• 文献检索
  • 文档翻译
  • 深度研究
  • 学术资讯
  • Suppr Zotero 插件Zotero 插件
  • 邀请有礼
  • 套餐&价格
  • 历史记录
应用&插件
Suppr Zotero 插件Zotero 插件浏览器插件Mac 客户端Windows 客户端微信小程序
定价
高级版会员购买积分包购买API积分包
服务
文献检索文档翻译深度研究API 文档MCP 服务
关于我们
关于 Suppr公司介绍联系我们用户协议隐私条款
关注我们

Suppr 超能文献

核心技术专利:CN118964589B侵权必究
粤ICP备2023148730 号-1Suppr @ 2026

文献检索

告别复杂PubMed语法,用中文像聊天一样搜索,搜遍4000万医学文献。AI智能推荐,让科研检索更轻松。

立即免费搜索

文件翻译

保留排版,准确专业,支持PDF/Word/PPT等文件格式,支持 12+语言互译。

免费翻译文档

深度研究

AI帮你快速写综述,25分钟生成高质量综述,智能提取关键信息,辅助科研写作。

立即免费体验

人工饲养对两种锥蝽物种发育周期的影响。

Impact of artificial feeding on the developmental cycle of two triatomine species.

作者信息

Ferreira Raquel Aparecida, Nascimento Ana Carolina Corrêa, Santos Natalya Lorena da Silva, Diotaiuti Liléia Gonçalves, E Silva Eduardo Fernandes, Barbosa Silvia Ermelinda

机构信息

Grupo de Pesquisa Triatomíneos, Instituto René Rachou/Fiocruz Minas, Belo Horizonte, Minas Gerais, Brasil.

出版信息

PLoS One. 2025 May 12;20(5):e0323090. doi: 10.1371/journal.pone.0323090. eCollection 2025.

DOI:10.1371/journal.pone.0323090
PMID:40354486
原文链接:https://pmc.ncbi.nlm.nih.gov/articles/PMC12101860/
Abstract

BACKGROUND

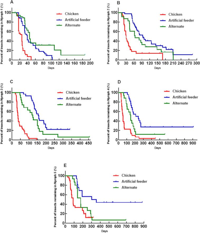
Live animals are the preferred food source for rearing and keeping triatomines in insectaries. However, there is an increasing demand for artificial feeding as an alternative method to using live animals. Despite this demand, scientific studies showing the viability of rearing triatomine colonies in insectaries with artificial feeding are still lacking. In this regard, we tested whether feeding triatomines with an artificial system affects different physiological and biological parameters during the insects' development.

METHODOLOGY/PRINCIPAL FINDINGS: Three experimental groups were established for the species Triatoma infestans and Panstrongylus megistus. The insects were fed weekly and individually, with each group receiving different treatments, as follows: A) artificial feeding system with rabbit blood, B) live animal host, and C) alternating feeding (one week A and the next B). The groups were kept under the same environmental conditions and monitored daily. The parameters evaluated per instar and total cycle were the effect of the blood supply method on the insects' developmental time, the association between feeding method and insect mortality, weight gain, and the number of feedings needed to trigger molting. The latter two were evaluated only in P. megistus.

CONCLUSIONS/SIGNIFICANCE: Sex did not influence the insects' survival or weight gain. The biological cycle duration was shortest in insects fed on a live animal host, followed by the group fed alternately, and longest in those fed artificially. Panstrongylus megistus fed on an artificial system required more feedings to complete molting and gained less weight. The insect mortality rate was not influenced by the feeding method. This is the first study showing that artificial feeding conditions affect different physiological parameters in two triatomine species, questioning the viability of exclusive artificial feeding as a sustainable strategy in a laboratory environment.

摘要

背景

活体动物是昆虫饲养室中饲养和维持锥蝽的首选食物来源。然而,作为使用活体动物的替代方法,对人工饲养的需求日益增加。尽管有这种需求,但仍缺乏科学研究表明在昆虫饲养室中通过人工饲养培育锥蝽群体的可行性。在这方面,我们测试了用人工系统喂养锥蝽是否会影响昆虫发育过程中的不同生理和生物学参数。

方法/主要发现:针对侵扰锥猎蝽和大锥蝽这两个物种设立了三个实验组。每周对昆虫进行单独喂食,每个组接受不同的处理,如下:A)用兔血的人工饲养系统,B)活体动物宿主,C)交替喂食(一周A,下一周B)。这些组保持在相同的环境条件下并每天进行监测。对每个龄期和整个周期评估的参数包括供血方法对昆虫发育时间的影响、喂养方法与昆虫死亡率之间的关联、体重增加以及触发蜕皮所需的喂食次数。后两个参数仅在大锥蝽中进行评估。

结论/意义:性别不影响昆虫的存活或体重增加。以活体动物宿主为食的昆虫生物周期持续时间最短,其次是交替喂食的组,以人工喂养的昆虫生物周期持续时间最长。以人工系统为食的大锥蝽完成蜕皮需要更多次喂食且体重增加较少。昆虫死亡率不受喂养方法的影响。这是第一项表明人工饲养条件会影响两种锥蝽物种不同生理参数的研究,对在实验室环境中仅采用人工饲养作为可持续策略的可行性提出了质疑。

https://cdn.ncbi.nlm.nih.gov/pmc/blobs/0c4b/12101860/905f0d33c152/pone.0323090.g010.jpg
https://cdn.ncbi.nlm.nih.gov/pmc/blobs/0c4b/12101860/72e7e550dc56/pone.0323090.g001.jpg
https://cdn.ncbi.nlm.nih.gov/pmc/blobs/0c4b/12101860/b393d49499b6/pone.0323090.g002.jpg
https://cdn.ncbi.nlm.nih.gov/pmc/blobs/0c4b/12101860/ff201eff94fb/pone.0323090.g003.jpg
https://cdn.ncbi.nlm.nih.gov/pmc/blobs/0c4b/12101860/293914d89294/pone.0323090.g004.jpg
https://cdn.ncbi.nlm.nih.gov/pmc/blobs/0c4b/12101860/0fc78dbc1bb6/pone.0323090.g005.jpg
https://cdn.ncbi.nlm.nih.gov/pmc/blobs/0c4b/12101860/a8a7a0bc3a8b/pone.0323090.g006.jpg
https://cdn.ncbi.nlm.nih.gov/pmc/blobs/0c4b/12101860/c765ae00e5b8/pone.0323090.g007.jpg
https://cdn.ncbi.nlm.nih.gov/pmc/blobs/0c4b/12101860/f2b6cc1118b8/pone.0323090.g008.jpg
https://cdn.ncbi.nlm.nih.gov/pmc/blobs/0c4b/12101860/2f1644b2ff95/pone.0323090.g009.jpg
https://cdn.ncbi.nlm.nih.gov/pmc/blobs/0c4b/12101860/905f0d33c152/pone.0323090.g010.jpg
https://cdn.ncbi.nlm.nih.gov/pmc/blobs/0c4b/12101860/72e7e550dc56/pone.0323090.g001.jpg
https://cdn.ncbi.nlm.nih.gov/pmc/blobs/0c4b/12101860/b393d49499b6/pone.0323090.g002.jpg
https://cdn.ncbi.nlm.nih.gov/pmc/blobs/0c4b/12101860/ff201eff94fb/pone.0323090.g003.jpg
https://cdn.ncbi.nlm.nih.gov/pmc/blobs/0c4b/12101860/293914d89294/pone.0323090.g004.jpg
https://cdn.ncbi.nlm.nih.gov/pmc/blobs/0c4b/12101860/0fc78dbc1bb6/pone.0323090.g005.jpg
https://cdn.ncbi.nlm.nih.gov/pmc/blobs/0c4b/12101860/a8a7a0bc3a8b/pone.0323090.g006.jpg
https://cdn.ncbi.nlm.nih.gov/pmc/blobs/0c4b/12101860/c765ae00e5b8/pone.0323090.g007.jpg
https://cdn.ncbi.nlm.nih.gov/pmc/blobs/0c4b/12101860/f2b6cc1118b8/pone.0323090.g008.jpg
https://cdn.ncbi.nlm.nih.gov/pmc/blobs/0c4b/12101860/2f1644b2ff95/pone.0323090.g009.jpg
https://cdn.ncbi.nlm.nih.gov/pmc/blobs/0c4b/12101860/905f0d33c152/pone.0323090.g010.jpg

相似文献

1
Impact of artificial feeding on the developmental cycle of two triatomine species.人工饲养对两种锥蝽物种发育周期的影响。
PLoS One. 2025 May 12;20(5):e0323090. doi: 10.1371/journal.pone.0323090. eCollection 2025.
2
Triatoma infestans is more efficient than Panstrongylus megistus in obtaining blood meals on non anaesthetized mice.在未麻醉的小鼠身上获取血餐时,骚扰锥蝽比大锥蝽更高效。
Mem Inst Oswaldo Cruz. 1995 Nov-Dec;90(6):765-7. doi: 10.1590/s0074-02761995000600019.
3
Host availability limits population density of Panstrongylus megistus.宿主的可利用性限制了大锥猎蝽的种群密度。
Am J Trop Med Hyg. 1983 Nov;32(6):1445-50. doi: 10.4269/ajtmh.1983.32.1445.
4
[Feeding and defecation dynamics of Triatoma sordida].[污色锥猎蝽的摄食与排便动态]
Rev Soc Bras Med Trop. 1995 Jul-Sep;28(3):195-8. doi: 10.1590/s0037-86821995000300005.
5
Aggregation behaviour in Panstrongylus megistus and Triatoma infestans: inter and intraspecific responses.大锥蝽和骚扰锥蝽的聚集行为:种间和种内反应。
Acta Trop. 2002 Jan;81(1):47-52. doi: 10.1016/s0001-706x(01)00185-1.
6
Biological cycle and preliminary data on vectorial competence of Triatoma boliviana in laboratory conditions.玻利维亚锥猎蝽在实验室条件下的生物周期及媒介能力初步数据。
Acta Trop. 2014 Dec;140:124-9. doi: 10.1016/j.actatropica.2014.08.014. Epub 2014 Aug 20.
7
Trypanosoma cruzi: kinetics of metacyclogenesis in adult and nymphal Panstrongylus megistus.克氏锥虫:大锥蝽成虫和若虫体内循环后期发育的动力学
Exp Parasitol. 1985 Apr;59(2):231-8. doi: 10.1016/0014-4894(85)90077-3.
8
Influence of the blood meal source on the development of Triatoma infestans, Triatoma brasiliensis, Triatoma sordida, and Triatoma pseudomaculata (Heteroptera, Reduviidae).血餐来源对侵扰锥猎蝽、巴西锥猎蝽、污色锥猎蝽和拟黄斑锥猎蝽(半翅目,猎蝽科)发育的影响
J Med Entomol. 2000 May;37(3):373-9. doi: 10.1093/jmedent/37.3.373.
9
Vector competence and feeding-excretion behavior of Triatoma rubrovaria (Blanchard, 1843) (Hemiptera: Reduviidae) infected with Trypanosoma cruzi TcVI.感染克氏锥虫 TcVI 的红彩真猎蝽(Triatoma rubrovaria (Blanchard, 1843))(半翅目:猎蝽科)的媒介效能和取食-排泄行为。
PLoS Negl Trop Dis. 2020 Sep 24;14(9):e0008712. doi: 10.1371/journal.pntd.0008712. eCollection 2020 Sep.
10
Survival and molting incidence after heat and cold shocks in Panstrongylus megistus Burmeister.大劣按蚊在冷热休克后的存活及蜕皮发生率
Mem Inst Oswaldo Cruz. 1999 Jan-Feb;94(1):131-7. doi: 10.1590/s0074-02761999000100026.

本文引用的文献

1
Ethical considerations regarding animal experimentation.动物实验的伦理考虑。
J Prev Med Hyg. 2022 Oct 17;63(2 Suppl 3):E255-E266. doi: 10.15167/2421-4248/jpmh2022.63.2S3.2768. eCollection 2022 Jun.
2
A review of the taxonomy and biology of Triatominae subspecies (Hemiptera: Reduviidae).三锥虫亚科(半翅目:锥虫科)亚种的分类学和生物学综述。
Parasitol Res. 2022 Feb;121(2):499-512. doi: 10.1007/s00436-021-07414-2. Epub 2022 Jan 5.
3
Coleção de Vetores de Tripanosomatídeos (Fiocruz/COLVET) held at the institution Fiocruz Minas in Brazil: diversity of Triatominae (Hemiptera, Reduviidae) and relevance for research, education, and entomological surveillance.
巴西米纳斯吉拉斯州奥斯瓦尔多·克鲁兹基金会(Fiocruz Minas)保存的锥蝽科昆虫载体库(Fiocruz/COLVET):锥蝽亚科(半翅目,猎蝽科)的多样性及其在研究、教育和昆虫学监测中的意义。
Zookeys. 2021 Dec 1;1074:17-42. doi: 10.3897/zookeys.1074.69700. eCollection 2021.
4
Trends in Taxonomy of Chagas Disease Vectors (Hemiptera, Reduviidae, Triatominae): From Linnaean to Integrative Taxonomy.恰加斯病病媒(半翅目,猎蝽科,锥蝽亚科)的分类学趋势:从林奈分类法到综合分类法
Pathogens. 2021 Dec 15;10(12):1627. doi: 10.3390/pathogens10121627.
5
Urban infestation by Triatoma infestans (Hemiptera: Reduviidae), an overlooked phenomena for Chagas disease in Argentina.阿根廷忽视了锥蝽(半翅目:红蝽科)在城市中的滋生现象,而这正是导致克氏锥虫病的原因之一。
Mem Inst Oswaldo Cruz. 2021 Jun 2;116:e210056. doi: 10.1590/0074-02760210056. eCollection 2021.
6
, a new species of Triatominae (Hemiptera, Reduviidae) from Bolivia.一种来自玻利维亚的锥蝽亚科(半翅目,猎蝽科)新物种。
Zookeys. 2021 Jan 26;1012:71-93. doi: 10.3897/zookeys.1012.54779. eCollection 2021.
7
Reduction of Animal Sacrifice in Biomedical Science & Research through Alternative Design of Animal Experiments.通过动物实验的替代设计减少生物医学科学与研究中的动物牺牲
Saudi Pharm J. 2018 Sep;26(6):896-902. doi: 10.1016/j.jsps.2018.03.006. Epub 2018 Mar 12.
8
Laboratory colonization and mass rearing of phlebotomine sand flies (Diptera, Psychodidae).白蛉(双翅目,蛾蠓科)的实验室定殖与大量饲养
Parasite. 2017;24:42. doi: 10.1051/parasite/2017041. Epub 2017 Nov 15.
9
Animal experimentation and alternatives: revealed preferences.动物实验与替代方法:显示性偏好
Altern Lab Anim. 2017 Mar;45(1):1-3. doi: 10.1177/026119291704500103.
10
Geographic distribution of chagas disease vectors in Brazil based on ecological niche modeling.基于生态位模型的巴西恰加斯病传播媒介的地理分布。
J Trop Med. 2012;2012:705326. doi: 10.1155/2012/705326. Epub 2012 Feb 27.