Suppr超能文献

探索氮杂环连接的新型杂合查尔酮衍生物:合成、表征、抗抑郁活性评估、毒性评估、分子对接、密度泛函理论及药物代谢动力学研究

Exploring N-heterocyclic linked novel hybrid chalcone derivatives: synthesis, characterization, evaluation of antidepressant activity, toxicity assessment, molecular docking, DFT and ADME study.

作者信息

Deshmukh Hemant S, Adole Vishnu A, Wagh Sanjay B, Khedkar Vijay M, Jagdale Bapu S

机构信息

Research Centre in Chemistry, Mahatma Gandhi Vidyamandir's Loknete Vyankatrao Hiray Arts, Science and Commerce College (Affiliated to Savitribai Phule Pune University, Pune) Panchavati Nashik Maharashtra 422003 India

TS Chemistry Solutions, Technology Development of API and API Intermediates, Dyes and Dyes Intermediates & Specialty Chemicals Taloja Raigad Maharashtra 422005 India

出版信息

RSC Adv. 2025 May 15;15(20):16187-16210. doi: 10.1039/d5ra01929j. eCollection 2025 May 12.

Abstract

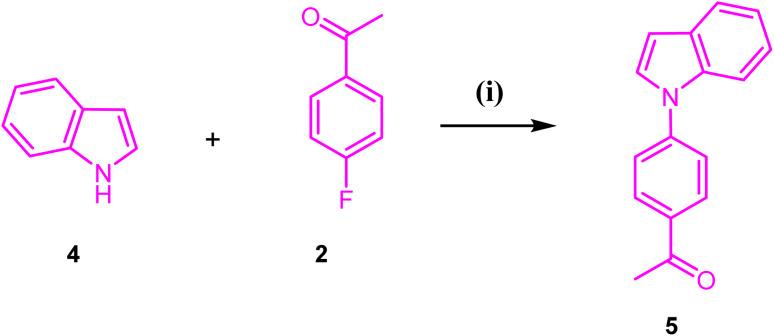
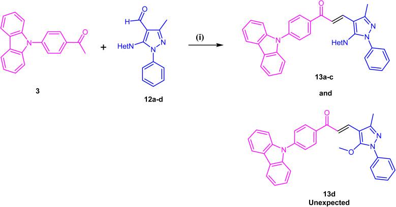
In the search for novel antidepressant agents, twelve novel nitrogen-containing heterocycle-linked chalcone derivatives have been synthesized and comprehensively characterized using FT-IR, H NMR, C NMR, and Mass spectral methods. The synthetic strategy involves the preparation and optimization of reaction conditions for obtaining 4-carbazole-, indole-, and pyrrole-linked acetophenones, which were subsequently coupled with pyrazole aldehydes bearing piperidine, morpholine, benzotriazole, and imidazole ring systems. antidepressant activity of the compounds was evaluated using the Tail Suspension Test (TST) and Forced Swim Test (FST). Chalcone derivatives with a benzo[][1,2,3]triazol-1-yl substituent exhibited significant reductions in immobility times, indicating enhanced antidepressant activity. Chalcone derivatives with piperidin-1-yl and morpholino groups demonstrated relatively lower activity. Molecular docking studies against the human serotonin transporter (hSERT) (PDB code: 5I6X) revealed that the chalcone derivatives exhibited excellent binding affinity (average docking score: -8.540, binding energy: -60.044 kcal mol) through favorable van der Waals, electrostatic, and hydrogen bonding interactions (only for 13b) within the active site. The binding interaction of compound 13b was particularly strong, with a Glide docking score of -9.120 and binding energy of -65.454 kcal mol, highlighting the contribution of both π-π stacking and hydrogen bonding interactions. Chalcone derivatives showed low acute oral toxicity (LD > 2000 mg kg, category 5) in female Swiss albino mice per OECD 423 guidelines, with no mortality or adverse effects at 300 and 2000 mg kg, and normal body weight gain over 14 days. These findings underscore the potential of benzo[][1,2,3]triazol-1-yl-based chalcone derivatives as promising antidepressant agents with a favorable safety profile. Density Functional Theory (DFT) analysis was performed on the most active compound, 13c, to gain insights into its structural and electronic properties. Additionally, ADME (Absorption, Distribution, Metabolism, and Excretion) profiling of the synthesized compounds indicated favorable drug-like characteristics and balanced pharmacokinetic profiles, supporting their potential as promising candidates for further pharmaceutical development.

摘要

在寻找新型抗抑郁药的过程中,已合成了十二种新型含氮杂环连接的查尔酮衍生物,并使用傅里叶变换红外光谱(FT-IR)、氢核磁共振(¹H NMR)、碳核磁共振(¹³C NMR)和质谱方法对其进行了全面表征。合成策略包括制备和优化反应条件以获得4-咔唑基、吲哚基和吡咯基连接的苯乙酮,随后将它们与带有哌啶、吗啉、苯并三唑和咪唑环系统的吡唑醛偶联。使用悬尾试验(TST)和强迫游泳试验(FST)评估了这些化合物的抗抑郁活性。带有苯并[][1,2,3]三唑-1-基取代基的查尔酮衍生物的不动时间显著缩短,表明其抗抑郁活性增强。带有哌啶-1-基和吗啉基的查尔酮衍生物表现出相对较低的活性。针对人类血清素转运蛋白(hSERT)(PDB代码:5I6X)的分子对接研究表明,查尔酮衍生物通过活性位点内有利的范德华力、静电和氢键相互作用(仅针对13b)表现出优异的结合亲和力(平均对接分数:-8.540,结合能:-60.044 kcal/mol)。化合物13b的结合相互作用特别强,Glide对接分数为-9.120,结合能为-65.454 kcal/mol,突出了π-π堆积和氢键相互作用的贡献。根据经合组织423指南,查尔酮衍生物在雌性瑞士白化小鼠中显示出低急性口服毒性(半数致死剂量>2000 mg/kg,5类),在300和2000 mg/kg剂量下无死亡或不良反应,且在14天内体重正常增加。这些发现强调了基于苯并[][1,2,3]三唑-1-基的查尔酮衍生物作为具有良好安全性的有前景的抗抑郁药的潜力。对活性最高的化合物13c进行了密度泛函理论(DFT)分析,以深入了解其结构和电子性质。此外,合成化合物的吸收、分布、代谢和排泄(ADME)分析表明其具有良好的类药物特性和平衡的药代动力学特征,支持它们作为进一步药物开发的有前景候选物的潜力。

https://cdn.ncbi.nlm.nih.gov/pmc/blobs/1f2c/12079426/7422bc1758dc/d5ra01929j-f1.jpg

文献AI研究员

20分钟写一篇综述,助力文献阅读效率提升50倍。

立即体验

用中文搜PubMed

大模型驱动的PubMed中文搜索引擎

马上搜索

文档翻译

学术文献翻译模型,支持多种主流文档格式。

立即体验