nlm.nih.gov/pmc/blobs/db82/12059181/75e2428de517/41598_2025_1019_Fig2_HTML.jpg
https://cdn.ncbi.nlm.nih.gov/pmc/blobs/db82/12059181/75e2428de517/41598_2025_1019_Fig2_HTML.jpg

相似文献

1
Valley crossed Andreev reflection in graphene periodic line defect superlattice junctions.石墨烯周期性线缺陷超晶格结中的谷间安德烈夫反射
Sci Rep. 2025 May 7;15(1):15917. doi: 10.1038/s41598-025-01019-w.
2
Valley controlled Andreev reflection and valley-switch effect in graphene-based superconducting hybrid structures.基于石墨烯的超导混合结构中的谷控制安德烈夫反射和谷开关效应。
J Phys Condens Matter. 2019 Dec 4;31(48):485701. doi: 10.1088/1361-648X/ab351b. Epub 2019 Jul 25.
3
The Andreev reflection of zero line mode in graphene-superconductor hybrid junction.石墨烯-超导体混合结中零线模的安德烈夫反射
J Phys Condens Matter. 2015 Apr 1;27(12):125002. doi: 10.1088/0953-8984/27/12/125002. Epub 2015 Feb 17.
4
Crossed Andreev reflection in a graphene bipolar transistor.石墨烯双极晶体管中的交叉安德烈夫反射
Phys Rev Lett. 2008 Apr 11;100(14):147001. doi: 10.1103/PhysRevLett.100.147001. Epub 2008 Apr 8.
5
Crossed Andreev reflection in zigzag phosphorene nanoribbon based ferromagnet/superconductor/ferromagnet junctions.基于锯齿形磷烯纳米带的铁磁体/超导体/铁磁体结中的交叉安德列夫反射
Sci Rep. 2022 Apr 12;12(1):6079. doi: 10.1038/s41598-022-10086-2.
6
Crossed Andreev reflection in normal-superconductor-normal junction based on Kekulé-Y patterned graphene.
J Phys Condens Matter. 2024 Apr 25;36(29). doi: 10.1088/1361-648X/ad3cac.
7
Engineering Crossed Andreev Reflection in Double-Bilayer Graphene.在双层石墨烯中实现交叉安德烈夫反射的工程学
Nano Lett. 2019 Dec 11;19(12):9002-9007. doi: 10.1021/acs.nanolett.9b03981. Epub 2019 Nov 22.
8
Experimental observation of bias-dependent nonlocal Andreev reflection.偏置依赖非局域安德列夫反射的实验观察
Phys Rev Lett. 2005 Jul 8;95(2):027002. doi: 10.1103/PhysRevLett.95.027002.
9
Crossed Andreev Reflection and Elastic Cotunneling in Three Quantum Dots Coupled by Superconductors.由超导体耦合的三个量子点中的交叉安德列夫反射和弹性共隧穿
Phys Rev Lett. 2024 Feb 2;132(5):056602. doi: 10.1103/PhysRevLett.132.056602.
10
Local and Nonlocal Two-Electron Tunneling Processes in a Cooper Pair Splitter.库珀对分裂器中的局域和非局域双电子隧穿过程
Phys Rev Lett. 2022 Nov 11;129(20):207703. doi: 10.1103/PhysRevLett.129.207703.

本文引用的文献

1
Electrically Controlled Crossed Andreev Reflection in Two-Dimensional Antiferromagnets.
Phys Rev Lett. 2021 Jul 2;127(1):017701. doi: 10.1103/PhysRevLett.127.017701.
2
Ballistic Graphene Cooper Pair Splitter.弹道石墨烯库珀对分裂器
Phys Rev Lett. 2021 Apr 9;126(14):147701. doi: 10.1103/PhysRevLett.126.147701.
3
Perfect Crossed Andreev Reflection in Dirac Hybrid Junctions in the Quantum Hall Regime.量子霍尔 regime 中狄拉克混合结中的完美交叉安德烈夫反射 。 注:这里“regime”常见释义为“政权;管理制度;统治方式”等,在物理领域可能有更专业的意译,比如“区域”等,具体需结合上下文准确理解,这里直接保留英文以便你根据实际情况调整。
Phys Rev Lett. 2019 Jun 28;122(25):257701. doi: 10.1103/PhysRevLett.122.257701.
4
Spin dependence of crossed Andreev reflection and electron tunneling induced by Majorana fermions.马约拉纳费米子诱导的交叉安德烈夫反射和电子隧穿的自旋依赖性。
J Phys Condens Matter. 2018 Dec 19;30(50):505302. doi: 10.1088/1361-648X/aaedf6.
5
Unconventional Pairing Induced Anomalous Transverse Shift in Andreev Reflection.非传统配对诱导的安德烈夫反射中的反常横向位移。
Phys Rev Lett. 2018 Oct 26;121(17):176602. doi: 10.1103/PhysRevLett.121.176602.
6
Cooper pair splitting by means of graphene quantum dots.通过石墨烯量子点实现库珀对分裂
Phys Rev Lett. 2015 Mar 6;114(9):096602. doi: 10.1103/PhysRevLett.114.096602. Epub 2015 Mar 4.
7
Proposal for an all-electrical detection of crossed Andreev reflection in topological insulators.拓扑绝缘体中交叉安德烈夫反射的全电检测方案。
Phys Rev Lett. 2013 May 31;110(22):226802. doi: 10.1103/PhysRevLett.110.226802. Epub 2013 May 29.
8
Finite-bias Cooper pair splitting.有限偏置 Cooper 对分裂。
Phys Rev Lett. 2011 Sep 23;107(13):136801. doi: 10.1103/PhysRevLett.107.136801. Epub 2011 Sep 19.
9
Nonlocal Cooper pair splitting in a pSn junction.pSn 结中的非局域 Cooper 对分裂。
Phys Rev Lett. 2010 Sep 3;105(10):107002. doi: 10.1103/PhysRevLett.105.107002. Epub 2010 Aug 31.
10
Cooper pair splitter realized in a two-quantum-dot Y-junction.在双量子点Y型结中实现的库珀对分裂器。
Nature. 2009 Oct 15;461(7266):960-3. doi: 10.1038/nature08432.