Suppr超能文献

红花蛋白水解物:理化性质、功能特性及抗氧化活性

Safflower Protein Hydrolysates: Physicochemical, Functional Properties and Antioxidant Activities.

作者信息

Korkmaz Fatma, Mutlu Ceren

机构信息

Food Engineering Department, Engineering Faculty Balıkesir University Balıkesir Türkiye.

Centro de Investigacão de Montanha (CIMO) Instituto Politécnico de Bragança Bragança Portugal.

出版信息

Food Sci Nutr. 2025 May 11;13(5):e70258. doi: 10.1002/fsn3.70258. eCollection 2025 May.

Abstract

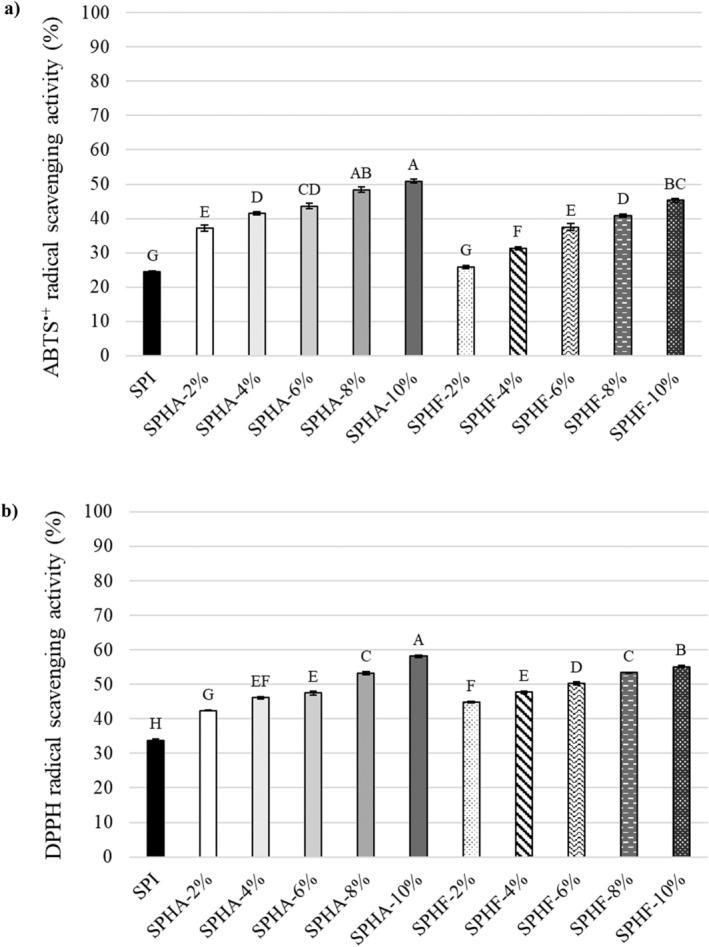
This study aimed to investigate the effect of enzymatic hydrolysis on the physicochemical, functional, and antioxidant properties of safflower protein isolate and hydrolysates. Isolated safflower protein was hydrolyzed by both Alcalase and Flavourzyme at the degree of hydrolysis of 2%, 4%, 6%, 8%, and 10%. Safflower protein hydrolysates exhibited a lighter color (3.74%-8.79%) and reduced redness (69.11%-102.85%) with lower cohesiveness (15.29%-21.76%) and better flowability (25.91%-40.27%) compared to the protein isolate. Moreover, the surface hydrophobicity of safflower protein isolate decreased up to 73.18% with hydrolysis, while solubility increased up to 54.42% at pH 4-7. Safflower proteins hydrolyzed with Alcalase had higher oil binding, foaming, and emulsion capacities than samples hydrolyzed with Flavourzyme, while their water holding capacities were lower. Furthermore, safflower proteins hydrolyzed with Alcalase at an 8% degree of hydrolysis displayed the highest foaming capacity (up to 3.89 times) and emulsion capacity (up to 1.23 times) in all samples. However, it had poor foam (up to 67.06%) and emulsion stability (up to 74.35%). Additionally, safflower protein hydrolysates demonstrated higher ABTS and DPPH radical scavenging activity. Overall, safflower protein hydrolysates showed better physicochemical, functional, and antioxidant properties than protein isolates, depending on enzyme types and degree of hydrolysis.

摘要

本研究旨在探讨酶解对红花分离蛋白及其水解产物的理化性质、功能特性和抗氧化性能的影响。采用碱性蛋白酶(Alcalase)和风味蛋白酶(Flavourzyme)对分离得到的红花蛋白进行水解,水解度分别为2%、4%、6%、8%和10%。与分离蛋白相比,红花蛋白水解产物颜色更浅(3.74%-8.79%),红色值降低(69.11%-102.85%),内聚性更低(15.29%-21.76%),流动性更好(25.91%-40.27%)。此外,红花分离蛋白的表面疏水性随水解作用降低了73.18%,而在pH值4-7时溶解度提高了54.42%。用碱性蛋白酶水解的红花蛋白比用风味蛋白酶水解的样品具有更高的油结合能力、发泡能力和乳化能力,但其持水能力较低。此外,在所有样品中,用碱性蛋白酶在8%水解度下制备的红花蛋白水解产物具有最高的发泡能力(高达3.89倍)和乳化能力(高达1.23倍)。然而,其泡沫稳定性较差(高达67.06%),乳化稳定性也较差(高达74.35%)。此外,红花蛋白水解产物表现出更高的ABTS和DPPH自由基清除活性。总体而言,取决于酶的类型和水解度,红花蛋白水解产物比分离蛋白具有更好的理化性质、功能特性和抗氧化性能。

https://cdn.ncbi.nlm.nih.gov/pmc/blobs/d543/12066243/d5c43b35f14e/FSN3-13-e70258-g003.jpg

文献检索

告别复杂PubMed语法,用中文像聊天一样搜索,搜遍4000万医学文献。AI智能推荐,让科研检索更轻松。

立即免费搜索

文件翻译

保留排版,准确专业,支持PDF/Word/PPT等文件格式,支持 12+语言互译。

免费翻译文档

深度研究

AI帮你快速写综述,25分钟生成高质量综述,智能提取关键信息,辅助科研写作。

立即免费体验