• 文献检索
  • 文档翻译
  • 深度研究
  • 学术资讯
  • Suppr Zotero 插件Zotero 插件
  • 邀请有礼
  • 套餐&价格
  • 历史记录
应用&插件
Suppr Zotero 插件Zotero 插件浏览器插件Mac 客户端Windows 客户端微信小程序
定价
高级版会员购买积分包购买API积分包
服务
文献检索文档翻译深度研究API 文档MCP 服务
关于我们
关于 Suppr公司介绍联系我们用户协议隐私条款
关注我们

Suppr 超能文献

核心技术专利:CN118964589B侵权必究
粤ICP备2023148730 号-1Suppr @ 2026

文献检索

告别复杂PubMed语法,用中文像聊天一样搜索,搜遍4000万医学文献。AI智能推荐,让科研检索更轻松。

立即免费搜索

文件翻译

保留排版,准确专业,支持PDF/Word/PPT等文件格式,支持 12+语言互译。

免费翻译文档

深度研究

AI帮你快速写综述,25分钟生成高质量综述,智能提取关键信息,辅助科研写作。

立即免费体验

在婴儿心脏手术早期拔管情况下实现神经保护:一项前瞻性、随机、双盲研究。

Achieving Neuroprotection in the Setting of Early Extubation During Infant Cardiac Surgery: A Prospective, Randomized, and Blinded Study.

作者信息

Naguib Aymen N, Bozych Marc, McNally Kelly, Galantowicz Mark, Tobias Joseph

机构信息

Departments of Anesthesiology and Pediatrics, Nationwide Children's Hospital, The Ohio State University College of Medicine, Columbus, OH, USA.

The Heart Center, Nationwide Children's Hospital, The Ohio State University College of Medicine, Columbus, OH, USA.

出版信息

Cardiol Res. 2025 Jun;16(3):178-188. doi: 10.14740/cr2029. Epub 2025 Apr 22.

DOI:10.14740/cr2029
PMID:40370628
原文链接:https://pmc.ncbi.nlm.nih.gov/articles/PMC12074690/
Abstract

BACKGROUND

This study aimed to investigate the impact of early extubation on stress response and neurodevelopmental outcomes after pediatric cardiac surgery utilizing cardiopulmonary bypass (CPB).

METHODS

In this single-center prospective pilot study, we attempted to study the impact of using dexmedetomidine as an adjunct to facilitate early extubation after pediatric cardiac surgery requiring CPB during the first year of life. The study was conducted between May 2014 and January 2020. Perioperative data and stress hormone levels were collected at different points during the perioperative period. In addition, neurodevelopmental outcome measures including cognitive composite score, language (expressive and receptive) and motor (fine and gross) composites were evaluated at five time points including prior to surgery and up to 1 year after the procedure. Two-sample -tests and Kruskal-Wallis tests were used to compare continuous parametric and non-parametric outcomes, respectively. Fisher's exact or Chi-squared tests were used to compare categorical outcomes.

RESULTS

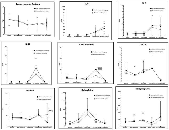
A total of 30 subjects were included in the final cohort of patients. Of the 30 subjects, 14 patients were randomized to the dexmedetomidine group (dexmedetomidine plus fentanyl) (DEX group) and 16 patients were randomized to the no dexmedetomidine group (fentanyl only) (no DEX group). With few exceptions, both groups demonstrated appropriate blunting of the stress response. There was a significant increase in the ratio of the pro-inflammatory interleukin-10 (IL-10) to the anti-inflammatory interleukin-6 (IL-6) for the no DEX group at the end of the procedure when compared to the DEX group (10 ± 9 vs. 5 ± 4, P = 0.04). When looking at the Bayley cognitive composite score, the DEX group scored better than the no DEX group during the second visit (102 ± 11 vs. 88 ± 17, P = 0.023). By the fifth visit, the two groups scored similarly (94 ± 12 vs. 94 ± 12, P = 0.9 for the no DEX and DEX groups, respectively).

CONCLUSION

When looking at the neurodevelopmental outcome, both groups had no significant changes in their Bayley scores from baseline with blunting of most stress markers. This study offers possible evidence of the safety of early extubation after pediatric cardiac surgery while maintaining the goal of neuroprotection.

摘要

背景

本研究旨在探讨早期拔管对小儿心脏手术体外循环(CPB)后应激反应和神经发育结局的影响。

方法

在这项单中心前瞻性试点研究中,我们试图研究在生命的第一年,使用右美托咪定作为辅助手段以促进小儿心脏手术CPB后早期拔管的影响。该研究于2014年5月至2020年1月进行。围手术期不同时间点收集围手术期数据和应激激素水平。此外,在包括手术前和手术后长达1年的五个时间点,评估神经发育结局指标,包括认知综合评分、语言(表达性和接受性)和运动(精细和粗大)综合评分。分别使用两样本t检验和Kruskal-Wallis检验比较连续参数和非参数结局。使用Fisher精确检验或卡方检验比较分类结局。

结果

最终队列共纳入30名受试者。在这30名受试者中,14例患者被随机分配至右美托咪定组(右美托咪定加芬太尼)(DEX组),16例患者被随机分配至无右美托咪定组(仅芬太尼)(无DEX组)。除少数例外,两组均表现出对应激反应的适当抑制。与DEX组相比,无DEX组在手术结束时促炎白细胞介素-10(IL-10)与抗炎白细胞介素-6(IL-6)的比值显著升高(10±9对5±4,P = 0.04)。在第二次访视时,DEX组的贝利认知综合评分高于无DEX组(102±11对88±17,P = 0.023)。到第五次访视时,两组评分相似(无DEX组和DEX组分别为94±12对94±12,P = 0.9)。

结论

从神经发育结局来看,两组的贝利评分与基线相比均无显著变化,且大多数应激指标得到抑制。本研究为小儿心脏手术后早期拔管的安全性提供了可能的证据,同时维持了神经保护的目标。

https://cdn.ncbi.nlm.nih.gov/pmc/blobs/dc33/12074690/b01f21a4b91b/cr-16-03-178-g005.jpg
https://cdn.ncbi.nlm.nih.gov/pmc/blobs/dc33/12074690/90ac3ec1e04e/cr-16-03-178-g001.jpg
https://cdn.ncbi.nlm.nih.gov/pmc/blobs/dc33/12074690/881f9b5c851e/cr-16-03-178-g002.jpg
https://cdn.ncbi.nlm.nih.gov/pmc/blobs/dc33/12074690/5989fa984f38/cr-16-03-178-g003.jpg
https://cdn.ncbi.nlm.nih.gov/pmc/blobs/dc33/12074690/d66b32c08864/cr-16-03-178-g004.jpg
https://cdn.ncbi.nlm.nih.gov/pmc/blobs/dc33/12074690/b01f21a4b91b/cr-16-03-178-g005.jpg
https://cdn.ncbi.nlm.nih.gov/pmc/blobs/dc33/12074690/90ac3ec1e04e/cr-16-03-178-g001.jpg
https://cdn.ncbi.nlm.nih.gov/pmc/blobs/dc33/12074690/881f9b5c851e/cr-16-03-178-g002.jpg
https://cdn.ncbi.nlm.nih.gov/pmc/blobs/dc33/12074690/5989fa984f38/cr-16-03-178-g003.jpg
https://cdn.ncbi.nlm.nih.gov/pmc/blobs/dc33/12074690/d66b32c08864/cr-16-03-178-g004.jpg
https://cdn.ncbi.nlm.nih.gov/pmc/blobs/dc33/12074690/b01f21a4b91b/cr-16-03-178-g005.jpg

相似文献

1
Achieving Neuroprotection in the Setting of Early Extubation During Infant Cardiac Surgery: A Prospective, Randomized, and Blinded Study.在婴儿心脏手术早期拔管情况下实现神经保护:一项前瞻性、随机、双盲研究。
Cardiol Res. 2025 Jun;16(3):178-188. doi: 10.14740/cr2029. Epub 2025 Apr 22.
2
The role of different anesthetic techniques in altering the stress response during cardiac surgery in children: a prospective, double-blinded, and randomized study.不同麻醉技术在改变儿童心脏手术期间应激反应中的作用:一项前瞻性、双盲、随机研究。
Pediatr Crit Care Med. 2013 Jun;14(5):481-90. doi: 10.1097/PCC.0b013e31828a742c.
3
The effect of dexmedetomidine on neuroprotection in pediatric cardiac surgery patients: study protocol for a prospective randomized controlled trial.右美托咪定对儿科心脏手术患者神经保护作用的影响:一项前瞻性随机对照试验的研究方案。
Trials. 2022 Apr 8;23(1):271. doi: 10.1186/s13063-022-06217-9.
4
Neurodevelopmental outcome after cardiac surgery utilizing cardiopulmonary bypass in children.儿童体外循环心脏手术后的神经发育结局
Saudi J Anaesth. 2015 Jan;9(1):12-8. doi: 10.4103/1658-354X.146255.
5
Effects of Pre-Cardiopulmonary Bypass Administration of Dexmedetomidine on Cardiac Injuries and the Inflammatory Response in Valve Replacement Surgery With a Sevoflurane Postconditioning Protocol: A Pilot Study.右美托咪定在瓣膜置换术七氟醚后处理方案中对体外循环前给药对心脏损伤和炎症反应的影响:一项初步研究。
J Cardiovasc Pharmacol. 2019 Aug;74(2):91-97. doi: 10.1097/FJC.0000000000000698.
6
Analgesic Effect and Sleep Quality of Low-Dose Dexmedetomidine in Cardiac Surgical Patients After Ultrafast-Track Extubation: A Randomized Clinical Trial.超声引导下竖脊肌平面阻滞对腹腔镜结直肠癌根治术患者术后镇痛效果的影响
J Cardiothorac Vasc Anesth. 2024 Oct;38(10):2324-2333. doi: 10.1053/j.jvca.2024.06.019. Epub 2024 Jun 18.
7
Impact of dexmedetomidine on early extubation in pediatric cardiac surgical patients.右美托咪定对儿科心脏手术患者早期拔管的影响。
Intensive Care Med. 2011 Apr;37(4):686-90. doi: 10.1007/s00134-011-2140-5. Epub 2011 Feb 10.
8
Impact of dexmedetomidine on the incidence of delirium in elderly patients after cardiac surgery: A randomized controlled trial.右美托咪定对老年心脏手术后谵妄发生率的影响:一项随机对照试验。
PLoS One. 2017 Feb 9;12(2):e0170757. doi: 10.1371/journal.pone.0170757. eCollection 2017.
9
Fast-Track Management in Off-Pump Coronary Artery Bypass Grafting: Dexmedetomidine Provides Rapid Extubation and Effective Pain Modulation.非体外循环冠状动脉旁路移植术中的快速通道管理:右美托咪定可实现快速拔管并有效调节疼痛。
Thorac Cardiovasc Surg. 2019 Sep;67(6):450-457. doi: 10.1055/s-0038-1668602. Epub 2018 Aug 28.
10
Dexmedetomidine decreases the inflammatory response to myocardial surgery under mini-cardiopulmonary bypass.右美托咪定可减轻小儿体外循环下心脏手术的炎症反应。
Braz J Med Biol Res. 2016;49(4):e4646. doi: 10.1590/1414-431X20154646. Epub 2016 Feb 23.

本文引用的文献

1
Patterns and Determinants of Change in Cortisol Levels and Thyroid Function as a Function of Cardiac Risk in Children Undergoing Cardiac Surgery.接受心脏手术儿童的皮质醇水平和甲状腺功能变化模式及其与心脏风险的关系
Int J Pediatr. 2022 Feb 22;2022:6730666. doi: 10.1155/2022/6730666. eCollection 2022.
2
S100B in cardiac surgery brain monitoring: friend or foe?S100B 在心脏手术脑监测中的作用:是敌是友?
Clin Chem Lab Med. 2022 Jan 11;60(3):317-331. doi: 10.1515/cclm-2021-1012. Print 2022 Feb 23.
3
The potential role of dexmedetomidine on neuroprotection and its possible mechanisms: Evidence from in vitro and in vivo studies.
右美托咪定的神经保护作用及其可能机制的研究进展:来自体外和体内研究的证据。
Eur J Neurosci. 2021 Nov;54(9):7006-7047. doi: 10.1111/ejn.15474. Epub 2021 Oct 25.
4
Anaesthesia, analgesia, and the surgical stress response.麻醉、镇痛与手术应激反应。
BJA Educ. 2020 Sep;20(9):321-328. doi: 10.1016/j.bjae.2020.04.006. Epub 2020 Jul 21.
5
The Predictive Value of Language Scales: Bayley Scales of Infant and Toddler Development Third Edition in Correlation With Korean Sequenced Language Scale for Infant.语言量表的预测价值:贝利婴幼儿发展量表第三版与韩国婴儿语言序列量表的相关性
Ann Rehabil Med. 2020 Oct;44(5):378-385. doi: 10.5535/arm.19198. Epub 2020 Sep 28.
6
How to use the Bayley Scales of Infant and Toddler Development.如何使用贝利婴幼儿发展量表。
Arch Dis Child Educ Pract Ed. 2021 Apr;106(2):108-112. doi: 10.1136/archdischild-2020-319063. Epub 2020 Aug 28.
7
Pro: Early Extubation After Pediatric Cardiac Surgery.赞成:小儿心脏手术后早期拔管。
J Cardiothorac Vasc Anesth. 2020 Sep;34(9):2539-2541. doi: 10.1053/j.jvca.2020.05.025. Epub 2020 May 27.
8
Enhanced recovery and early extubation after pediatric cardiac surgery using single-dose intravenous methadone.小儿心脏手术后单次静脉注射美沙酮促进康复和早期拔管。
Ann Card Anaesth. 2020 Jan-Mar;23(1):70-74. doi: 10.4103/aca.ACA_113_18.
9
Intraoperative use of dexmedetomidine for the prevention of emergence agitation and postoperative delirium in thoracic surgery: a randomized-controlled trial.右美托咪定在胸外科手术中预防苏醒期躁动和术后谵妄的应用:一项随机对照试验。
Can J Anaesth. 2019 Apr;66(4):371-379. doi: 10.1007/s12630-019-01299-7. Epub 2019 Jan 24.
10
Neurological deficit is predicted by S100B in children after cardiac surgery.S100B 可预测心脏手术后儿童的神经功能缺损。
Clin Chim Acta. 2018 Jun;481:56-60. doi: 10.1016/j.cca.2018.02.032. Epub 2018 Feb 27.