• 文献检索
  • 文档翻译
  • 深度研究
  • 学术资讯
  • Suppr Zotero 插件Zotero 插件
  • 邀请有礼
  • 套餐&价格
  • 历史记录
应用&插件
Suppr Zotero 插件Zotero 插件浏览器插件Mac 客户端Windows 客户端微信小程序
定价
高级版会员购买积分包购买API积分包
服务
文献检索文档翻译深度研究API 文档MCP 服务
关于我们
关于 Suppr公司介绍联系我们用户协议隐私条款
关注我们

Suppr 超能文献

核心技术专利:CN118964589B侵权必究
粤ICP备2023148730 号-1Suppr @ 2026

文献检索

告别复杂PubMed语法,用中文像聊天一样搜索,搜遍4000万医学文献。AI智能推荐,让科研检索更轻松。

立即免费搜索

文件翻译

保留排版,准确专业,支持PDF/Word/PPT等文件格式,支持 12+语言互译。

免费翻译文档

深度研究

AI帮你快速写综述,25分钟生成高质量综述,智能提取关键信息,辅助科研写作。

立即免费体验

糯高粱-大豆间作体系下施氮量对糯高粱氮素吸收与利用的影响

Effects of Nitrogen Application Rate on Nitrogen Uptake and Utilization in Waxy Sorghum Under Waxy Sorghum-Soybean Intercropping Systems.

作者信息

Wang Can, Chen Siyu, Peng Fangli, Zhao Qiang, Gao Jie, Zhou Lingbo, Zhang Guobing, Shao Mingbo

机构信息

Institute of Upland Food Crops, Guizhou Academy of Agricultural Sciences, Guiyang 550006, China.

出版信息

Plants (Basel). 2025 May 3;14(9):1384. doi: 10.3390/plants14091384.

DOI:10.3390/plants14091384
PMID:40364413
原文链接:https://pmc.ncbi.nlm.nih.gov/articles/PMC12073204/
Abstract

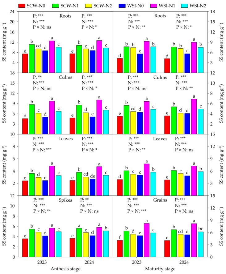
Waxy sorghum-soybean intercropping is a sustainable and intensive farming system in southwest China. However, there is limited knowledge about the effects of intercropped soybean combined with nitrogen application on nitrogen uptake and utilization in waxy sorghum. A two-year (2023 and 2024) field experiment was carried out using a randomized complete block design with three planting patterns and three nitrogen application rates to explore the responses of grain yield formation and nitrogen uptake, accumulation, transportation, metabolism physiology, and utilization of waxy sorghum for intercropped soybean combined with nitrogen application. Planting patterns included sole cropped waxy sorghum (SCW), sole cropped soybean (SCS), and waxy sorghum intercropped with soybean (WSI), and nitrogen application rates included zero nitrogen (N0), medium nitrogen (N1), and high nitrogen (N2). Results showed that the dry matter accumulation amount, nitrogen content, nitrogen accumulation amount, nitrogen transportation amount, nitrogen transportation rate, contribution rate of nitrogen transportation to grains, nitrogen metabolizing enzymes activities (including nitrate reductase, nitrite reductase, glutamine synthetase, glutamate synthetase, glutamate dehydrogenase, and glutamic-pyruvic transaminase), and active substances contents (including soluble sugar, soluble protein, and free amino acid) in various organs of waxy sorghum among planting patterns and nitrogen application rates were in the order of WSI > SCW and N1 > N2 > N0, respectively. In addition, the nitrogen uptake efficiency, nitrogen agronomy efficiency, nitrogen apparent efficiency, nitrogen recovery efficiency, nitrogen partial factor productivity, and nitrogen contribution rate of waxy sorghum among planting patterns and nitrogen application rates were in the sequence of WSI > SCW and N1 > N2, respectively. The changes in above traits resulted in the WSI-N1 treatment obtaining the highest grain yield (6020.66 kg ha in 2023 and 6159.81 kg ha in 2024), grain weight per spike (65.22 g in 2023 and 64.51 g in 2024), 1000-grain weight (23.14 g in 2023 and 23.18 g in 2024) of waxy sorghum, and land equivalent ratio (1.41 in 2023 and 1.44 in 2024). Overall, waxy sorghum intercropped with soybean combined with medium nitrogen application (220 kg ha for waxy sorghum and 18 kg ha for soybean) can help enhance the nitrogen uptake and utilization of waxy sorghum by improving nitrogen metabolizing enzymes' activities and active substances' contents, thereby promoting its productivity.

摘要

糯高粱与大豆间作是中国西南地区一种可持续的集约型种植系统。然而,关于间作大豆并施氮对糯高粱氮素吸收和利用的影响,目前了解有限。进行了为期两年(2023年和2024年)的田间试验,采用随机完全区组设计,设置三种种植模式和三种施氮量,以探究间作大豆并施氮条件下糯高粱产量形成及氮素吸收、积累、转运、代谢生理和利用的响应。种植模式包括单作糯高粱(SCW)、单作大豆(SCS)和糯高粱与大豆间作(WSI),施氮量包括不施氮(N0)、中氮(N1)和高氮(N2)。结果表明,不同种植模式和施氮量下,糯高粱各器官的干物质积累量、氮含量、氮积累量、氮转运量、氮转运率、氮转运对籽粒的贡献率、氮代谢酶活性(包括硝酸还原酶、亚硝酸还原酶、谷氨酰胺合成酶、谷氨酸合成酶、谷氨酸脱氢酶和谷丙转氨酶)以及活性物质含量(包括可溶性糖、可溶性蛋白和游离氨基酸)的顺序分别为WSI > SCW和N1 > N2 > N0。此外,不同种植模式和施氮量下,糯高粱的氮吸收效率、氮农学效率、氮表观效率、氮回收效率、氮偏生产力和氮贡献率的顺序分别为WSI > SCW和N1 > N2。上述性状的变化使得WSI-N1处理的糯高粱获得了最高产量(2023年为6020.66 kg/ha,2024年为6159.81 kg/ha)、单穗粒重(2023年为65.22 g,2024年为64.51 g)、千粒重(2023年为23.14 g,2024年为23.18 g)以及土地当量比(2023年为1.41,2024年为1.44)。总体而言,糯高粱与大豆间作并施中氮(糯高粱220 kg/ha,大豆18 kg/ha)可通过提高氮代谢酶活性和活性物质含量来增强糯高粱的氮吸收和利用,从而提高其生产力。

https://cdn.ncbi.nlm.nih.gov/pmc/blobs/466a/12073204/9b093d590abe/plants-14-01384-g004.jpg
https://cdn.ncbi.nlm.nih.gov/pmc/blobs/466a/12073204/1a071d41684b/plants-14-01384-g001.jpg
https://cdn.ncbi.nlm.nih.gov/pmc/blobs/466a/12073204/6240a232c6ef/plants-14-01384-g002.jpg
https://cdn.ncbi.nlm.nih.gov/pmc/blobs/466a/12073204/5ff7a54b5b5c/plants-14-01384-g003.jpg
https://cdn.ncbi.nlm.nih.gov/pmc/blobs/466a/12073204/9b093d590abe/plants-14-01384-g004.jpg
https://cdn.ncbi.nlm.nih.gov/pmc/blobs/466a/12073204/1a071d41684b/plants-14-01384-g001.jpg
https://cdn.ncbi.nlm.nih.gov/pmc/blobs/466a/12073204/6240a232c6ef/plants-14-01384-g002.jpg
https://cdn.ncbi.nlm.nih.gov/pmc/blobs/466a/12073204/5ff7a54b5b5c/plants-14-01384-g003.jpg
https://cdn.ncbi.nlm.nih.gov/pmc/blobs/466a/12073204/9b093d590abe/plants-14-01384-g004.jpg

相似文献

1
Effects of Nitrogen Application Rate on Nitrogen Uptake and Utilization in Waxy Sorghum Under Waxy Sorghum-Soybean Intercropping Systems.糯高粱-大豆间作体系下施氮量对糯高粱氮素吸收与利用的影响
Plants (Basel). 2025 May 3;14(9):1384. doi: 10.3390/plants14091384.
2
Changes in Nutrient Accumulation and Transportation of Waxy Sorghum in Waxy Sorghum-Soybean Intercropping Systems Under Different Row Ratio Configurations.不同行比配置下糯高粱-大豆间作系统中糯高粱养分积累与转运的变化
Front Plant Sci. 2022 Jul 22;13:921860. doi: 10.3389/fpls.2022.921860. eCollection 2022.
3
Rhizosphere soil properties of waxy sorghum under different row ratio configurations in waxy sorghum-soybean intercropping systems.不同行比配置下糯高粱-大豆间作系统中糯高粱根际土壤特性。
PLoS One. 2023 Jul 6;18(7):e0288076. doi: 10.1371/journal.pone.0288076. eCollection 2023.
4
[Effects of reduced N application rate on yield and nutrient uptake and utilization in maize-soybean relay strip intercropping system].减氮施用量对玉米-大豆带状套作系统产量及养分吸收利用的影响
Ying Yong Sheng Tai Xue Bao. 2014 Feb;25(2):474-82.
5
Assessing the impact of biochar and nitrogen application on yield, water-nitrogen use efficiency and quality of intercropped maize and soybean.评估生物炭和氮肥施用对间作玉米和大豆产量、水氮利用效率及品质的影响。
Front Plant Sci. 2023 May 8;14:1171547. doi: 10.3389/fpls.2023.1171547. eCollection 2023.
6
Nitrogen Level Impacts the Dynamic Changes in Nitrogen Metabolism, and Carbohydrate and Anthocyanin Biosynthesis Improves the Kernel Nutritional Quality of Purple Waxy Maize.氮素水平影响氮代谢的动态变化,碳水化合物和花青素生物合成改善紫糯玉米籽粒营养品质。
Plants (Basel). 2024 Oct 15;13(20):2882. doi: 10.3390/plants13202882.
7
Maize/soybean intercropping increases nutrient uptake, crop yield and modifies soil physio-chemical characteristics and enzymatic activities in the subtropical humid region based in Southwest China.基于中国西南亚热带湿润地区的研究表明,玉米/大豆间作提高了养分吸收、作物产量,并改变了土壤理化特性和酶活性。
BMC Plant Biol. 2024 May 21;24(1):434. doi: 10.1186/s12870-024-05061-0.
8
Application of Bio-Fertilizers Improves Forage Quantity and Quality of Sorghum ( L.) Intercropped with Soybean ( L.).生物肥料的应用提高了与大豆间作的高粱的饲草产量和质量。
Plants (Basel). 2023 Aug 18;12(16):2985. doi: 10.3390/plants12162985.
9
[Effects of nitrogen management on maize nitrogen utilization and residual nitrate nitrogen in soil under maize/soybean and maize/sweet potato relay strip intercropping systems].[氮素管理对玉米/大豆和玉米/甘薯套作系统下玉米氮素利用及土壤残留硝态氮的影响]
Ying Yong Sheng Tai Xue Bao. 2014 Oct;25(10):2868-78.
10
Maize-soybean intercropping at optimal N fertilization increases the N uptake, N yield and N use efficiency of maize crop by regulating the N assimilatory enzymes.在最佳施氮量下进行玉米-大豆间作,通过调节氮同化酶来提高玉米作物的氮吸收量、氮产量和氮利用效率。
Front Plant Sci. 2023 Jan 4;13:1077948. doi: 10.3389/fpls.2022.1077948. eCollection 2022.

本文引用的文献

1
Planting pattern and nitrogen management strategies: positive effect on yield and quality attributes of Triticum aestivum L. crop.种植模式和氮肥管理策略:对冬小麦产量和品质特性的积极影响。
BMC Plant Biol. 2024 Sep 9;24(1):845. doi: 10.1186/s12870-024-05537-z.
2
Maize/soybean intercropping increases nutrient uptake, crop yield and modifies soil physio-chemical characteristics and enzymatic activities in the subtropical humid region based in Southwest China.基于中国西南亚热带湿润地区的研究表明,玉米/大豆间作提高了养分吸收、作物产量,并改变了土壤理化特性和酶活性。
BMC Plant Biol. 2024 May 21;24(1):434. doi: 10.1186/s12870-024-05061-0.
3
N Fixation, N Transfer, and Land Equivalent Ratio (LER) in Grain Legume-Wheat Intercropping: Impact of N Supply and Plant Density.
豆科粮食作物-小麦间作体系中的氮素固定、氮素转移及土地当量比(LER):氮素供应与种植密度的影响
Plants (Basel). 2024 Mar 30;13(7):991. doi: 10.3390/plants13070991.
4
Rhizosphere soil properties of waxy sorghum under different row ratio configurations in waxy sorghum-soybean intercropping systems.不同行比配置下糯高粱-大豆间作系统中糯高粱根际土壤特性。
PLoS One. 2023 Jul 6;18(7):e0288076. doi: 10.1371/journal.pone.0288076. eCollection 2023.
5
Effect of spatial arrangement of faba bean variety intercropping with maize on yield and yield components of the crops.蚕豆品种与玉米间作的空间配置对作物产量及产量构成因素的影响。
Heliyon. 2023 May 27;9(6):e16751. doi: 10.1016/j.heliyon.2023.e16751. eCollection 2023 Jun.
6
Nitrogen use efficiency-a key to enhance crop productivity under a changing climate.氮素利用效率——气候变化下提高作物生产力的关键
Front Plant Sci. 2023 Apr 18;14:1121073. doi: 10.3389/fpls.2023.1121073. eCollection 2023.
7
Maize-soybean intercropping at optimal N fertilization increases the N uptake, N yield and N use efficiency of maize crop by regulating the N assimilatory enzymes.在最佳施氮量下进行玉米-大豆间作,通过调节氮同化酶来提高玉米作物的氮吸收量、氮产量和氮利用效率。
Front Plant Sci. 2023 Jan 4;13:1077948. doi: 10.3389/fpls.2022.1077948. eCollection 2022.
8
Efficiency of Nitrogen Use in Sunflower.向日葵中氮的利用效率
Plants (Basel). 2022 Sep 14;11(18):2390. doi: 10.3390/plants11182390.
9
Nitrogen fertilization coupled with iron foliar application improves the photosynthetic characteristics, photosynthetic nitrogen use efficiency, and the related enzymes of maize crops under different planting patterns.氮肥与铁叶面喷施相结合可改善不同种植模式下玉米作物的光合特性、光合氮利用效率及相关酶活性。
Front Plant Sci. 2022 Sep 2;13:988055. doi: 10.3389/fpls.2022.988055. eCollection 2022.
10
Changes in Nutrient Accumulation and Transportation of Waxy Sorghum in Waxy Sorghum-Soybean Intercropping Systems Under Different Row Ratio Configurations.不同行比配置下糯高粱-大豆间作系统中糯高粱养分积累与转运的变化
Front Plant Sci. 2022 Jul 22;13:921860. doi: 10.3389/fpls.2022.921860. eCollection 2022.