Kumari Manisha, Sharma Dolly, Kumari Anu, Eslavath Mallesh Rao, Rai Chhavi, Reddy Maramreddy Prasanna Kumar, Ganju Lilly, Varshney Rajeev, Meena Ramesh Chand
Department of Disruptive and Deterrence Technologies, Defence Institute of Physiology and Allied Sciences, Lucknow Road, Timarpur, Delhi, 110054, India.
Research and Development, Malwanchal University, Indore, Madhya Pradesh, India.
Sci Rep. 2025 May 15;15(1):16981. doi: 10.1038/s41598-025-00312-y.
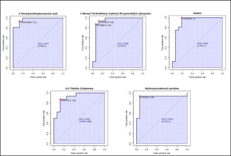
People who visit high-altitude for research and development work, pilgrimage, recreational purposes and deployments are exposed to different environmental conditions such as low temperature and atmospheric pressure, leading to hypoxia, high radiation, dry air, and non-availability of fresh food and vegetables. These environmental stressors have significant physiological effects on the human body. Among these challenges, hypobaric hypoxia at high-altitude affects aerobic metabolism and thereby reduces the supply of metabolic energy. Metabolic alterations may further lead to extreme environment related maladaptation as evidenced by alterations in the levels of metabolites and metabolic pathways. To investigate the variation in the metabolite profile, urine samples were collected from 16 individuals at baseline (BL, 210 m) and high-altitude (HA, 4200 m). Untargeted urinary metabolic profiling was performed by liquid chromatography-mass spectrometry (LC-MS) in conjunction with statistical analysis. Univariate and multivariate statistical analyses revealed 33 differentially abundant metabolites based on fold change, VIP score and p value. These distinct metabolites were primarily associated with pathways related to phenylalanine, tyrosine and tryptophan biosynthesis; metabolism of phenylalanine, biotin, tyrosine, cysteine and methionine along with alanine, aspartate and glutamate metabolism. Thes pathways are also linked with pentose and glucuronate interconversions, citrate cycle, vitamin B6 and porphyrin metabolism. Furthermore, receiver operating characteristic curve analysis detected five metabolites namely, 2-Tetrahydrothiopheneacetic acid, 1-Benzyl-7,8-dimethoxy-3-phenyl-3H-pyrazolo [3,4-c] isoquinoline, Abietin, 4,4'-Thiobis-2-butanone, and Hydroxyisovaleroyl carnitine with high range of sensitivity and specificity. In summary, this longitudinal study demonstrated novel metabolic variations in humans exposed to high-altitude, utilising the potential of LC-MS based metabolomics. Thus, the present findings shed light on the impact of hypoxic exposure on metabolic adaptation and provide a better understanding about the pathophysiological mechanisms underlying high-altitude illnesses correlated to tissue hypoxia.
前往高海拔地区进行研发工作、朝圣、休闲娱乐以及执行任务的人会面临不同的环境条件,如低温和大气压力,从而导致缺氧、高辐射、空气干燥以及新鲜食物和蔬菜匮乏。这些环境压力源会对人体产生显著的生理影响。在这些挑战中,高海拔地区的低压缺氧会影响有氧代谢,进而减少代谢能量的供应。代谢改变可能会进一步导致与极端环境相关的适应不良,代谢物水平和代谢途径的变化就证明了这一点。为了研究代谢物谱的变化,从16名个体在基线(BL,海拔210米)和高海拔(HA,海拔4200米)时采集了尿液样本。通过液相色谱 - 质谱联用(LC - MS)结合统计分析进行非靶向尿液代谢谱分析。单变量和多变量统计分析基于倍数变化、VIP分数和p值揭示了33种差异丰富的代谢物。这些独特的代谢物主要与苯丙氨酸、酪氨酸和色氨酸生物合成相关的途径;苯丙氨酸、生物素、酪氨酸、半胱氨酸和蛋氨酸的代谢以及丙氨酸、天冬氨酸和谷氨酸的代谢有关。这些途径还与戊糖和葡萄糖醛酸相互转化、柠檬酸循环、维生素B6和卟啉代谢相关。此外,受试者工作特征曲线分析检测到五种代谢物,即2 - 四氢噻吩乙酸、1 - 苄基 - 7,8 - 二甲氧基 - 3 - 苯基 - 3H - 吡唑并[3,4 - c]异喹啉、枞酸、4,4'-硫代双 - 2 - 丁酮和羟基异戊酰肉碱,它们具有高灵敏度和特异性。总之,这项纵向研究利用基于LC - MS的代谢组学潜力,证明了暴露于高海拔地区的人类存在新的代谢变化。因此,本研究结果揭示了缺氧暴露对代谢适应的影响,并更好地理解了与组织缺氧相关的高原疾病的病理生理机制。