Suppr超能文献

精神分裂症与五种痴呆症类型之间的因果关系:一项双向两样本孟德尔随机化研究。

Causal relationship between schizophrenia and five types of dementia: A bidirectional two-sample Mendelian randomization study.

作者信息

Tao Feng, Deng Shizhe, Zhuo Bifang, Liu Jingyue, Liang Xuan, Shi Jiangwei, Meng Zhihong

机构信息

First Teaching Hospital of Tianjin University of Traditional Chinese Medicine, Tianjin, China.

National Clinical Research Center for Chinese Medicine Acupuncture and Moxibustion, Tianjin, China.

出版信息

PLoS One. 2025 May 8;20(5):e0322752. doi: 10.1371/journal.pone.0322752. eCollection 2025.

Abstract

BACKGROUND

Although observational research indicates an association between schizophrenia and dementia, it is unclear whether the two are causally related. In order to examine the causal relationship between schizophrenia and five types of dementia (all-cause dementia, Alzheimer's disease, vascular dementia, frontotemporal dementia, and dementia with Lewy bodies), we performed a bidirectional two-sample Mendelian randomization analysis.

METHODS

In this study, pooled statistics of schizophrenia and dementia were obtained from the Large-scale genome-wide association study (GWAS) in individuals of European ancestry. Inverse variance weighted (IVW) was the primary statistical approach used in this Mendelian randomization, to further support our findings, we also used MR-Egger, weighted median, and cML-MA. We also used a number of sensitivity analyses to evaluate pleiotropy and heterogeneity.

RESULTS

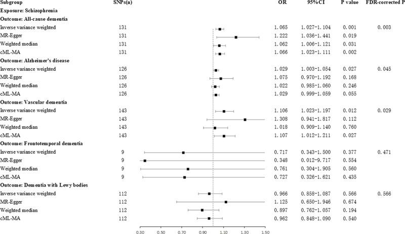
In the study of the effect of schizophrenia on dementia, findings from the IVW analysis suggested that schizophrenia is associated with an increased risk of all-cause dementia (OR = 1.065, 95%CI: 1.027 ~ 1.104, P = 0.001, FDR-corrected P = 0.003), Alzheimer's disease (OR = 1.029, 95%CI: 1.003 ~ 1.054, P = 0.027, FDR-corrected P = 0.045), and vascular dementia (OR = 1.106, 95%CI: 1.023 ~ 1.197, P = 0.012, FDR-corrected P = 0.029). In the study of the effect of dementia on schizophrenia, no form of dementia assessed in this study was found to be a risk factor for schizophrenia.

CONCLUSION

Our findings suggest that schizophrenia may be a risk factor for all-cause dementia, Alzheimer's disease, and vascular dementia, but no dementia of any kind was found to be a risk factor for schizophrenia. Our study provides insights into the potential genetic relationship between schizophrenia and dementia.

摘要

背景

尽管观察性研究表明精神分裂症与痴呆症之间存在关联,但尚不清楚两者是否存在因果关系。为了研究精神分裂症与五种类型痴呆症(全因性痴呆、阿尔茨海默病、血管性痴呆、额颞叶痴呆和路易体痴呆)之间的因果关系,我们进行了双向两样本孟德尔随机化分析。

方法

在本研究中,精神分裂症和痴呆症的汇总统计数据来自欧洲血统个体的大规模全基因组关联研究(GWAS)。逆方差加权(IVW)是本孟德尔随机化中使用的主要统计方法,为进一步支持我们的研究结果,我们还使用了MR-Egger、加权中位数和cML-MA。我们还进行了多项敏感性分析以评估多效性和异质性。

结果

在精神分裂症对痴呆症影响的研究中,IVW分析结果表明,精神分裂症与全因性痴呆风险增加相关(OR = 1.065,95%CI:1.027~1.104,P = 0.001,FDR校正后P = 0.003)、阿尔茨海默病(OR = 1.029,95%CI:1.003~1.054,P = 0.027,FDR校正后P = 0.045)和血管性痴呆(OR = 1.106,95%CI:1.023~1.197,P = 0.012,FDR校正后P = 0.029)。在痴呆症对精神分裂症影响的研究中,本研究评估的任何形式的痴呆症均未被发现是精神分裂症的危险因素。

结论

我们的研究结果表明,精神分裂症可能是全因性痴呆、阿尔茨海默病和血管性痴呆的危险因素,但未发现任何类型的痴呆症是精神分裂症的危险因素。我们的研究为精神分裂症和痴呆症之间潜在的遗传关系提供了见解。

https://cdn.ncbi.nlm.nih.gov/pmc/blobs/fdfa/12061177/6a05bca2ad80/pone.0322752.g001.jpg

文献检索

告别复杂PubMed语法,用中文像聊天一样搜索,搜遍4000万医学文献。AI智能推荐,让科研检索更轻松。

立即免费搜索

文件翻译

保留排版,准确专业,支持PDF/Word/PPT等文件格式,支持 12+语言互译。

免费翻译文档

深度研究

AI帮你快速写综述,25分钟生成高质量综述,智能提取关键信息,辅助科研写作。

立即免费体验