Suppr超能文献

基于中国西南亚热带湿润地区的研究表明,玉米/大豆间作提高了养分吸收、作物产量,并改变了土壤理化特性和酶活性。

Maize/soybean intercropping increases nutrient uptake, crop yield and modifies soil physio-chemical characteristics and enzymatic activities in the subtropical humid region based in Southwest China.

机构信息

Guangxi Key Laboratory of Agro‑Environment and Agro‑Products Safety, Key Laboratory of Crop Cultivation and Physiology, College of Agriculture, Guangxi University, Nanning, 530004, China.

College of Plant Protection, Yunnan Agricultural University, Kunming, 650201, China.

出版信息

BMC Plant Biol. 2024 May 21;24(1):434. doi: 10.1186/s12870-024-05061-0.

Abstract

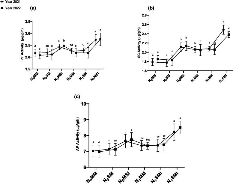
Intercropping, a widely adopted agricultural practice worldwide, aims to increase crop yield, enhance plant nutrient uptake, and optimize the utilization of natural resources, contributing to sustainable farming practices on a global scale. However, the underlying changes in soil physio-chemical characteristics and enzymatic activities, which contribute to crop yield and nutrient uptake in the intercropping systems are largely unknown. Consequently, a two-year (2021-2022) field experiment was conducted on the maize/soybean intercropping practices with/without nitrogen (N) fertilization (i.e., N; 0 N kg ha and N; 225 N kg ha for maize and 100 N kg ha for soybean ) to know whether such cropping system can improve the nutrients uptake and crop yields, soil physio-chemical characteristics, and soil enzymes, which ultimately results in enhanced crop yield. The results revealed that maize intercropping treatments (i.e., NMI and NMI) had higher crop yield, biomass dry matter, and 1000-grain weight of maize than mono-cropping treatments (i.e., NMM, and NMM). Nonetheless, these parameters were optimized in NMI treatments in both years. For instance, NMI produced the maximum grain yield (10,105 and 11,705 kg ha), biomass dry matter (13,893 and 14,093 kg ha), and 1000-grain weight (420 and 449 g) of maize in the year 2021 and 2022, respectively. Conversely, soybean intercropping treatments (i.e., NSI and NSI) reduced such yield parameters for soybean. Also, the land equivalent ratio (LER) and land equivalent ratio for N fertilization (LER) values were always greater than 1, showing the intercropping system's benefits in terms of yield and improved resource usage. Moreover, maize intercropping treatments (i.e., NMI and NMI) and soybean intercropping treatments (i.e., NSI and NSI) significantly (p < 0.05) enhanced the nutrient uptake (i.e., N, P, K, Ca, Fe, and Zn) of maize and soybean, however, these nutrients uptakes were more prominent in NMI and NSI treatments of maize and soybean, respectively in both years (2021 and 2022) compared with their mono-cropping treatments. Similarly, maize-soybean intercropping treatments (i.e., NMSI and NMSI) significantly (p < 0.05) improved the soil-based N, P, K, NH, NO, and soil organic matter, but, reduced the soil pH. Such maize-soybean intercropping treatments also improved the soil enzymatic activities such as protease (PT), sucrose (SC), acid phosphatase (AP), urease (UE), and catalase (CT) activities. This indicates that maize-soybean intercropping could potentially contribute to higher and better crop yield, enhanced plant nutrient uptake, improved soil nutrient pool, physio-chemical characteristics, and related soil enzymatic activities. Thus, preferring intercropping to mono-cropping could be a preferable choice for ecologically viable agricultural development.

摘要

间作是一种在全球范围内广泛采用的农业实践,旨在提高作物产量、增强植物养分吸收能力,并优化自然资源的利用,从而促进全球可持续农业实践。然而,间作系统中导致作物产量和养分吸收增加的土壤理化特性和酶活性的变化机制在很大程度上尚不清楚。因此,在 2021 年至 2022 年期间,进行了一项为期两年的田间试验,研究了间作系统中氮(N)施肥(即 N;0 N kg ha 和 N;225 N kg ha 用于玉米和 100 N kg ha 用于大豆)对玉米/大豆间作系统中养分吸收和作物产量的影响。间作系统能否提高养分吸收和作物产量、土壤理化特性和土壤酶活性,最终提高作物产量。结果表明,与单作处理(即 NMM 和 NMM)相比,玉米间作处理(即 NMI 和 NMI)的玉米产量、生物量干物质和千粒重更高。然而,这些参数在两年中的 NMI 处理中都得到了优化。例如,NMI 在 2021 年和 2022 年分别产生了最高的玉米籽粒产量(10105 和 11705 kg ha)、生物量干物质(13893 和 14093 kg ha)和千粒重(420 和 449 g)。相反,大豆间作处理(即 NSI 和 NSI)降低了大豆的这些产量参数。此外,土地当量比(LER)和氮施肥土地当量比(LER)的值始终大于 1,表明间作系统在产量和资源利用方面具有优势。此外,玉米间作处理(即 NMI 和 NMI)和大豆间作处理(即 NSI 和 NSI)显著(p<0.05)提高了玉米和大豆的养分吸收(即 N、P、K、Ca、Fe 和 Zn),然而,这些养分吸收在两年(2021 年和 2022 年)的 NMI 和 NSI 处理中更为明显,与单作处理相比,玉米和大豆的养分吸收量分别增加。同样,玉米-大豆间作处理(即 NMSI 和 NMSI)显著(p<0.05)提高了土壤中的 N、P、K、NH、NO 和土壤有机质含量,但降低了土壤 pH 值。这种玉米-大豆间作处理还提高了土壤酶活性,如蛋白酶(PT)、蔗糖酶(SC)、酸性磷酸酶(AP)、脲酶(UE)和过氧化氢酶(CT)活性。这表明,玉米-大豆间作可能有助于提高作物产量和更好的产量,增强植物养分吸收能力,改善土壤养分库、理化特性和相关土壤酶活性。因此,与单作相比,间作可能是生态可行的农业发展的首选。

https://cdn.ncbi.nlm.nih.gov/pmc/blobs/7e5d/11106902/bac0ace437da/12870_2024_5061_Fig1_HTML.jpg

文献AI研究员

20分钟写一篇综述,助力文献阅读效率提升50倍。

立即体验

用中文搜PubMed

大模型驱动的PubMed中文搜索引擎

马上搜索

文档翻译

学术文献翻译模型,支持多种主流文档格式。

立即体验