• 文献检索
  • 文档翻译
  • 深度研究
  • 学术资讯
  • Suppr Zotero 插件Zotero 插件
  • 邀请有礼
  • 套餐&价格
  • 历史记录
应用&插件
Suppr Zotero 插件Zotero 插件浏览器插件Mac 客户端Windows 客户端微信小程序
定价
高级版会员购买积分包购买API积分包
服务
文献检索文档翻译深度研究API 文档MCP 服务
关于我们
关于 Suppr公司介绍联系我们用户协议隐私条款
关注我们

Suppr 超能文献

核心技术专利:CN118964589B侵权必究
粤ICP备2023148730 号-1Suppr @ 2026

文献检索

告别复杂PubMed语法,用中文像聊天一样搜索,搜遍4000万医学文献。AI智能推荐,让科研检索更轻松。

立即免费搜索

文件翻译

保留排版,准确专业,支持PDF/Word/PPT等文件格式,支持 12+语言互译。

免费翻译文档

深度研究

AI帮你快速写综述,25分钟生成高质量综述,智能提取关键信息,辅助科研写作。

立即免费体验

氧化亚氮滥用与维生素B12缺乏所致脊髓亚急性联合变性的对比研究

Comparative study of subacute combined degeneration of the spinal cord due to nitrous oxide abuse and vitamin B12 deficiency.

作者信息

Agbo Sedine Marie Desiree Nina, Duan Xiaohui, Wang Li, Dong Mingrui, Wang Qian, Cai Xiaojing, Liu Fang

机构信息

Department of Neurology, The First Hospital of Tsinghua University, Beijing, China.

Department of Neurology, China-Japan Friendship Hospital, Beijing, China.

出版信息

Front Immunol. 2025 Apr 28;16:1567541. doi: 10.3389/fimmu.2025.1567541. eCollection 2025.

DOI:10.3389/fimmu.2025.1567541
PMID:40356911
原文链接:https://pmc.ncbi.nlm.nih.gov/articles/PMC12066286/
Abstract

OBJECTIVE

The aim of this study was to compare the clinical presentations, nerve conduction studies, neuroimaging findings of subacute combined degeneration (SCD) caused by NO abuse and primary vitamin B12 deficiency. The goal is to improve diagnostic accuracy, tailored therapeutic interventions, and ultimately enhancing patient outcomes in cases of SCD caused by NO abuse.

METHODS

This study was a retrospective case-control study which enrolled 23 patients diagnosed with NO-induced subacute combined degeneration (NO-SCD) and 20 patients with vitamin B12 deficiency-induced subacute combined degeneration (Vit B12-SCD) between 2015 and 2023. Clinical manifestations, physical examinations, laboratory tests, nerve conduction studies, and spinal cord MRI imaging results were collected. Additionally, age-matched healthy control groups were also included for comparative electrophysiological analysis, consisting of 23 young individuals and 21 elderly individuals corresponding to the NO-SCD and Vit B12-SCD groups, respectively.

RESULTS

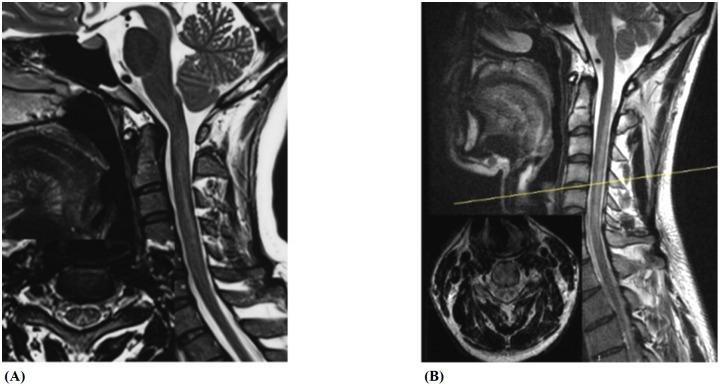
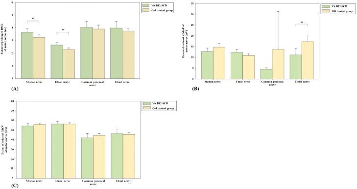
The study found that compared to Vit B12-SCD, NO-SCD patients exhibited more severe and extensive neurological damage. Both NO-SCD and Vit B12- SCD patients may present with numbness or abnormal sensations, limb weakness, difficulty walking and inability to walk, but these are more severe and widespread in NO-SCD patients. NO-SCD patients showed significant decreases in limb strength, with common walking difficulties and paralysis. Additionally, NO abuse patients more frequently exhibited psychiatric symptoms, especially memory loss, hallucinations and confusion. Both Vit B12-SCD and NO-SCD can cause peripheral nerve demyelination and axonal damage, but it is more severe in the NO-SCD group, with more damage in the lower limbs than in the upper limbs. The extensive nature of axonal damage also indicated a poor prognosis. The degree of spinal cord damage in the NO-SCD group was more severe and affected longer segments. These results suggest that in addition to affecting vitamin B12, NO also causes neurological damage through other mechanisms.

CONCLUSION

In summary, NO-SCD leads to more severe clinical symptoms, peripheral nerve damage, and spinal cord injury than Vit B12-SCD. These differences guide the clinical treatment of NO-SCD, requiring not only vitamin B12 supplementation but also an addition in neuroprotective treatments.

摘要

目的

本研究旨在比较一氧化氮(NO)滥用所致亚急性联合变性(SCD)与原发性维生素B12缺乏所致亚急性联合变性的临床表现、神经传导研究及神经影像学表现。目标是提高NO滥用所致SCD病例的诊断准确性、制定针对性的治疗干预措施,并最终改善患者预后。

方法

本研究为回顾性病例对照研究,纳入了2015年至2023年间诊断为NO诱导的亚急性联合变性(NO-SCD)的23例患者和维生素B12缺乏诱导的亚急性联合变性(Vit B12-SCD)的20例患者。收集了临床表现、体格检查、实验室检查、神经传导研究及脊髓MRI成像结果。此外,还纳入了年龄匹配的健康对照组进行比较电生理分析,分别由23名年轻人和21名老年人组成,对应于NO-SCD组和Vit B12-SCD组。

结果

研究发现,与Vit B12-SCD相比,NO-SCD患者表现出更严重、更广泛的神经损伤。NO-SCD和Vit B12-SCD患者均可能出现麻木或异常感觉、肢体无力、行走困难及无法行走,但这些症状在NO-SCD患者中更严重、更广泛。NO-SCD患者肢体力量显著下降,常见行走困难及瘫痪。此外,NO滥用患者更常出现精神症状,尤其是记忆力减退、幻觉和意识模糊。Vit B12-SCD和NO-SCD均可导致周围神经脱髓鞘和轴突损伤,但在NO-SCD组更严重,下肢损伤比上肢更严重。轴突损伤的广泛性也表明预后不良。NO-SCD组脊髓损伤程度更严重,累及节段更长。这些结果表明,NO除了影响维生素B12外,还通过其他机制导致神经损伤。

结论

总之,与Vit B12-SCD相比,NO-SCD导致更严重的临床症状、周围神经损伤和脊髓损伤。这些差异为NO-SCD的临床治疗提供了指导,不仅需要补充维生素B12,还需增加神经保护治疗。

https://cdn.ncbi.nlm.nih.gov/pmc/blobs/4cae/12066286/7c44898f03d0/fimmu-16-1567541-g009.jpg
https://cdn.ncbi.nlm.nih.gov/pmc/blobs/4cae/12066286/1bc20034d431/fimmu-16-1567541-g001.jpg
https://cdn.ncbi.nlm.nih.gov/pmc/blobs/4cae/12066286/b23b11575703/fimmu-16-1567541-g002.jpg
https://cdn.ncbi.nlm.nih.gov/pmc/blobs/4cae/12066286/0fbfecf9e68b/fimmu-16-1567541-g003.jpg
https://cdn.ncbi.nlm.nih.gov/pmc/blobs/4cae/12066286/68517ded02cf/fimmu-16-1567541-g004.jpg
https://cdn.ncbi.nlm.nih.gov/pmc/blobs/4cae/12066286/bc91462ee0f8/fimmu-16-1567541-g005.jpg
https://cdn.ncbi.nlm.nih.gov/pmc/blobs/4cae/12066286/9d2470154341/fimmu-16-1567541-g006.jpg
https://cdn.ncbi.nlm.nih.gov/pmc/blobs/4cae/12066286/c2c199893260/fimmu-16-1567541-g007.jpg
https://cdn.ncbi.nlm.nih.gov/pmc/blobs/4cae/12066286/4777fb68e52d/fimmu-16-1567541-g008.jpg
https://cdn.ncbi.nlm.nih.gov/pmc/blobs/4cae/12066286/7c44898f03d0/fimmu-16-1567541-g009.jpg
https://cdn.ncbi.nlm.nih.gov/pmc/blobs/4cae/12066286/1bc20034d431/fimmu-16-1567541-g001.jpg
https://cdn.ncbi.nlm.nih.gov/pmc/blobs/4cae/12066286/b23b11575703/fimmu-16-1567541-g002.jpg
https://cdn.ncbi.nlm.nih.gov/pmc/blobs/4cae/12066286/0fbfecf9e68b/fimmu-16-1567541-g003.jpg
https://cdn.ncbi.nlm.nih.gov/pmc/blobs/4cae/12066286/68517ded02cf/fimmu-16-1567541-g004.jpg
https://cdn.ncbi.nlm.nih.gov/pmc/blobs/4cae/12066286/bc91462ee0f8/fimmu-16-1567541-g005.jpg
https://cdn.ncbi.nlm.nih.gov/pmc/blobs/4cae/12066286/9d2470154341/fimmu-16-1567541-g006.jpg
https://cdn.ncbi.nlm.nih.gov/pmc/blobs/4cae/12066286/c2c199893260/fimmu-16-1567541-g007.jpg
https://cdn.ncbi.nlm.nih.gov/pmc/blobs/4cae/12066286/4777fb68e52d/fimmu-16-1567541-g008.jpg
https://cdn.ncbi.nlm.nih.gov/pmc/blobs/4cae/12066286/7c44898f03d0/fimmu-16-1567541-g009.jpg

相似文献

1
Comparative study of subacute combined degeneration of the spinal cord due to nitrous oxide abuse and vitamin B12 deficiency.氧化亚氮滥用与维生素B12缺乏所致脊髓亚急性联合变性的对比研究
Front Immunol. 2025 Apr 28;16:1567541. doi: 10.3389/fimmu.2025.1567541. eCollection 2025.
2
Recreational nitrous oxide abuse related subacute combined degeneration of the spinal cord in adolescents - A case series and literature review.青少年娱乐性一氧化二氮滥用相关的脊髓亚急性联合变性——病例系列及文献综述
Brain Dev. 2019 May;41(5):428-435. doi: 10.1016/j.braindev.2018.12.003. Epub 2019 Jan 2.
3
Subacute combined degeneration of the spinal cord following nitrous oxide anesthesia: A systematic review of cases.氧化亚氮麻醉后脊髓亚急性联合变性:病例系统评价
Clin Neurol Neurosurg. 2018 Oct;173:163-168. doi: 10.1016/j.clineuro.2018.08.016. Epub 2018 Aug 9.
4
Nitrous oxide abuse induced subacute combined degeneration despite patient initiated B12 supplementation.一氧化二氮滥用导致亚急性联合变性,尽管患者开始补充 B12。
Clin Toxicol (Phila). 2022 Jul;60(7):872-875. doi: 10.1080/15563650.2022.2046772. Epub 2022 Mar 7.
5
Subacute Combined Degeneration of the Spinal Cord Induced by Nitrous Oxide Abuse: A Rare Patient Presentation to a Spine Surgery Clinic: Illustrative Case.滥用一氧化二氮导致的脊髓亚急性联合变性:脊柱外科门诊的罕见病例报告:病例分析
J Am Acad Orthop Surg Glob Res Rev. 2024 Jan 16;8(1). doi: 10.5435/JAAOSGlobal-D-23-00104. eCollection 2024 Jan 1.
6
Clinical-radiological dissociation in a patient with nitrous oxide-induced subacute combined degeneration: a case report.一氧化二氮诱导的亚急性联合变性患者的临床-放射学分离:病例报告。
BMC Neurol. 2020 Mar 17;20(1):99. doi: 10.1186/s12883-020-01685-5.
7
Clinical and MRI Differences Between Patients With Subacute Combined Degeneration of the Spinal Cord Related vs. Unrelated to Recreational Nitrous Oxide Use: A Retrospective Study.与娱乐性使用氧化亚氮相关和无关的脊髓亚急性联合变性患者的临床和MRI差异:一项回顾性研究
Front Neurol. 2021 Feb 2;12:626174. doi: 10.3389/fneur.2021.626174. eCollection 2021.
8
Nitrous oxide induced subacute combined degeneration of the spine cord: A case report.一氧化二氮诱发的亚急性联合脊髓变性:一例报告。
Medicine (Baltimore). 2024 Feb 9;103(6):e37032. doi: 10.1097/MD.0000000000037032.
9
Subacute combined degeneration of the spinal cord following recreational nitrous oxide use.吸食笑气后导致的脊髓亚急性联合变性。
BMJ Case Rep. 2013 Mar 8;2013:bcr2012008509. doi: 10.1136/bcr-2012-008509.
10
Serum copper decrease and cerebellar atrophy in patients with nitrous oxide-induced subacute combined degeneration: two cases report.血清铜降低和氧化亚氮诱导的亚急性联合变性患者小脑萎缩:两例报告。
BMC Neurol. 2021 Dec 4;21(1):471. doi: 10.1186/s12883-021-02496-y.

本文引用的文献

1
Nitrous oxide induces subacute combined degeneration by affecting vitamin B12 metabolism.氧化亚氮通过影响维生素B12代谢导致亚急性联合变性。
Med Gas Res. 2024 Sep 1;14(3):142-144. doi: 10.4103/2045-9912.385941. Epub 2023 Sep 17.
2
Understanding Neuropathy Features in the Context of Nitrous Oxide Abuse: A Combined Electrophysiological and Metabolic Approach.在一氧化二氮滥用背景下理解神经病变特征:一种电生理与代谢相结合的方法
Biomedicines. 2024 Feb 14;12(2):429. doi: 10.3390/biomedicines12020429.
3
Nitrous-oxide-induced polyneuropathy and subacute combined degeneration of the spine: clinical and diagnostic characteristics in 70 patients, with focus on electrodiagnostic studies.
氧化亚氮诱导的多发性神经病和亚急性联合变性的脊柱:70 例患者的临床和诊断特征,重点是电诊断研究。
Eur J Neurol. 2024 Jan;31(1):e16076. doi: 10.1111/ene.16076. Epub 2023 Sep 27.
4
Comparison of biomarker for diagnosis of nitrous oxide abuse: challenge of cobalamin metabolic parameters, a retrospective study.用于诊断一氧化二氮滥用的生物标志物比较:钴胺素代谢参数面临的挑战,一项回顾性研究
J Neurol. 2023 Apr;270(4):2237-2245. doi: 10.1007/s00415-023-11570-z. Epub 2023 Jan 24.
5
Electrophysiologic Characteristics of Nitrous-Oxide-Associated Peripheral Neuropathy: A Retrospective Study of 76 Patients.氧化亚氮相关性周围神经病的电生理特征:76例患者的回顾性研究
J Clin Neurol. 2023 Jan;19(1):44-51. doi: 10.3988/jcn.2023.19.1.44.
6
A Systematic Review of Recreational Nitrous Oxide Use: Implications for Policy, Service Delivery and Individuals.娱乐性一氧化二氮使用的系统评价:对政策、服务提供和个人的影响。
Int J Environ Res Public Health. 2022 Sep 14;19(18):11567. doi: 10.3390/ijerph191811567.
7
Possible impact of the COVID-19 pandemic on the recreational use of nitrous oxide in the Paris area, France.法国巴黎地区 COVID-19 大流行对一氧化二氮娱乐用途的可能影响。
Rev Med Interne. 2022 Jul;43(7):402-405. doi: 10.1016/j.revmed.2022.06.004. Epub 2022 Jun 15.
8
Neurological and Psychological Characteristics of Young Nitrous Oxide Abusers and Its Underlying Causes During the COVID-19 Lockdown.新冠疫情封锁期间青少年一氧化二氮滥用者的神经心理特征及其潜在原因。
Front Public Health. 2022 Jun 2;10:854977. doi: 10.3389/fpubh.2022.854977. eCollection 2022.
9
Review article: Clinical manifestations and outcomes of chronic nitrous oxide misuse: A systematic review.综述文章:慢性氧化亚氮滥用的临床表现和结局:系统评价。
Emerg Med Australas. 2022 Aug;34(4):492-503. doi: 10.1111/1742-6723.13997. Epub 2022 Jun 13.
10
Nitrous oxide abuse induced subacute combined degeneration despite patient initiated B12 supplementation.一氧化二氮滥用导致亚急性联合变性,尽管患者开始补充 B12。
Clin Toxicol (Phila). 2022 Jul;60(7):872-875. doi: 10.1080/15563650.2022.2046772. Epub 2022 Mar 7.