Suppr超能文献

苯乙烯与马来酰亚胺衍生物的自由基聚合反应:分子量控制及其作为耐热剂的应用

Free Radical Polymerization of Styrene and Maleimide Derivatives: Molecular Weight Control and Application as a Heat Resistance Agent.

作者信息

Ding Jiawei, Yang Changlei, Zhou Liqiong, Li Wenjing, Li Jiaqi, He Cixiang, Liu Yufei, He Min, Qin Shuhao, Yu Jie

机构信息

Department of Polymer Material and Engineering, College of Materials and Metallurgy, Guizhou University, Guiyang 550025, China.

National Engineering Research Center for Compounding and Modification of Polymeric Materials, Guiyang 550014, China.

出版信息

Molecules. 2025 Apr 22;30(9):1863. doi: 10.3390/molecules30091863.

Abstract

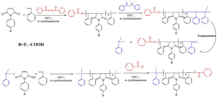
Poly (styrene-maleic anhydride) copolymers, due to their unique structure, are extensively functionalized and modified for preparing heat stabilizers, compatibilizers, and other functional additives. Using 4-methylpent-1-ene-2,4-diyl diphenyl (α-MSD) as a chain transfer agent, a series of molecular-weight-controlled maleic anhydride-derived styrene copolymers, poly(N-p-fluorophenylmaleimide-alt-styrene) (PFS) and poly(N-p-carboxylphenylmaleimide-alt-styrene) (PCS), were synthesized via free radical copolymerization. The molecular weights of PFS and PCS were adjusted to explore their impact on the properties of PFS/PA6 and PCS/PA6 blends. Gel permeation chromatography (GPC) analysis confirmed that α-MSD effectively regulated the molecular weights of PFS and PCS. PFS and PCS with lower molecular weights exhibited significantly reduced viscosity, with minimal impact on their thermal and mechanical properties.

摘要

聚(苯乙烯-马来酸酐)共聚物因其独特的结构,被广泛地官能化和改性,用于制备热稳定剂、增容剂和其他功能性添加剂。以4-甲基戊-1-烯-2,4-二基二苯基(α-MSD)作为链转移剂,通过自由基共聚合成了一系列分子量可控的马来酸酐衍生苯乙烯共聚物、聚(N-对氟苯基马来酰亚胺-alt-苯乙烯)(PFS)和聚(N-对羧基苯基马来酰亚胺-alt-苯乙烯)(PCS)。调节PFS和PCS的分子量以探究它们对PFS/PA6和PCS/PA6共混物性能的影响。凝胶渗透色谱(GPC)分析证实α-MSD有效地调节了PFS和PCS的分子量。较低分子量的PFS和PCS表现出显著降低的粘度,对其热性能和机械性能影响最小。

https://cdn.ncbi.nlm.nih.gov/pmc/blobs/5039/12073128/895483966490/molecules-30-01863-sch001.jpg

文献检索

告别复杂PubMed语法,用中文像聊天一样搜索,搜遍4000万医学文献。AI智能推荐,让科研检索更轻松。

立即免费搜索

文件翻译

保留排版,准确专业,支持PDF/Word/PPT等文件格式,支持 12+语言互译。

免费翻译文档

深度研究

AI帮你快速写综述,25分钟生成高质量综述,智能提取关键信息,辅助科研写作。

立即免费体验